Q1: If f(x) = (x – 1)(x)(x + 1), then dy/dx =?
(a) 3x2 – 1
(b) 3x2 + 1
(c) x2 – 3
(d) x2 + 3
Ans: (a)
Sol:
f(x) = (x – 1) (x) (x – 1) = x(x² – 3x + 2) = x³ – 3x² + 2x
Differentiate: f '(x) dy/dx = 3x²- 1
Q2: If y = x(x – 1) (x – 2), then dy/dx is:
(a) 3x2 – 6x + 2
(b) –6x2 + 2
(c) 3x2 + 2
(d) 3x3 + 5
Ans: (a)
Sol:
f(x) = (x – 1)(x – 2) = x(x² – 3x + 2) = x³ – 3x² + 2xDifferentiate: dy/dx = 3x²+ 2
Q3: If a function is given by f(x) = e3x, what is the derivative of the function?
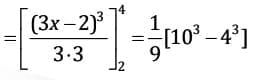
(a) 3e3x
(b) e3x
(c) 3xe3x
(d) 3e3x+ 3
Ans: (c)
Sol:
f(x) = e3x
f'(x) = d/dx (e3x) = 3e^{33x
Q4: f(x) = x(x² – 2), then find dy/dx
(a) 3x² – 2
(b) 3x² + 2
(c) x² – 3
(d) x²
Ans: (a)
Sol:
y = f(x) = x²(x – 2) = x³ – 2x
dy/dx = 3x² – 2
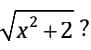
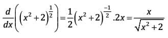
Q5: What is the differential function of 
(a)
(b)
(c)
(d)
Ans: (b)
Sol:
Let's differentiate;
f(x) = (x2 + 2)1/2
Using the chain rule:
So, the differential is;
Q6: The slope of the tangent to the curve y = x2 – x at the point where the line y = 2 cuts the curve in the first quadrant is:
(a) 2
(b) 3
(c) –3
Ans: (b)
Sol:
Given, y = x² – xAt y = 2
2 = x² – x
⇒ x² – x – 2 = 0(x – 2)(x + 1) = 0 ⇒ x = 2 or x = –1
Since first quadrant ⇒ x = 2
Derivative: dy/dx = 2x – 1
At x = 2
dy/dx = 2(2) – 1 = 3
Q7: The cost function for the production of x units of a commodity is given by C(x) = 2x3 – 15x2 + 36x + 15. The cost will be minimum when 'x' equal to:
(a) 3
(b) 2
(c) 1
(d) 4
Ans: (a)
Sol:
The cost function is:C(x) = 2x3 – 15x2 + 36x + 15
C'(x) = 6x2 – 30x + 36
Put C'(x) = 0, we get
6x2 – 30x + 36 = 0
⇒ x2 – 5x + 6 = 0
⇒ (x – 2)(x – 3) = 0
So, critical points are x = 2 and x = 3
Now, C''(x) = 12x – 30
At x = 2:
C''(2) = 12(2) – 30 = –6 (Negative ⇒ Maximum)
At x = 3:
C''(3) = 12(3) – 30 = 6 (Positive ⇒ Minimum)
Therefore, the cost will be minimum when x = 3
Q8: The maxima and minima of the function y = 2x3– 15x2 + 36x + 10 occurs respectively at
(a) x = 2 and x = 3
(b) x = 1 and x = 3
(c) x = 3 and x = 2
(d) x = 3 and x = 1
Ans: (a)
Sol:
Given: y = 2x3 – 15x2 + 36x + 10On differentiating wrt x, we get
dy/dx = 6x2 – 30x + 36 ...(i)
and d2 y/dx2 = 12x – 30 ...(ii)
Now, substitute dy/dx = 0
⇒ 6x2 – 30x + 36 = 0
⇒ 6(x2 – 5x + 6) = 0
⇒ x2 – 5x + 6 = 0
⇒ x2 – 3x – 2x + 6 = 0
⇒ x(x – 3) – 2(x – 3) = 0
⇒ (x – 3)(x – 2) = 0
⇒ x = 3 and x = 2
Now, put x = 3 in (ii), we get
d2 y/dx2 = 36 – 30 = 6 > 0, attaining minima
Now, put x = 2 in (ii), we get
d2 y/dx2 = 24 – 30 = –6 < 0, attaining maxima
Therefore, the given function attains maxima at x = 2 and minima at x = 3.
Hence, the correct option is (a).
Q9: Find the gradient of the curve y = 3x2 – 6x + 4 at the point (1, 2).
(a) 1
(b) –1
(c) 0
(d) 2
Ans: (c)
Sol:
dy/dx = 6x – 6
At x = 1
dy/dx = 6(1) – 6 = 0
Q10: The gradient of the curve y = 2x3 – 5x2 – 3x at x = 0 is
(a) 3
(b) –3
(c) 1/3
(d) None of these
Ans: (b)
Sol:
Given: y =2x3 – 5x2 – 3xTherefore, the gradient of the curve is given by:
dy/dx = 6x2 – 10x – 3
At x = 0,
y'(0) = –3
Q11: Determine f(x), given that f'(x) = 12x2 – 4x and f(-3) = 17
(a) f(x) = 4x3– 2x2 + 143
(b) f(x) = 6x2 – x4 + 137
(c) f(x) = 3x4 – x3 – 137
(d) f(x) = 4x3 – 2x2 – 143
Ans: (a)
Sol:
f(x) = ∫ f'(x) dx= ∫ (12x2 – 4x) dx
f(x) = 4x3 – 2x2 + C
f(–3) = 4(–3)3 – 2(–3)2 + C
17 = –108 – 18 + C
C = 143
⇒ f(x) = 4x3 – 2x2 + 143
Q12:
(a) log |x| + c
(b) log |log x| + c
(c) (log x)2 + c
(d) None of these
Ans: (b)
Sol:
= log |log x| + c
Q13: The equation of the curve in the form y = f(x) if the curve passes through the point (1, 0) and f'(x) = 2x – 1, then f(x) is:
(a) y = x² – x
(b) x = y² – y
(c) y = x²
(d) None of these
Ans: (a)
Sol:
f(x) = ∫(2x−1)dx = x2 − x + k
Using point (1, 0):
0 = 12 − 1 + k
⇒ k = 0
So, y = x² − x
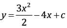
Q14: The equation of the curve which passes through the point (1, 2) and has the slope 3x – 4 and the point of (x, y) is
(a) 2y = 3x³ – 8x + 9
(b) y = 6x³ – 8x + 9
(c) y = x³ – 8x + 9
(d) 2y = 3x³ – 8x + c
Ans: (a)
Sol:
Given slope dy/dx = 3x − 4
Integrate:![]()
Multiply by 2: 2y = 3x² − 8x + 2c
Use point (1, 2): 4 = 3 − 8 + 2c
⇒ 2c = 9
So, 2y = 3x² − 8x + 9
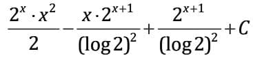
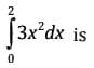
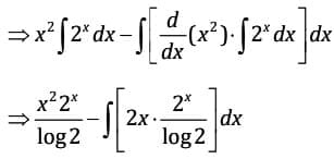
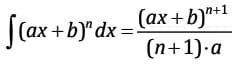
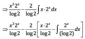
Q15: Evaluate; ∫ 2x x2 dx
(a) 
(b) 
(c) 
(d) None of these
Ans: (d)
Sol:
∫ 2x x2 dx
According to the rule,
Here, u = x2 and v = 2x
⇒∫ 2x x2 dx
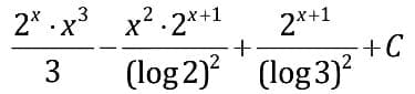
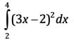
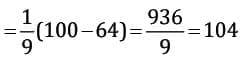
Q16: 
(a) 104
(b) 100
(c) 10
(d) 52
Ans: (a)
Sol:
Using the identity:
Therefore,
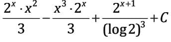
Q17:
(a) 7
(b) –8
(c) 8
(d) –7
Ans: (c)
Sol:
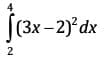
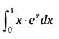
Q18: Evaluate
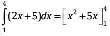
and the value is
(a) 3
(b) 10
(c) 30
(d) None of these
Ans: (c)
Sol:
(16 + 20) – (1 + 5) = 36 – 6 = 30
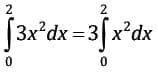
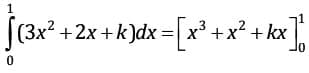
Q19: If 1 2 0 (3 2 ) 0 x x k dx ++ = ∫ , find k
(a) 0
(b) –1
(c) –2
(d) 1
(d) None of these
Ans: (c)
Sol:
1 + 1 + k = 0
2 + k = 0
⇒ k = –2
Q20: 
(a) –1
(b) 1
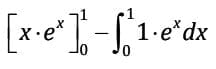
(c) e1
(d) 1
Ans: (d)
Sol:
Apply 'LAE' rule, we get= (1 · e1 - 0) -
= e1 - (e1 - e0)
= e1 - e1 + 1 = 1
96 videos|241 docs|83 tests |
| 1. What are the basic applications of differential calculus in business and economics? | ![]() |
| 2. How is integral calculus applied in calculating consumer surplus? | ![]() |
| 3. What is the significance of marginal analysis in economics? | ![]() |
| 4. Can you explain the concept of elasticity in the context of differential calculus? | ![]() |
| 5. What role does calculus play in determining optimal pricing strategies? | ![]() |
96 videos|241 docs|83 tests |