CA Foundation Exam  >  CA Foundation Notes  >  Quantitative Aptitude  >  MCQs': Probability

MCQs': Probability | Quantitative Aptitude for CA Foundation PDF Download

Q1: In a leap year, what is the probability that there will be 53 Sundays?
(a) 53/365
(b) 1/7
(c) 3/7
(d) 2/7
Ans: (d)

Sol:
We know,
In a leap year, there are 52 weeks and 2 extra days.
2 remaining days can be: {Sun-Mon, Mon-Tue, Tue-Wed, Wed-Thu, Thu-Fri, Fri-Sat, Sat-Sun}. 
Thus, for a leap year having 53 Sunday, 2 extra days should be {Sat-Sun} or {Sun-Mon}.
Therefore, the required probability = 2/7

Q2: In a non-leap year, the probability of getting 53 Sundays or 53 Tuesdays or 53 Thursdays is:
(a) 4/7
(b) 2/7
(c) 3/7
(d) 1/7
Ans: (c)

Sol:
According to the question,
In a leap year there are complete 52 weeks and 1 extra day.
That day can be Sunday or Tuesday or Thursday.
Sample Space is: 5 = {Sunday, Monday, Tuesday, Wednesday, Thursday, Friday, Saturday}
Total Number of Outcomes (n(S)) = 7
Let E be an event of getting an extra day as Sunday, Tuesday and Thursday.
n(E) = 3
So, the Probability = 3/7

Q3: What is the chance of picking a heart or a queen not of heart from a pack of 52 cards?
(a) 17/52
(b) 1/13
(c) 4/13
(d) 13/26
Ans: (c)

Sol:
We know,
Number of hearts in a pack of 52 cards = 13
Number of queens but not of heart = 3
Therefore, the chance of picking a heart or a queen not of heart from a pack of 52 cards is given by: 
MCQs`: Probability

Q4: What is the chance of picking a spade or an ace not of spade from a pack of 52 cards?
(a) 4/13
(b) 2/13
(c) 3/26
(d) 3/18
Ans: (a)

Sol:
Event 1: Picking a spade = 13 cards
Event 2: Picking an ace not of spade = 3 cards
(aces of hearts, diamonds, clubs)
Favourable outcome = 13 + 3 = 16
Total cards = 52
P = 16/25 = 4/13

Q5: Eight labourers are working at a each day of working (in ₹): following wages for each day of working (in ₹):
500, 620, 400, 700, 450, 560, 320, 450
If one of the workers is selected then what is the probability that his wage would be less than the average wage?
(a) 0.375
(b) 0.625
(c) 0.500
(d) 0.450
Ans: (c)

Sol:

Given wages (in ₹):
500, 620, 400, 700, 450, 560, 320, 450
Average
500 + 620 + 400 +  700 +  450 + 560 + 320 + 450/8
= 4000/8 = 500
Now, wages less than 500 are:

  • 400
  • 450
  • 320
  • 450

Count = 4
Therefore, the required probability is
P (wage < 500) =4/8 = 0.5

Q6: A box contains shoe pairs of same pattern of different sizes numbered from 1 to 12. If a shoe pair is selected at random, what is the probability that the number on the shoe pair will be a multiple of 5 or 6?
(a) 0.25
(b) 0.20
(c) 0.33
(d) 0.375
Ans: (c)

Sol:
Given:

  • Shoe pairs numbered from 1 to 12
  • Total number of pairs = 12

Here,
Number of multiples of 5 = 2(5, 10)
Number of multiples of 6 = 2(6, 12)
Number of multiples of both = 0
Therefore, the required probability
P = 4/12 = 1/3 = 0.33 (approx.)

Q7: A number is selected from the first 20 natural numbers. Find the probability that it would be divisible by 3 or 7.
(a) 7/20
(b) 12/37
(c) 24/67
(d) 8/20
Ans: (d)

Sol:
We know,
First 20 natural numbers: 1 to 20
Numbers divisible by 3: 3, 6, 9, 12, 15, 18 → 6 numbers
Numbers divisible by 7: 7, 14 → 2 numbers
No number from 1 to 20 is divisible by both 3 and 7.
So, total favorable numbers = 6 + 2 = 8
Hence, Probability = 8/20.

Q8: Two dice are thrown simultaneously. Find the probability that the sum of digits on the two dice would be 8 or more.
(a) 5/18
(b) 5/12
(c) 5/36
(d) 7/12
Ans: (b)

Sol:
Here, list of outcomes where sum ≥ 8.
MCQs`: ProbabilityTotal favorable outcomes = 5 + 4 + 3 + 2 + 1 = 15
Hence, P(sum  ≥ 8) = 15/36 = 5/12

Q9: Which of the following pairs of events are mutually exclusive?
(a) A: Archan was born in India. B: She is a fine lawyer.
(b) A: The student studies in a school. B: He studies Geography.
(c) A: Sita is 16 years old. B: She is a good folk dancer.
(d) A: Imran is under 15 years of age. B: He is a voter of Delhi.
Ans: (d)

Sol:
Option (a):
These two events can happen together (someone born in India can be a fine lawyer).
Not mutually exclusive
Option (b):
A student studying in a school can also study Geography.
Not mutually exclusive
Option (c):
Age and skill are unrelated, both can happen simultaneously.
Not mutually exclusive
Option (d):
To be a voter, one must be at least 18 years old.
So, Imran cannot be under 15 and a voter simultaneously.
Mutually exclusive events.

Q10: Three events A, B and C are mutually exclusive, exhaustive and equally likely.
What is the probability of the complementary event of A?
(a) 1/3
(b) 2/3
(c) 3/7
(d) 1
Ans: (b)

Sol:
Since A, B and C are mutually exclusive, exhaustive, and equally likely:
P(A) = P(B) = P(C) = 1/3
The complementary event of A is Ac, which includes B and C:
P(Ac) = 1 – P(A) =1 - (1/3 = 2/3).

Q11: Which one holds correct for any two events A and B
(a) P(A – B) = P(A) – P(A ∩ B)
(b) P(A – B) = P(A) – P(B)
(c) P(A – B) = P(B) – P(A ∩ B)
(d) P(A – B) = P(B) + P(A ∩ B)
Ans: (a)

Sol:
We know,
A – B means the event that A happens but B does not.
So, P(A – B) = P(A ∩ Bc)
where, Bc is the complement of B.
Therefore, P(A – B) = P(A) – P(A ∩ B)

Q12: The probability that an Accountant's job applicant has a B.Com. Degree is 0.85, that he is a CA is 0.30 and that he is both B.Com. and
CA is 0.25. Out of 300 applicants, how many would be B.Com. or CA?
(a) 0.25
(b) 0.30
(c) 0.10
(d) 0.90
Ans: (d)

Sol:
Given,

  • P(B.Com) = 0.85
  • P(CA) = 0.30
  • P(B.Com ∩ CA) = 0.25
  • Total applicants = 500

Therefore,
P(B.Com ∪ CA) = P(B.Com) + P(CA) – P(B.Com ∩ CA) = 0.85 + 0.30 – 0.25 = 0.90

Q13: A company produces two types of products. A and B. The probability of a defective product in type A is 0.05 and in type B is 0.03. If the company produces 60% type A and 10% type B. what is the probability of
(a) 0.042
(b) 0.03
(c) 0.048
(d) 0.052
Ans: (a)

Sol:
Given,

P(Defective|A) = 0.05

P(Defective|B) = 0.03

Therefore,

P(Defective) = P(A) . P(D|A) + P(B) . P(D|B)

= (0.6 × 0.05) + (0.4 × 0.03)

= 0.03 + 0.012

= 0.042

Q14: In a class, there are 15 boys and 10 girls. Three students are selected at random. The probability that 1 girl and 2 boys are selected is:
(a) 21/46
(b) 25/117
(c) 1/50
(d) 3/25
Ans: (a)

Sol:

Given,

Number of boys = 15 and Number of girls = 10

Therefore, the probability that 1 girl and 2 boys are selected is given by
MCQs`: Probability

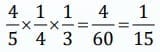
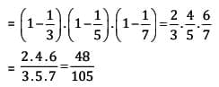
Q15: A question in statistics is given to three students A, B, and C. Their chances of solving the question are 1/3, 1/5 and 1/7 respectively.
The probability that the question would be solved is
(a) 19/35
(b) 16/35
(c) 1/105
(d) 104/105
Ans: (a)

Sol:

 Given,

P(A) = 1/3 ; P(B) = 1/5 ; P(C) = 1/7

We know,

P(at least one solves) = 1 – P(none solve)

Now,

P(none solve) = (1 – P(A)) . (1 – P(B)) . (1 – P(C))
MCQs`: Probability
Therefore,

P(Solved) =  MCQs`: Probability

Q16: Rupesh is known to hit a target in 5 out of 9 shots whereas David is known to hit the same target in 6 out of 11 shots. What is the
probability that the target would be hit once they both try?
(a) 79/99
(b) 10/13
(c) 14/26
(d) 13/18
Ans: (a)

Sol:
Given:

P(Rupesh hits) = 5/9

P(David hits) = 6/11

Therefore, Proberefore, Probability (Atleast one will hit) = 1 – P(None)
MCQs`: Probability

Q17: A problem is given to 5 students P, Q, R, S and T. If the probability of solving the problem individually is 1/2, 1/3, 2/3, 1/5 and 1/6 respectively then find the probability that the problem is solved.
(a) 0.47
(b) 0.93
(c) 0.57
(d) 0.27
Ans: (b)

Sol:
Given;
P(P) =1/2 ; P(Q) = 1/3

P(R) =2/3 ; P(S) = 1/5

P(T) = 1/6
Now,
P(Problem is solved) = 1 – P(None solve)
MCQs`: Probability

Q18: The odds are 9:5 against a person who is 50 years living till he is 70 and 8:6 against a person who is 60 living till he is 80. Find the
probability that at least one of them will be alive after 20 years.
(a) 11/14
(b) 22/49
(c) 31/49
(d) 35/49
Ans: (c)

Sol:
Given;

Person A: Odds against = 9:5 →

P(A survives) =5/14 , P(A dies) = 9/14

Person B: Odds against = 8:6 →

P(B survives) = 3/7 , P(B dies) = 4/7

At least one survives:

P = 1 – P (both die)
MCQs`: Probability

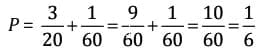
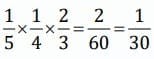
Q19: The probability of success of three students in CA Foundation examination are 1/5, 1/4 and 1/3 respectively. Find the probability that at least two students will get success.
(a) 3/4
(b) 2/5
(c) 1/6
(d) 1/5
Ans: (c)

Sol:
P(A) = 1/5

P(B) = 1/4

P(C) = 1/3

Therefore, the probabilities of failures is given by
P(A') = 1 - 1/5 = 4/5

P(B') = 1 - 1/4 = 3/4

P(C') = 1 - 1/3 = 2/3

A and B succeed, C fails
MCQs`: Probability

B and C succeed, A fails:
MCQs`: Probability

A and C succeed, B fails:
MCQs`: Probability

Sum for exactly 2 succeed:
MCQs`: Probability

Hence, Total probability that atleast two succeed
MCQs`: Probability

Q20: A father had three sons namely Kailash, Harish and Prakash. All are above 65 years in age. Prakash happens to be the eldest while Kailash as youngest. As per the health history, it is estimated that the probability that Kailash survives another 5 years is 4/5, Harish survives another 5 years is 3/5 and Prakash survives another 5 years is 1/2. The probabilities that Kailash and Harish survive another 5 years is 0.46, Harish and Prakash survive another 5 years is 0.32 and Kailash and Prakash survive another 5 years is 0.48. The probability that all three sons survive another 5 years is 0.26. What shall be the probability that at least one of them survives another 5 years?
(a) 0.78
(b) 0.72
(c) 7/10
(d) 9/10
Ans: (d)

Sol:
 Let’s define:

  • A: Kailash survives
  • B: Harish survives
  • C: Prakash survives

Given:

  • P(A) =4/5 = 0.80
  • P(B) =3/5 = 0.60
  • P(C) =1/2 = 0.50
  • P(A ∩ B) = 0.46
  • P(B ∩ C) = 0.32
  • P(A ∩ C) = 0.48
  • P(A ∩ B ∩ C) = 0.26

P(at least one survives) = P(A ∪ B ∪ C) = P(A) + P(B) + P(C) – P(A ∩ B) – P(B ∩ C) – P(A ∩ C) + P(A ∩ B ∩ C) 
= 0.80 + 0.60 + 0.50 – 0.46 – 0.32 – 0.48 + 0.26 
= 1.90 – 1.26 + 0.26 = 0.90
=9/10

The document MCQs': Probability | Quantitative Aptitude for CA Foundation is a part of the CA Foundation Course Quantitative Aptitude for CA Foundation.
All you need of CA Foundation at this link: CA Foundation
96 videos|241 docs|83 tests

FAQs on MCQs': Probability - Quantitative Aptitude for CA Foundation

1. What is probability in the context of the CA Foundation exam?
Ans. Probability is a branch of mathematics that deals with the likelihood of occurrence of events. In the context of the CA Foundation exam, it involves understanding concepts such as sample spaces, events, and the calculation of probabilities using formulas and rules, which are essential for decision-making under uncertainty.
2. How can one calculate the probability of an event?
Ans. The probability of an event can be calculated using the formula: P(E) = Number of favourable outcomes / Total number of outcomes. This formula highlights the ratio of the number of ways an event can occur to the total number of possible outcomes in a given scenario.
3. What are the different types of probability relevant to the CA Foundation syllabus?
Ans. The different types of probability relevant to the CA Foundation syllabus include theoretical probability, which is based on reasoning and mathematical calculations; experimental probability, which is based on actual experiments or trials; and subjective probability, which is based on personal judgment or opinion about the likelihood of an event.
4. What is the significance of the concepts of independent and dependent events in probability?
Ans. Independent events are those whose outcomes do not affect each other, meaning the occurrence of one event does not change the probability of the other. Dependent events, on the other hand, have outcomes that are influenced by each other. Understanding these concepts is crucial for calculating combined probabilities accurately in various scenarios presented in the CA Foundation exam.
5. How does the concept of conditional probability apply in problem-solving for the CA Foundation exam?
Ans. Conditional probability refers to the probability of an event occurring given that another event has already occurred. It is calculated using the formula P(A|B) = P(A and B) / P(B). This concept is important in problem-solving as it helps in determining the likelihood of events in cases where prior conditions or events influence the outcomes, aiding in more nuanced decision-making.
Related Searches
mock tests for examination, practice quizzes, Free, Important questions, Viva Questions, MCQs, Extra Questions, pdf , shortcuts and tricks, MCQs': Probability | Quantitative Aptitude for CA Foundation, past year papers, MCQs': Probability | Quantitative Aptitude for CA Foundation, Objective type Questions, Semester Notes, Sample Paper, ppt, Exam, study material, MCQs': Probability | Quantitative Aptitude for CA Foundation, Previous Year Questions with Solutions, Summary, video lectures;