CA Foundation Exam  >  CA Foundation Notes  >  Quantitative Aptitude  >  MCQs' Direction Tests - Quantitative Aptitude for CA Foundation

MCQs' Direction Tests - Quantitative Aptitude for CA Foundation

Q1: Anil started walking 5 km towards North, then he turned left and walked 3 km. Again he turned left and walked 5 km. Then the total number of km he walked is
(a) 8 km
(b) 13 km
(c) 3 km
(d) 5 km
Ans: (b)

Sol:
Following the directions as given in the question, we get

MCQs`: Direction Tests

Therefore, the total distance covered = 5 + 3 + 5 = 13                              

Q2: Raju started walking 10 km towards East from his home. He turned right and walked 5 km to reach his office. How far and in which direction is his school from his home?
(a) North-East
(b) North-West
(c) South-East
(d) South-West
Ans: (c)

Sol:
Following the directions as per the question, we get
MCQs`: Direction TestsTherefore, Raju’s school is at South-East direction from his home.

Q3: Rahim started from point X and walked straight 5 km East, then turned left and walked straight 2 km and again turned left and walked straight 7 km. In which direction is he from point X ?
(a) North-East
(b) South-West
(c) South-East
(d) North-West
Ans: (d)

Sol:
Following the directions as per the question, we get
MCQs`: Direction TestsTherefore, he is moving in the North-West direction from point X.

Q4: P, Q, R and S are playing a game of carom. P, R and S, Q are partners. S is to the right of R. If R is facing West, then Q is facing which direction?
(a) South
(b) North
(c) East
(d) West
Ans: (b)

Sol:
Given: P, Q, R and S are playing a game of carom
Since, R is facing West and P, R are partners, thus P is facing East. 
Now, S is to the right of R  i.e., S is facing South. 
Also, S, Q are partners.
MCQs`: Direction TestsTherefore, Q will be facing North direction.

Q5: Laxman went 15 km to the north, then he turned west and covered 10 km. Then he turned south and covered 5 km, finally turning to east he covered 5 km, finally turning to east he covered 10 km. In which direction he is moving now?
(a) East
(b) North
(c) West
(d) South
Ans: (a)

Sol:
According to the information given, the directions are: 
MCQs`: Direction TestsTherefore, Laxman is moving in the East direction now. 
Hence, the correct option is (a).

Q6: Manu wants to go to the market. He starts from his house towards east and walks 10 m reaching a crossing after 30 m. He turns towards east, goes 10 m in the second crossing and turns again, moves towards north and walks 15 m. How far is the market from his house?
(a) 10 m
(b) 20 m
(c) 30 m
(d) 40 m
Ans: (c)

Sol:
Following the directions as per the question, we get
MCQs`: Direction TestsTherefore, the market is in the East direction of  Manu’s house. Hence, the correct option is (c).

Q7: A man is facing east, then he turns left and goes 10 metres, then turns right and goes 5 metres, then goes 5 metres to the south and from there 5 metres to the west. In which direction is he from his original place?
(a) East
(b) West
(c) North
(d) South
Ans: (c)

Sol:
According to the information given, the directions are
MCQs`: Direction TestsTherefore, the man is in the North direction from his original place. 
Hence, the correct option is (c).

Q8: When a person faces north and walks 25 m right and turns left and walks 20 m and turns right and walks 40 m, then which direction is he now from his starting point?
(a) North-West
(b) North-East
(c) South-East
(d) South-West
Ans: (c)

Sol:
Following the directions as per the question, we get 
MCQs`: Direction Tests

MCQs`: Direction Tests

Therefore, she is in the South-East direction from her starting point. 
Hence, the correct option is (c)

Q9: Mr. X walks northwards. After a while, he turns to his right and a little further to his left. Finally, after walking 500 meters, he turns to his left again. In which direction is he moving now?
(a) North
(b) South
(c) East
(d) West
Ans: (d)

Sol:

Following the directions as per the given data, we get

MCQs`: Direction Tests

Therefore, he is moving in the West direction 

Q10: A man is facing East, then he turns left and goes 10 m, then turns right and goes 5 m, then turns right and goes 10 m and then turns right again and goes 10 m to the West. In which direction is he from his original place?
(a) East
(b) West
(c) North
(d) South
Ans: (c)

Sol:
Given that, A man is facing towards East and moved 10 metres in the left direction from O to A (towards North). Then, he turned 5 metres from initial A towards the right. From B, he moved 5 metres in the South (right side). In last, he turned 5 metres to the West.
MCQs`: Direction TestsThus, he is in the North direction from

Q11: Raju walked 20 m towards the North. Then she turned right and walks 30 m. Then she turned right and walks 35 m. Then she turns left and walks 15 m. Finally she turns left and walks 15 m. In which direction and how many metres is she from the starting position?
(a) 15 m West
(b) 30 m East
(c) 30 m West
(d) 45 m East
Ans: (d)

Sol:

Following the directions as per the question, we get

MCQs`: Direction TestsTherefore, the distance between the starting and the final point = 30 m + 15 m = 45 m East.

Q12: A and B start moving towards each other from two places apart. After walking 60 m, A turns left and goes 20 m, then he turns right and goes 40 m. He then turns right again and comes back to the road on which he had started walking. If A and B walk with the same speed, what is the distance between them now?
(a) 80 m
(b) 70 m
(c) 40 m
(d) 60 m
Ans: (c)

Sol:

Distance traveled by A on road = 60 + 20 + 40 + 20 = 140 m

MCQs`: Direction Tests

Distance traveled by B on road = 60 + 40 = 100 m

Required difference = 140 – 100 = 40 m

Hence, option (c) is correct.

Q13. Kamal walks 10 km North, from there he walks 6 km towards South. Then he walks 3 km towards East. How far and in which direction is he with reference to starting point?
(a) 5 km North-East
(b) 5 km North-West
(c) 7 km North-East
(d) 5 km South-East
Ans: (c)

Sol:
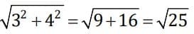
Following the directions as per the question, we get
MCQs`: Direction TestsTherefore, the distance between the starting and ending point  = MCQs`: Direction Tests 5 km
 Hence, he is 5 km North-East with reference to starting point. 14. 

Q14: Shweta moved a distance of 75 m towards North. She then turned to her left and walked about 25 m, turned left again and walked 80 m. Finally she turned to the right at an angle of 45°. In which direction was she moving finally?
(a) South
(b) South-West
(c) North-East
(d) North-West
Ans: (b)

Sol:
Shweta started from A, moved 75 m up to B, turned left and walked 25 m up to C.

She turned left again and moved 80 m from C to D. Turning to the right at angle 45°, she was

finally moving in the direction DE i.e., North-West.

MCQs`: Direction Tests

Hence, the correct option is (b).

Q15: Deepika starts walking straight towards East. After walking 65 m, she turns to the left and walks 25 m straight. Again she turns to the left and walks a distance of 40 m. At what distance and in which direction currently she is from the initial point?
(a) 35.35 m in North-East
(b) 35.35 m in South-West
(c) 25 m in North
(d) 25 m in West
Ans: (a)

Sol:
Let A be the initial point from where Deepika

started to walk then

Following the directions as per question, we get

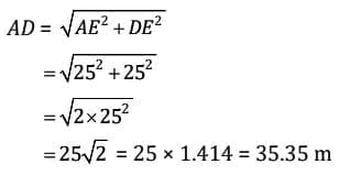
MCQs`: Direction TestsDeepika = 25 m

AE = 65 – 40 = 25m

In right angle ΔAED
MCQs`: Direction Tests
Therefore, Deepika is at 35.35 m North-East direction from her initial point.

Q16: Mr. X walks 14 km towards north. From there he walks 8 km towards south. Then he walks 8 km towards the west. How far and in which direction is he with reference to his starting point?
(a) 10 km, North-West
(b) 10 km, West
(c) 7 km, East
(d) 7 km, West
Ans: (a)

Sol:
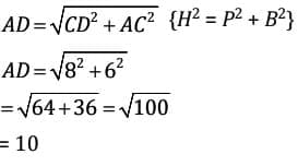
Following the directions as per question, we get
MCQs`: Direction Tests

By using Pythagoras theorem 
In ΔACD
MCQs`: Direction Tests

He is 10 km in direction of North-West.

Q17: Sunitha walked 30 m towards the east, took a right turn and walked 40 m, then she took a left turn and walked 30 m. In which direction is she now from the starting point?
(a) North-East
(b) East
(c) South-East
(d) South
Ans: (c)

Sol:

Let S be the starting point of Sunitha, then

Following the directions as per question, we get
MCQs`: Direction TestsTherefore, Sunitha is at the South-West position from her starting point.

Q18: It is 3 o’clock on a watch, if the minute hand points towards the North-East, then the hour hand will point towards the
(a) South
(b) South-West
(c) North-West
(d) South-East
Ans: (d)

Sol:
According to question, we have
MCQs`: Direction TestsMCQs`: Direction TestsMCQs`: Direction TestsAt 3 o’clock, the angle between the minute and the hour hand is 90 degrees. Now, according to the question, the minute hand points towards the North-East. 
Therefore, when we move clockwise at an angle of 90 degrees, the hour hand will point towards the South-East direction. 
Hence, the correct option is (d). 

Q19: One morning after Sunrise, Vikram and Shailesh were standing in a lawn with their backs towards each other. Vikram’s shadow fell exactly towards left hand side. Which direction was Shailesh facing?
(a) South-West
(b) West
(c) South
(d) South-East
Ans: (c)

Sol:
 
We know, Sun rises in the East.
It is given that “one morning after sunrise”, therefore, we will mark the Sun in the East direction in the below diagram.
MCQs`: Direction TestsWhen the Sun is in the East direction, shadow of an object falls in the West. 
It is given that Vikram’s shadow falls towards left hand side. 
This means Vikram’s left hand side should be West direction.
Therefore, Shailesh is facing the South direction.
Hence, the correct option is (c) i.e. South.

Q20: A person is facing towards the North. He moves 70° clockwise direction. Again he is moving 300° clockwise direction. Now, in which direction is he presently facing?
(a) North-West
(b) South-East
(c) North-East
(d) South-West
Ans: (c)

Sol:
Following the directions are per the question, we get
MCQs`: Direction TestsMCQs`: Direction TestsTherefore, he is presently facing the North-East direction.

The document MCQs' Direction Tests - Quantitative Aptitude for CA Foundation is a part of the CA Foundation Course Quantitative Aptitude for CA Foundation.
All you need of CA Foundation at this link: CA Foundation
96 videos|241 docs|83 tests

FAQs on MCQs' Direction Tests - Quantitative Aptitude for CA Foundation

1. What are direction tests in the context of the CA Foundation exam?
Ans. Direction tests are a type of assessment method used in the CA Foundation exam to evaluate a candidate's understanding of various subjects, including accounting, business laws, and taxation. These tests typically consist of multiple-choice questions (MCQs) that require candidates to select the correct answer based on the given direction or statement.
2. How should candidates prepare for direction tests in the CA Foundation?
Ans. Candidates should prepare for direction tests by thoroughly reviewing the syllabus, understanding key concepts, and practising with previous years' question papers and mock tests. It is also beneficial to focus on time management and familiarise oneself with the exam pattern to enhance performance during the actual test.
3. What is the significance of MCQs in the CA Foundation exam?
Ans. MCQs play a significant role in the CA Foundation exam as they assess a candidate's ability to apply theoretical knowledge to practical scenarios. This format allows for a comprehensive evaluation of a candidate's understanding and ensures that they can think critically and make informed decisions based on the information provided.
4. What strategies can be used to tackle difficult MCQs during the exam?
Ans. To tackle difficult MCQs, candidates can employ strategies such as eliminating obviously incorrect options, reading each question carefully to understand what is being asked, and making educated guesses when necessary. It is also advisable to manage time efficiently and not spend too long on any single question, allowing for a balanced approach throughout the exam.
5. How do direction tests enhance a candidate's analytical skills?
Ans. Direction tests enhance a candidate's analytical skills by requiring them to interpret information, evaluate options, and make decisions based on their understanding of various subjects. This format encourages critical thinking and the ability to analyse scenarios effectively, which are essential skills for a successful career in accounting and finance.
Related Searches
Free, Important questions, MCQs, Summary, Semester Notes, study material, ppt, mock tests for examination, past year papers, Extra Questions, pdf , Viva Questions, Sample Paper, Exam, Previous Year Questions with Solutions, Objective type Questions, MCQs' Direction Tests - Quantitative Aptitude for CA Foundation, video lectures, practice quizzes, MCQs' Direction Tests - Quantitative Aptitude for CA Foundation, shortcuts and tricks, MCQs' Direction Tests - Quantitative Aptitude for CA Foundation;