CA Foundation Exam  >  CA Foundation Notes  >  Quantitative Aptitude  >  MCQs' Statistical Description of Data and Sampling - Quantitative Aptitude for CA

MCQs' Statistical Description of Data and Sampling - Quantitative Aptitude for CA

Q1: What type of data is most appropriate representing using a Pie chart?
(a) Categorical data
(b) Continuous data
(c) Ordinal data
(d) Interval data
Ans: (c)

Sol:
A Pie chart is best suited for showing parts of a whole — typically when the data is categorical, 
such as:

  • Types of transportation (bus, train, car)
  • Market share by brand
  • Favorite colors, etc.

It visually displays the proportion or percentage each category contributes to the total.

Q2:  ______ is the upper part of the table, describing the columns and sub columns.
(a) Box head
(b) Caption
(c) Stub
(d) Body
Ans: (b)

Sol:
In a statistical table: Caption is the upper part of the table, describing the columns and sub columns. 

Q3: In tabulation, source of data, if any, is shown in the
(a) Footnote
(b) Body
(c) Stub
(d) Caption
Ans: (a)

Sol:
Footnote: Located at the bottom, used for Located at the bottom, used for explanatory notes, including the source of data, units, or clarifications.

Q4:  In tabular presentation of data, stub is ______
(a) Right part of the table providing the description of the row
(b) Left part of the table, which provide the description of rows
(c) Left part of the table providing the description of columns
(d) Right part of the table providing the description of columns
Ans: (b)

Sol:

 The stub in a table is the leftmost column that contains the labels or descriptions of the rows.

Q5: The column headings of a table are known as:
(a) Body 
(b) Stub
(c) Box-head 
(d) Caption
Ans: (d)

Sol:
We know,
Caption refers to the column headings or the title.

Q6: When the data are classified in respect of successive time points, they are known as ______
(a) Chronological data
(b) Geographical data
(c) Ordinal data
(d) Cardinal data
Ans: 
(a)

Sol:
When data are classified with respect to successive time points, such data involves timebased classification — like years, months, days, etc.
Chronological data = Data arranged according to time order. 
Other options like geographical, ordinal, or cardinal refer to space/location, ranking, or quantity, not time.

Q7: A frequency curve which starts with a minimum frequency and then gradually reaches its maximum frequency at the other extremity is known as:
(a) Bell-shaped curve
(b) Mixed curve
(c) U-shaped curve
(d) J-shaped curve
Ans:
(d)

Sol: 
A J-shaped curve is a type of frequency curve
where:

  • The frequency starts low at one end,
  • Then increases gradually,
  • And reaches a maximum at the other extremity.

Q8: The distribution of commuters coming to a Metro station from early morning hours to peak morning hours follows which type of frequenc curve?
(a) J-shaped curve
(b) Bell shaped curve
(c) U-shaped curve
(d) Mixed curve
Ans:
(a)

Sol:
The distribution of commuters starting from early morning (low frequency) and gradually increasing to peak hours (high frequency) typically resembles a J-shaped curve — starting low and rising sharply.

  •  A bell-shaped curve is symmetric, which doesn’t fit the gradual increase scenario.
  • A U-shaped curve has high frequencies at both ends and low in the middle.
  • Mixed curve is a combination and doesn’t specifically fit this pattern.

Q9: Numerical data presented in descriptive form are called:
(a) Tabular presentation
(b) Classified presentation
(c) Textual presentation
(d) Graphical presentation
Ans:
(c)

Sol:

 When numerical data is described using words and sentences (descriptive form), it is called textual presentation.
Other options like tabular, classified, and graphical presentations involve organizing data into tables, categories, or graphs, not descriptive text.

Q10: What type of data is most appropriate representing using a Pie chart?
(a) Categorical data
(b) Continuous data
(c) Ordinal data
(d) Interval data
Ans: 
(c)

Sol:
A Pie chart is best suited for showing parts of a whole — typically when the data is categorical,
such as:

  • Types of transportation (bus, train, car)
  • Market share by brand
  • Favorite colors, etc.

It visually displays the proportion or percentage each category contributes to the total.

Q11: Frequency density corresponding to a class interval for the continuous frequency distribution, is the ratio of:
(a) Class frequency to the total frequency
(b) Class frequency to the class length
(c) Class length to the class frequency
(d) Class frequency to the cumulative frequency
Ans: (b)

Sol:
We know,

Frequency density is calculated as:

Frequency density = Class Frequency/Class Width(or Length)

This is especially used in histograms where the class intervals (widths) are not equal. It helps in comparing how densely the 

data is distributedacross different intervals.

Q12: A histogram and a pie chart represent the same data on monthly expenses of a household. Which statement is most likely true?
(a) The histogram only shows the frequency of each expense category, while the pie chart shows the proportion of each category
(b) Both histogram and pie chart show the frequency of each expense category
(c) Both histogram and pie chart show the proportion of each expense category
(d) None of these
Ans: (a)

Sol:

We know,

The histogram only shows the frequency of each expense category, while the  cumulative frequency distribution of data.

It helps in understanding how frequencies accumulate over classes, useful for analyzing data distributions.

Q13: The Ogive can be used for marking
(a) medium term projection
(b) short term projection
(c) long term projection
(d) group frequency distribution
Ans: (d)

Sol:

An ogive is a graphical representation of the cumulative frequency distribution of data.

It helps in understanding how frequencies accumulate over classes, useful for analyzing data distribution.

Q14: In a cumulative frequency curve, what is represented on the y-axis?
(a) Class interval
(b) Cumulative frequency
(c) Frequency density
(d) Relative frequency
Ans: (b)

Sol:

 We know,

In a cumulative frequency curve, cumulative frequency is represented on the y-axis.

Q15: The mode of a continuous frequency distribution can be determined graphically from:
(a) By using Histogram
(b) By using frequency polygon
(c) By using ogive
(d) By using frequency curve
Ans: (a)

Sol:
The mode of a continuous frequency distribution can be graphically determined using a histogram by locating the highest rectangle (modal class) and then drawing lines from the top corners of that rectangle to the top corners of the adjacent rectangles.
The point where the lines intersect the top of the mode.

Q16: The following data relate to the income of 86 persons: What is the percentage of persons earning more than ₹1500? 
MCQs`: Statistical Description of Data and Sampling(a) 50  
(b) 45  
(c) 60  
(d) 40  
Ans: 
(a)  

Sol:
Given, total pressure = 86
From the table:

  • Income ₹1500-1999 → 36 persons
  • Income ₹2000-2499 → 7 persons

 So, number of persons earning more than
₹1500 = 36 + 7 = 43
Therefore, the required percentage = 43/86 × 100 = 50%

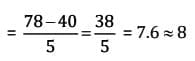
Q17: Consider the following data where class length is given as 5. Calculate the number of class intervals: 59, 68, 78, 57, 44, 73, 40, 60, 70, 47  
(a) 5  
(b) 6  
(c) 7  
(d) 8  
Ans: (d)  

Sol:
Given dataset; 59, 68, 78, 57, 44, 73, 40, 60, 70, 47

We know
Number of classes = Range/Class width
MCQs`: Statistical Description of Data and Sampling

Q18: The share holding pattern of ABC Ltd. is as follows:  
MCQs`: Statistical Description of Data and SamplingWhat is the difference between central angles of Promoters and Public in pie chart?  
(a) 216  
(b) 189  
(c) 180  
(d) 99  
Ans: (b)  

Sol:
Given,MCQs`: Statistical Description of Data and SamplingTherefore, the difference between Promotors and Public is given by;
MCQs`: Statistical Description of Data and Sampling

Q19: Out of 1000 persons, 40% are female, others are male. In a marriage function, 300 persons enjoyed the song. 30% of the people who has not enjoyed the song were female. What is the number of male, who did not enjoy the song in the function?  
(a) 180  
(b) 120  
(c) 360  
(d) 490  
Ans: (d)  

Sol:
According to the data, we have
MCQs`: Statistical Description of Data and Sampling

Therefore, 490 males did not enjoy the song in the function.

Q20: Out of 1000 persons, 25 per cent were industrial workers and the rest were agricultural workers. 300 persons enjoyed world cup matches on TV. 30 per cent of the people who had not watched world cup matches were industrial workers. What is the number of agricultural workers who had enjoyed world cup matches on TV?  
(a) 230  
(b) 250  
(c) 240  
(d) 260  
Ans: (d)  

Sol:
Given,

Number of people = 1000  

Number of Industrial Workers = 25%  

25/100 × 1000 = 250  

Number of Agricultural Workers = (100 – 25)% = 75%  

75/100 × 1000 = 750  
Number of people who enjoyed World Cup = 300  

Number of people who did not enjoy World Cup = (1000 – 300) = 700  

Number of people who did not enjoy World Cup were industrial workers = 30/100 × 700 = 210  

Number of industrial workers who enjoyed World Cup = 250 – 210 = 40  

Number of agricultural workers who enjoyed World Cup = 300 – 40 = 260

The document MCQs' Statistical Description of Data and Sampling - Quantitative Aptitude for CA is a part of the CA Foundation Course Quantitative Aptitude for CA Foundation.
All you need of CA Foundation at this link: CA Foundation
96 videos|241 docs|83 tests

FAQs on MCQs' Statistical Description of Data and Sampling - Quantitative Aptitude for CA

1. What is the importance of statistical description in data analysis?
Ans. Statistical description is crucial in data analysis as it provides a summary of the main features of a dataset. It helps in understanding the central tendency, variability, and overall trends in the data, which are essential for making informed decisions based on the data's characteristics.
2. What are the different measures of central tendency?
Ans. The measures of central tendency include the mean, median, and mode. The mean is the average of all data points, the median is the middle value when the data is ordered, and the mode is the most frequently occurring value in the dataset. Each measure provides different insights into the data distribution.
3. How does sampling contribute to statistical analysis?
Ans. Sampling contributes to statistical analysis by allowing researchers to draw conclusions about a larger population based on a subset of data. This is particularly useful when it is impractical or impossible to collect data from the entire population. Proper sampling techniques ensure that the sample accurately represents the population.
4. What is the difference between random sampling and stratified sampling?
Ans. Random sampling involves selecting individuals from a population entirely by chance, ensuring that every member has an equal probability of being selected. In contrast, stratified sampling divides the population into distinct subgroups or strata and then randomly samples from each stratum. This approach helps ensure that the sample reflects the diversity within the population.
5. Why is it important to understand the variability in a dataset?
Ans. Understanding variability in a dataset is important because it indicates how spread out the data points are around the central tendency. High variability suggests a wide range of values, while low variability indicates that the data points are closely clustered. This information is vital for assessing the reliability and consistency of the data, which impacts decision-making processes.
Related Searches
Extra Questions, ppt, Previous Year Questions with Solutions, Semester Notes, MCQs, Exam, past year papers, Objective type Questions, Free, video lectures, Important questions, MCQs' Statistical Description of Data and Sampling - Quantitative Aptitude for CA, Summary, practice quizzes, study material, mock tests for examination, shortcuts and tricks, Sample Paper, MCQs' Statistical Description of Data and Sampling - Quantitative Aptitude for CA, pdf , MCQs' Statistical Description of Data and Sampling - Quantitative Aptitude for CA, Viva Questions;