CA Foundation Exam  >  CA Foundation Notes  >  Quantitative Aptitude  >  MCQs' Theoretical Distributions - Quantitative Aptitude for CA Foundation

MCQs' Theoretical Distributions - Quantitative Aptitude for CA Foundation

Q1. When p = 0.5, the distribution is
(a) Asymmetrical
(b) Symmetrical
(c) Both of above
(d) None of above
Ans: (b)

Sol:

We know,

Binomial distribution is symmetric when p = 0.5

Q2. If mean and standard deviation of a binomial distribution is 10 and 2 respectively, q will be __
(a) 1
(b) 0.8
(c) 0.6
(d) 0.4
Ans: (d)

Sol:

According to the question, we have

Mean = 10 & S.D = 2
i.e., m = np = 10, S.D. =  √npq = 2

Dividing both:

npq/np= 4/10
q = 0.4

Q3. Find the variance of binomial distribution with n = 10, p = 0.3
(a) 2.1
(b) 3
(c) 7
(d) None of these
Ans: (a)

Sol:
Given, n = 10 & p = 0.3

Thus, q = 1 – p = 1 – 0.3 = 0.7

Therefore, Variance = npq = 10 × 0.3 × 0.7 = 2.1

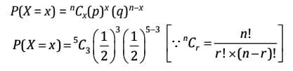
Q4. What is the probability of making 3 corrected guesses in 5 True–False answer type questions
(a) 0.3125
(b) 0.4156
(c) 1.3888
(d) 0.5235
Ans: (a)

Sol:

According to the question,

Number of trials; n = 500

Specific outcome (making 3 correct guesses): x = 3

Probability of success: P= 1/2

Probability of failure:  q = 1 MCQs`: Theoretical Distributions

Binomial distribution is given by the formula,

MCQs`: Theoretical Distributions

MCQs`: Theoretical Distributions
10/32 = 5/16 = 0.3125

Q5. What will be the mode of the Binomial Distribution in which mean is 20 and standard deviation is √10 ?
(a) 21
(b) 20.5
(c) 20
(d) 41
Ans: (c)

Sol:
Given, np = 20)  ...(i)
 √npq  =  √10 ...(ii)

Put this value in eq. (i), we get

20q = 10

⇒ q = 1/2

Thus, l = 1/2

Also, np = 20

⇒ n (1/2) = 20

⇒ n = 40

Now, Mode = (n + 1) l = 41 × 1/2 = 20.5

Since, it is a non-integer, thus

Mode = 20

Q6: The overall percentage of failure in a certain examination is 0.30. What is the probability that out of a group of 6 candidates at least 4 passed the examination? 
(a) 0.74
(b) 0.71
(c) 0.59 
(d) 0.67

Ans: (a)

Sol:
According to question, we have

q = 0.3, p = 1 – 0.3 = 0.7 and n = 6

Therefore, the probability that out of a group of

6 candidates at least 4 passed the examination is given by;

P(x ≥ 4) = 6C4(0.7)4 (0.3)2 + 6C5(0.7)(0.3)1 + 6C6(0.7)6 (0.3)0

⇒ P(x ≥ 4) = 0.324135 + 0.30256  + 0.117649

⇒ P(x ≥ 4) = 0.74 (Approx)

Q7: Examine the validity of the following : Mean and standard deviation of a binomial distribution are 10 and 4 respective:
(a) Valid
(b) Not valid
(c) Both (a) and (b)
(d) Neither (a) nor (b)

Ans: (b)

Sol:
According to question, we have

Mean = 10

S.D = 4

Variance = 16

Since, mean is always greater than variance.

But 10 < 16

Hence, the given data is not valid.

Q8: Number of misprints per page of a thick book follows;
(a) Normal distribution
(b) Poisson distribution
(c) Binomial distribution
(d) Standard normal distribution
Ans: (b)

Sol:

Since, the number of trials (n) are very large and tends to be infinite however success (p) is very small.

Therefore, number of misprints per page   of a thick book follows Poisson distribution.

Q9: In _____ distribution, mean = variance.
(a) Normal
(b) Binomial
(c) Poisson
(d) None of these
Ans: (c)

Sol:
For Poisson distribution, mean = variance.

Q10: Shape of Normal Distribution Curve:
(a) Depends on its parameters
(b) Does not depend on its parameters
(c) Either (a) or (b)
(d) Neither (a) nor (b)
Ans: (a)

Sol:

We know,

Shape of Normal Distribution curve depends on its parameters.

Q11: If 3 percent of ceramic cup manufactured by a company are known to be defective. What is the probability that a sample of 100 cups are taken from the production process, of that company would contain exactly one defective cup?
(a) 0.03
(b) 0.15
(c) 0.09
(d) 0.30
Ans: (b)

Sol:

Given: p = 3/100 = 0.03 and n = 100

Thus, np = n × p = 3/100 × 100 = 3

Now, the required probability is given by:

P(X = 1) = e⁻³ × 3¹/1!

⇒ P(X = 1) = e⁻³ × 3

⇒ P(X = 1) = 0.149 ≈ 0.15

Q12: If 5% of the families in large population city do not used gas as a fuel, what will be the probability of selecting 10 families in a random sample of 100 families who do not use gas as a fuel?
(Given that e-5 = 0.0067)
(a) 0.038
(b) Zero
(c) 0.018
(d) 0.048
Ans: (c)

Sol:
Given:

  • p = 5/100 = 0.05
  • n = 100
  • So, np = 5

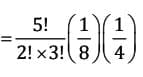
Using Poisson distribution, we get

P(x = 10) = e⁻⁵ · 5¹⁰/10!

e⁻⁵ = 0.0067

P(x = 10) = 0.0067 · 9765625/3628800 ≈ 0.01803

Q13: The number of accidents in a year attributed to taxi drivers in a locality follows Poisson distribution with average 2. Out of 500 taxi drivers of that area, what is the number of drivers with at least 3 accidents in a year?
(Given that e = 2.718)
(a) 162
(b) 180
(c) 201
(d) 190
Ans: (a)

Sol:
Given,
Total no. of taxi drivers (N) = 500
Mean (m) = 2
The probability of at least 3 accidents is given by
P(X ≥ 3) = 1 – P(X < 3)
We know that, P (X = x) = e-mmx/x!
⇒ P(X ≥ 3) = 1 – P(X < 3)
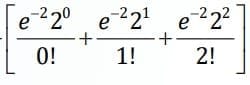
⇒ P(X ≥ 3) = 1 – [P(0) + P(1) + P(2)]
⇒ P(X ≥ 3) = 1 – MCQs`: Theoretical Distributions

⇒ P(X ≥ 3) = 1 –MCQs`: Theoretical Distributions

⇒ P(X ≥ 3) = 1 – MCQs`: Theoretical Distributions
⇒ P(X ≥ 3) = 1 – 0.06767
⇒ P(X ≥ 3) = 0.3233

Now, the number of drivers with at least 3 accidents in a year,
= N × P(X ≥ 3)
= 500 × 0.3233
= 161.65 ≈ 162
Therefore, the number of driver with at least 3 accidents in a year are 162.

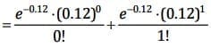
Q14: The probability than a man aged 45 years will die within a year is 0.012. What is the probability that of 10 men, at least 9 will reach their 46th birthday? [Given; e–0.12 = 0.88692]
(a) 0.0935 
(b) 0.9934
(c) 0.9335 
(d) 0.9555

Ans: (c)

Sol:
According to the question, we have

p = 0.012

n = 10

m = np

 = 10 × 0.012 = 0.12

Now, the probability that at least 9 men survive

i.e.,

9 reached/survive or 10 reached/survive

or

1 died or 0 died

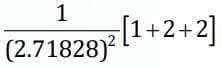
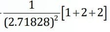
= P(X = 0) + P(X = 1)

MCQs`: Theoretical Distributions

= 0.88692[1 + 0.12]
= 0.9934 (Approx)

Q15: An example of bi‑parametric continuous probability distribution.
(a) Binomial
(b) Poisson
(c) Normal
(d) (a) and (b)
Ans: (a)

Sol:
A bi-parametric continuous distributionmeans it has two parameters and is continuous

  • Binomial → discrete
  • Poisson → discrete
  • Normal
  • [μ, σ²]

Q16: In a normal distribution, skewness is __.
(a) 0
(b) > 3
(c) < 3
(d) < 1
Ans: (a)

Sol:
We know,

Normal distribution is perfectly symmetric, so skewness = 0.

Q17: The total area of the normal curve is the
(a) 50 percent
(b) one
(c) 0.50
(d) any value between 0 and 1
Ans: (b)

Sol:
The total probability under a normal curve equals 1.

Q18: If X and Y are two independent normal variables with means 10 and 12, and standard deviations (S.D.) 3 and 4 respectively, then (X + Y) is normally distributed with:
(a) Mean = 22 and S.D. = 7
(b) Mean = 22 and S.D. = 25
(c) Mean = 22 and S.D. = 5
(d) Mean = 22 and S.D. = 49
Ans: (c)

Sol:
Means of X + Y:

  • μ = 10 + 12 = 22

Standard deviation of X + Y (since independent variables):

MCQs`: Theoretical Distributions

Q19: If the points of inflexion of a normal curve are 40 and 60 respectively, then its mean is
(a) 40
(b) 45
(c) 50
(d) 60
Ans: (c)

Sol:
Given: Points of inflexion of normal curve are 40 and 60.
Let σ be the standard deviation and μ be the mean, then According to the question,
μ – σ = 40 …(i)
μ + σ = 60 …(ii)
Adding (i) and (ii),
MCQs`: Theoretical Distributions

⇒ μ = 100/2
⇒ μ = 50
Therefore, the required mean is 50.

Q20: X follow normal distribution with mean as 50 and variance as 100. What is P(X ≥ 60)?
[Given φ(1) = 0.8413]
(a) 0.20
(b) 0.40
(c) 0.16
(d) 0.30
Ans: (c)

Sol:
According to question, we have
μ = 50 and σ² = 100
⇒ σ = 10
MCQs`: Theoretical DistributionsZ = X − μ/σ
Z = x − 50/10

P(x ≥ 60) = P  MCQs`: Theoretical Distributions
= P(Z ≥ 1)
= 1 − 0.8413
= 0.1587

The document MCQs' Theoretical Distributions - Quantitative Aptitude for CA Foundation is a part of the CA Foundation Course Quantitative Aptitude for CA Foundation.
All you need of CA Foundation at this link: CA Foundation
92 videos|224 docs|83 tests

FAQs on MCQs' Theoretical Distributions - Quantitative Aptitude for CA Foundation

1. What are theoretical distributions in statistics?
Ans. Theoretical distributions are mathematical functions that describe the likelihood of different outcomes in a random variable. They are based on certain assumptions and help in understanding the behaviour of data in various fields, including finance, biology, and social sciences.
2. Can you explain the normal distribution?
Ans. The normal distribution, also known as the Gaussian distribution, is a continuous probability distribution characterised by its bell-shaped curve. It is defined by its mean and standard deviation, where approximately 68% of the data falls within one standard deviation of the mean, 95% within two, and 99.7% within three.
3. What is the significance of the binomial distribution?
Ans. The binomial distribution is significant as it models the number of successes in a fixed number of independent Bernoulli trials, each with the same probability of success. It is widely used in scenarios where there are two possible outcomes, such as success/failure or yes/no situations.
4. How does the Poisson distribution differ from the normal distribution?
Ans. The Poisson distribution is a discrete probability distribution that models the number of events occurring in a fixed interval of time or space, given a known average rate of occurrence. In contrast, the normal distribution is continuous and is used for a wide range of data. The Poisson distribution is particularly useful for rare events, while the normal distribution applies to a broader range of scenarios.
5. What role do theoretical distributions play in hypothesis testing?
Ans. Theoretical distributions are crucial in hypothesis testing as they provide the framework for determining the probability of observing a test statistic under the null hypothesis. By comparing the observed data to the expected distribution, researchers can make informed decisions about whether to accept or reject the null hypothesis based on statistical significance.
Related Searches
mock tests for examination, pdf , MCQs' Theoretical Distributions - Quantitative Aptitude for CA Foundation, Summary, Exam, MCQs' Theoretical Distributions - Quantitative Aptitude for CA Foundation, video lectures, Extra Questions, Previous Year Questions with Solutions, MCQs' Theoretical Distributions - Quantitative Aptitude for CA Foundation, MCQs, study material, past year papers, Viva Questions, Objective type Questions, practice quizzes, Sample Paper, Free, ppt, Semester Notes, Important questions, shortcuts and tricks;