Q1: If A = {1, 2, 3, 4}, B = {2, 4, 6, 8} and C = {3, 4, 5, 6}, then the value of A – (B ∪ C) is
(a) {1, 2, 3}
(b) {2, 3, 4, 5}
(c) {1}
(d) {0}
Ans: (c)
Sol:
Given,
A = {1, 2, 3, 4}, B = {2, 4, 6, 8} and C = {3, 4, 5, 6}
Thus, B ∪ C = {2, 3, 4, 5, 6, 8}
Therefore, A – (B ∪ C) = Elements in A but not in B ∪ C = {1, 2, 3, 4} – {2, 3, 4, 5, 6, 8} = {1}
Q2: If A = {a, b, c, d, e}, then the number of proper subsets is
(a) 32
(b) 31
(c) 30
(d) 29
Ans: (b)
Sol:
Given,A = {a, b, c, d, e}
Here, number of elements in set A (n) = 5
Therefore, the number of proper subsets = 2n – 1 = 25 – 1 = 31
Q3: The number of proper subsets of the set {3, 4, 5, 6, 7} is
(a) 32
(b) 25
(c) 30
(d) 31
Ans: (d)
Sol:
Set: {3, 4, 5, 6, 7}
It has 5 elements Total subsets of a set with n elements = n = 25 – = 32
Proper subsets = Total subsets – 1 (Excluding the set itself) = 32 – 1 = 31
Q4: There are 40 students, 30 of them passed in English, 25 of them passed in Maths and 15 of them passed in both. Assuming that every student has passed at least in one subject. How many students passed in English only but not in Maths.
(a) 15
(b) 20
(c) 10
(d) 25
Ans: (a)
Sol:
Let A = set of students who passed English and B = set of students who passed Maths
According to the question, we have
n(A) = 30
n(B) = 25
n(A ∩ B) = 15
Total students = 40, and everyone passed at least one subject.
Therefore, the number of students who passed only English = n(A – B)
Therefore, n(A – B) = n(A) – n(A ∩ B) = 30 – 15 = 15
Q5: A town has a total population of 50,000. Out of it 28,000 read the newspaper X and 23,000 read Y while 4,000 read both the papers. The number of persons not reading X and Y both is
(a) 2,000
(b) 3,000
(c) 2,500
(d) None of these
Ans: (b)
Sol:
We are given:
Total population = 50,000
People who read newspaper X = 28,000
People who read newspaper Y = 23,000
People who read both = 4,000
We are to find the number of people who read neither X nor Y.
People who read X or Y = X + Y –
Both = 28,000 + 23,000 – 4,000 = 47,000
Therefore, People who read neither X nor Y = 50,000 – 47,000 = 3,000
Q6: Two finite sets have m and n elements. The total number of subsets of first set is 56 more than the total number of subsets of the second set. The value of m and n are
(a) 6, 3
(b) 7, 6
(c) 5, 1
(d) 8, 7
Ans: (a)
Sol:
Given, Number of elements in two finite sets = m and n
Thus, the number of subsets in first set = 2ᵐ
Number of subsets in second set = 2ⁿ
According to the question,
2ᵐ = 2ⁿ + 56
For option (a): 6, 3
LHS = 2⁶ = 64
RHS = 2³ + 56 = 8 + 56 = 64
Thus, LHS = RHS
Therefore, the value of m and n are 6 and 3 respectively.
Q7: In a town of 20,000 families it was found that40% families buy newspaper A, 20% families buy newspaper B and 10% families buy newspaper C, 5% families buy A and B, 3% buy B and C and 4% buy A and C. If 2% families buy all the three newspaper, then the number of families which buy A only is:
(a) 6600
(b) 6300
(c) 5600
(d) 600
Ans: (a)
Sol:
Given,
n(A) = 8000
n(B) = 4000
n(C) = 2000
n(A ∩ B) = 1000
n(B ∩ C) = 600
n(A ∩ C) = 800
n(A ∩ B ∩ C) = 400To Find: Number of families that buy only A i.e.,
n(A ∩ Bᶜ ∩ Cᶜ) = n(A) – n(A ∩ B) – n(A ∩ C) + n(A ∩ B ∩ C)
n(A ∩ Bᶜ ∩ Cᶜ) = 8000 – 1000 – 800 + 400 = 6600
Q8: Let R be a relation on N defined by x + 2y = 8. The domain of R is:
(a) {2, 4, 8}
(b) {2, 4, 6, 8}
(c) {2, 4, 6}
(d) {1, 2, 3, 4}
Ans: (c)
Sol:
Given relation: x + 2y = 8
⇒ 2y = 8 – x
⇒ y =(8 – x/2
Since the relation R is on N i.e., x and y should be natural numbers that satisfies the given relation:
If x = 1, then y = 3.5, which is not natural number
If x = 2, then y = 3
If x = 3, then y = 2.4, which is not natural number
If x = 4, then y = 2
If x = 6, then y = 1
If x = 8, then y = 0, which is not natural number
Therefore, the possible values of x = {2, 4, 6}
Hence, Domain of R = {2, 4, 6}
Q9: If A = {1, 2, 3} then the relation R = {(1, 1), (2, 3), (2, 2), (3, 3), (1, 2)} on A is:
(a) Reflexive
(b) Symmetric
(c) Transitive
(d) Equivalence
Ans: (a)
Sol:
We are given:
Set: A = {1, 2, 3}
Relation: R = {(1, 1), (2, 3), (2, 2), (3, 3), (1, 2)}
(a) Reflexive:
A relation is reflexive if all (a, a) ∈ R for all a ∈ A.
Here,
- (1, 1) ∈ R
- (2, 2) ∈ R
- (3, 3) ∈ R
So, R is reflexive
(b) Symmetric:
A relation is symmetric if for every (a, b) ∈ R, (b, a) ∈ R.
- (1, 2) ∈ R, but (2, 1) ∉ R
- (2, 3) ∈ R, but (3, 2) ∉ R
So, R is not symmetric
(c) Transitive:
A relation is transitive if whenever (a, b) ∈ R and (b, c) ∈ R, then (a, c) ∈ R
- (1, 2), (2, 3) ∈ R, so we need (1, 3) ∈ R → it’s not
So, R is not transitive
Therefore, the given relation is reflexive.
Q10: On the set of lines, being perpendicular is a relation which property:
(a) Reflexive
(b) Symmetric
(c) Transitive
(d) None of these
Ans: (b)
Sol:
(a) Reflexive:
A relation R is reflexive if l1 ⊥ l1 (a line is perpendicular to itself).
→ A line cannot be perpendicular to itself.(b) Symmetric:
A relation is symmetric if l1 ⊥ l2 implies l2 ⊥ l1.
→ If one line is perpendicular to another, the reverse is also true.(c) Transitive:
A relation is transitive if l1 ⊥ l2 and l2 ⊥ l₃ implies l1 ⊥ l3.
→ This is not true. In fact, l1 and l3 would be parallel (both perpendicular to l2), not perpendicular to each other.Therefore, the given relation is symmetric.
Q11: Let A = {1, 2, 3} and consider the relation R = {(1, 1), (2, 2), (3, 3), (1, 2), (2, 3), (1, 3)}, then R is
(a) Reflexive but not symmetric
(b) Reflexive but not transitive
(c) Symmetric and Transitive
(d) Neither symmetric nor transitive
Ans: (a)
Sol:
A relation is reflexive if all (a, a) ∈ R for all a ∈ A.
Here, we have:
(1, 1), (2, 2), (3, 3) ∈ R
Thus, it is reflexive.A relation is symmetric if for every (a, b) ∈ R, the pair (b, a) is also in R.
(1, 2) ∈ R, but (2, 1) ∉ R
(2, 3) ∈ R, but (3, 2) ∉ R
(1, 3) ∈ R, but (3, 1) ∉ R
So, R is not symmetricA relation is transitive if whenever (a, b) ∈ R and (b, c) ∈ R, then (a, c) ∈ R.
(1, 2), (2, 3) ∈ R → (1, 3) ∈ R
So, R is transitiveHence, option (a) is correct.
Q12: Which of the following relations is transitive but not reflexive for the set S = {3, 4, 6}?
(a) R = {(3, 4), (4, 6), (3, 6)}
(b) R = {(1, 2), (1, 3), (1, 4)}
(c) R = {(3, 3), (4, 4), (6, 6)}
(d) R = {(3, 4), (4, 3)}
Ans: (a)
Sol:
Given set: S = {3, 4, 5}
Option (a): R = {(3, 4), (4, 6), (3, 6)}
Clearly, it is not reflexive but is transitive i.e.,
(3, (3, 4) & (4, 6) ∈ R → (3, 6) ∈ R which is true.
Option (b): R = {(1, 2), (1, 3), (1, 4)}
Since, 1 ∈ S thus the above relation is not transitive.
Option (c): R = {(3, 3), (4, 4), (6, 6)}
Clearly, it is reflexive set.
Option (d): R = {(3, 4), (4, 3)}
Here, (3, 4) ∈ R and (4, 3) ∈ R but (3, 3) ∉ R.
Hence, R = {(3, 4), (4, 6), (3, 6)} is transitive but not reflexive set.
Q13: Consider the following relations on A = {1, 2, 3},
R = {(1, 1), (1, 2), (1, 3)}, S = {(1, 1), (1, 2), (2, 2), (3, 3)},
T = {(1, 1), (1, 2), (2, 2), (2, 3)}, and φ = empty set.
Which one of these forms an equivalence relation?
(a) R
(b) S
(c) T
(d) φ
Ans: (b)
Sol:
Given,
Relations:Relation R
- R = {(1, 1), (1, 2), (1, 3), (3, 3)}
- S = {(1, 1), (1, 2), (2, 1), (2, 2), (3, 3)}
- T = {(1, 1), (1, 2), (2, 2), (2, 3)}
- V = {(empty set)}
Relation S
- Reflexive?
- Does (2, 2) ∈ R? No. So not reflexive.
- Symmetric?
- (1, 2) ∈ R, but (2, 1) ∉ R. So not symmetric.
- Transitive? Yes, R is not an equivalence relation.
- Reflexive?
- (1, 1), (2, 2), (3, 3) ∈ S. So reflexive.
- Symmetric?
- (1, 2) ∈ S and (2, 1) ∈ S, so symmetric pairs exist.
- Transitive?
- Check:
- (1, 2), (2, 1) ∈ S implies (1, 1) ∈ S → true
- (1, 2), (2, 2) ∈ S implies (1, 2) ∈ S → true
- No other pairs to check that violate transitivity
Thus, S is an equivalence relation.
Relation T:
- Reflexive?
- (3, 3) ∉ T. No. So not reflexive.
- Symmetric?
- (1, 2) ∈ T but (2, 1) ∉ T. So not symmetric. Thus, T is not an equivalence relation.
Relation ∅ (empty set)
- Reflexive?
- No element, so no (a, a) → not reflexive.
Therefore, ∅ is not an equivalence relation.
Q14: If f(x) = x⁴ + 2, then the given function is
(a) Odd function
(b) Even function
(c) Neither odd nor even function
(d) None of these
Ans: (b)
Sol:
Given,
f(x) = x² + 2
Thus, f(–x) = (–x)² + 2
⇒ f(–x) = x² + 2
⇒ f(–x) = f(x)
Therefore, the given function is an even function.
Q15: The function f(x) = 2x is
(a) one-one mapping
(b) one-many
(c) many-one
(d) None of these
Ans: (a)
Sol:
One-one (injective):
- Yes → If f(x1) = f(x₂), then 2ˣ¹ = 2x2
- ⇒ x1 = x2
- So, it passes the test for being one-one.
Not many-one:
- Because each input x gives a unique output.
Not one-many:
- A function by definition cannot assign multiple outputs to the same input.
Hence, the given function is one-one mapping.
Q16: The range of the function f(x) = 3x – 2 is
(a) (-∞, ∞)
(b) R – {3}
(c) (-∞, 0)
(d) (0, +∞)
Ans: (a)
Sol:
A linear function with a non-zero slope always has a range of all real numbers.
So, Range of f(x) = 3x – 2 is (–∞, ∞)
Q17: Given the function f(x) = (2x + 3), then the value of f(2x) – 2f(x) + 3 will be:
(a) 3
(b) 2
(c) 1
(d) 0
Ans: (d)
Sol:
Given,
f(x) = 2x + 3
To find
f(2x) – 2f(x) + 3
- f(2x) = 2(2x) + 3 = 4x + 3
- 2f(x) = 2(2x + 3) = 4x + 6
Now,
f(2x) – 2f(x) + 3 = (4x + 3) – (4x + 6) + 3 = 4x + 3 – 4x – 6 + 3 = 3 – 3 = 0
Q18: If f(x) = x² + x – 1 and 4f(x) = f(2x), then find the value of x:
(a) 2/3
(b) 3/2
(c) 3/4
(d) 4/3
Ans: (b)
Sol:
Given,
f(x) = x2 + x – 1
Then, 4f(x) = 4(x2 + x – 1) = 4x2 + 4x – 4
f(2x) = (2x)2 + 2x – 1 = 4x2 + 2x – 1
Since, 4f(x) = f(2x), thus
4x2 + 4x – 4 = 4x2 + 2x – 1
⇒ 4x – 4 = 2x – 1
⇒ 4x – 2x = –1 + 4
⇒ 2x = 3
⇒ x = 3/2
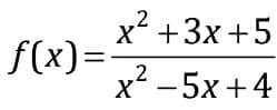
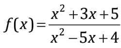
Q19: The domain of the function 
(a) R
(b) R – {1, 4}
(c) R – {1}
(d) {1, 4}
Ans: (b)
Sol:
Given function
Put x2 – 5x + 4 = 0
⇒ x2 – 4x – x + 4 = 0
⇒ x(x – 4) – 1(x – 4) = 0
⇒ (x – 1)(x – 4) = 0
⇒ x = 1 or x = 4
For domain, denominator should not be equal to zero.
Thus, Domain of given function = R – {1, 4}
Q20: If f(x) = x + 3, g(x) = x2, then fog(x)
(a) x2 + 3
(b) x2 + x + 3
(c) (x +3)2
(d) None of these
Ans: (a)
Sol:
Given,f(x) = x + 3
g(x) = x2
(fog)(x) = f(g(x))Therefore, f(g(x)) = f(x2) = x2 + 3
96 videos|241 docs|83 tests |
| 1. What are sets and how are they represented? | ![]() |
| 2. What are the different types of relations in mathematics? | ![]() |
| 3. How do you determine the domain and range of a function? | ![]() |
| 4. What is the significance of limits in calculus? | ![]() |
| 5. What is continuity in the context of functions? | ![]() |
96 videos|241 docs|83 tests |
![]() | Explore Courses for CA Foundation exam |