CA Foundation Exam  >  CA Foundation Notes  >  Quantitative Aptitude  >  MCQ s' Correlation And Regression - Quantitative Aptitude for CA Foundation

MCQ s' Correlation And Regression - Quantitative Aptitude for CA Foundation

Q1: In case of “Insurance companies profits” and “The number of claims they have to pay”, there exists a
(a) Positive correlation
(b) Negative correlation
(c) No correlation
(d) It cannot be predicted.
Ans: (b)

Sol:
The number of claims that an insurance company has to pay increases, the profit of the company are likely to decrease.
When the number of claims is high, the insurance company has to pay more money in claims, which reduces the money available for profits.
So, as the number of claims increases, the profits of the company decrease, resulting in a negative correlation between the two variables.
Hence, the correct answer is option (b) i.e., Negative Correlation.

Q2: When r = 1, all the points in a scatter diagram would be:
(a) On a straight line directed from lower left to upper right
(b) On a straight line directed from upper left to lower right
(c) On a straight line
(d) Both (a) and (b).
Ans: (a)

Sol:
If data points lie from lower left to upper right then it is positive correlation such that 0 < r < 1.
If data points lie from upper left to lower right then it is negative correlation such that –1 < r < 0.
If r = 1 there is perfect correlation and all the points lie on a straight line directed from lower left to upper right.
If r = 0 there is no correlation.
Therefore, for r = 1 all the points in a scatter diagram would lie on a straight line directed from lower left to upper right.
Hence, option (a) is correct.

Q3: Spearman’s correlation coefficient is used to check
(a) The scattering of the data
(b) The relationship in variables
(c) The median of a data
(d) The range of a data
Ans: (b)

Sol:
We know,
Spearman’s correlation coefficient is used to check the relationship in variables.

Q4: What is spurious correlation?
(a) It is a bad relation between two variables.
(b) It is very low correlation between two variables.
(c) It is the correlation between two variables having no causal relation.
(d) It is a negative correlation.
Ans: (c)

Sol:
We know that, 
Spurious correlation is the correlation between two variables having no causal relation.

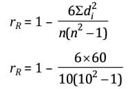
Q5: For a group of 10 students the sum of squares of difference in ranks for Physics and Chemistry marks was 60, what is the value of rank correlation coefficient. (Choose the nearest value)
(a) 0.636 
(b) 0.725

(c) 0.698 
(d) 0.842

Ans: (a)

Sol:
We know,

Spearman’s rank correlation coefficient is given by
MCQ s`: Correlation And Regression
⇒ rR = 0.636

Q6: If the coefficient of correlation between two variables is 0.8, the percentage of variation unaccounted for is
(a) 70%
(b) 30%
(c) 51%
(d) 36%
Ans: (d)

Sol:
Given, Coefficient of correlation between two variables (r) = 0.8.
Therefore, the percentage of variation unaccounted for is given by
1 – r= 1 – (0.8)2
= 1 – 0.64
= 0.36 = 36%

Q7: The correlation between two variables x and y is found to be 0.4. What is the correlation between 2x and (–y)?
(a) 0.4
(b) –0.4
(c) 0.6
(d) None of these
Ans: (b)

Sol:
Given, Correlation between two variables x and y = 0.4
Let u = 2x and v = –y
Here, the signs of u and v are opposite, thus the correlation between  2x and (–y) is given by
ruv = –rxy = –0.4.

Q8: Correlation coefficient between X and Y will be negative when
(a) X and Y are decreasing
(b) X is increasing, Y is decreasing
(c) X and Y are increasing
(d) None of these
Ans: (b)

Sol:
A negative correlation describes the extent to which two variables move in opposite directions. For example, for two variables, X and Y, an increase in X is associated with a decrease in Y. A negative correlation coefficient is also referred to as an inverse correlation.
Hence, the correct option (b) i.e., X is increasing, Y is decreasing.

Q9: Two variables X and Y are related as 4x + 3y = 7, then correlation between x and y is
(a) Perfect positive
(b) Perfect negative
(c) Zero
(d) None of these
Ans: (b)

Sol:
We know that for equation ay = bx + c, if sign of x and y are of opposite signs, then correlation is perfectly negative.
Given 4x + 3y = 7,
⇒ 3y = – 4x + 7
Here sign of x and y are opposite, so correlation is perfect negative.
Hence, option (b) is correct

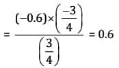
Q10: If the relation between x and u is 3x + 4u + 7 = 0 and the correlation coefficient between x and y is –0.6, then what is the correlation coefficient between u and y ? 
(a) –0.6 
(b) 0.8
(c) 0.6

(d) –0.8
Ans: (c)

Sol:
3x + 4u + 7 = 0
MCQ s`: Correlation And Regression
Thus, perfect negative correlation exists between x and y, rxy = (–0.6) 
Correlation between u and y = ruy
MCQ s`: Correlation And Regression
Hence, the correct answer is option (c) i.e. 0.6.

Q11: The two lines of regression become identical when
(a) r = 1
(b) r = –1
(c) r = 0
(d) (a) or (b)
Ans: (d)

Sol:
We know that,
The two lines of regression coincide or become identical when r = 1 or r = –1.
If r = 0, then the regression lines are perpendicular to each other.

Q12: If one regression coefficient is ______ unity, then the other must be ______ unity.
(a) more than, more than
(b) less than, less than
(c) more than, less than
(d) positive, negative
Ans: (c)

Sol:
We know that,
If one regression coefficient is more than unity, then the other must be less than unity.

Q13. If y = 3x + 4 is the regression line of y on x and the arithmetic mean of x is –1, what is the arithmetic mean of y?
(a) 1
(b) –1
(c) 7
(d) None of these
Ans: 
(a)

Sol:
Given,
Regression line of y on x is given by
y = 3x + 4
⇒ ȳ = 3ˉx + 4
⇒ ȳ = 3(–1) + 4
⇒ ȳ = 1

Q14: If r = 0.6, then the coefficient of non‑determination is
(a) 0.4
(b) –0.6
(c) 0.36
(d) 0.64
Ans: 
(d)

Sol:
Given, r = 0.6
Thus, the coefficient of non-determination is given by,
1 – r2 = 1 – (0.6)2
 = 1 – 0.36 = 0.64

Q15: Which one of the following statement is correct regarding limit of the two regression coefficient?
(a) No limit.
(b) Must be positive.
(c) One positive and the other negative.
(d) Product of the regression coefficients must be numerically less than unity.
Ans: 
(d)

Sol:
 We know,
bxy . byx < 1
i.e., Product of the regression coefficients must be numerically less than unity.

Q16: When both the regression coefficient are bxy = 0.7 and byx = 0.8 respectively, then the coefficient between x and y is 
(a) 0.75
(b) 0.56
(c) 0.28 
(d) 0.87

Ans: (a)

Sol:
We know that,

 r= bxy × byx

⇒ r2  = (0.8) × (0.7)

⇒ r = 0.56

⇒ r = √0.56

⇒ r = 0.75 (approx)

Therefore, the correlation coefficient between x and y is 0.75.

Q17: The correlation coefficient between X and Y is 0.2 and var(X) = 5 var(Y). Then regression coefficient of X on Y is
(a) √5
(b) 1/5
(c) 1/√5
(d) 5

Ans: (c)

Sol:

Given; Var(X) = 5 Var (Y)
⇒  σx²/σy² = 5
⇒  σx / σy = √5

We know that,

bxy = r (σx / σy)

⇒ bxy = 0.2 × √5

⇒ bxy = 1/5 × √5

⇒ bxy = 1 / √5

Q18: Given x = 2y + 4 and y = kx + 6 are the two lines of regression x on y and y on x respectively. If the value of correlation coefficient (r) is 0.5, then the value of k is 
(a) 1/8
(b) 1/4
(c) 1/3
(d) 1/2
Ans: 
(a)

Sol:

x = 2y + 4 is the line of regression x on y

⇒ bxy = 2

Also, y = kx + 6 is the line of regression y on x

⇒ byx = k

Also, r = 0.5

We know that,

r= bxy . byz

⇒ (0.5)= 2 × k

⇒ k =

2 (0.5)2

⇒ k = 0.125

⇒ k = 1/8

Q19: Which of the following statement is correct?
(a) If two Regression lines coincide with each other, there is no correlation between the variables.
(b) Regression lines are independent of origin but not of scale.
(c) The regression lines of two independent variables are parallel to each other.
(d) None of these.
Ans: 
(b)

Sol:
Regression coefficients are independent of origin but not of scale.
Hence, option (b) is correct

Q20: If the regression lines are 3x – 4y + 8 = 0 and 4x – 3y = 1, then the correlation coefficient between x and y is
(a) 3/4
(b) 1/4
(c) 3/8
(d) 1/8
Ans:
(a)

Sol:
We know,
4y = 3x + 8
⇒ y =3x/4+ 2
Also, 4x = 3y + 1
⇒ x = 3y/4 +1/4
Thus, the correlation coefficient between x and y is calculated as
r2 = byx . bxy
⇒ r2 = 3/3 x 4/4
⇒ r2= 9/16    
⇒ r =3/4

The document MCQ s' Correlation And Regression - Quantitative Aptitude for CA Foundation is a part of the CA Foundation Course Quantitative Aptitude for CA Foundation.
All you need of CA Foundation at this link: CA Foundation
96 videos|241 docs|83 tests

FAQs on MCQ s' Correlation And Regression - Quantitative Aptitude for CA Foundation

1. What is correlation in statistics?
Ans. Correlation in statistics refers to a measure that indicates the extent to which two variables fluctuate together. A positive correlation means that as one variable increases, the other also tends to increase, while a negative correlation indicates that as one variable increases, the other tends to decrease. The correlation coefficient, which ranges from -1 to +1, quantifies this relationship.
2. How does regression analysis differ from correlation?
Ans. Regression analysis is a statistical method used to model the relationship between a dependent variable and one or more independent variables. Unlike correlation, which only measures the strength and direction of a linear relationship between two variables, regression analysis also allows for the prediction of the dependent variable based on the values of independent variables. It provides a functional equation to describe the relationship.
3. What are the key assumptions of linear regression?
Ans. The key assumptions of linear regression include linearity, meaning the relationship between the independent and dependent variables is linear; independence of errors, which states that the residuals (errors) of the model should be independent; homoscedasticity, meaning the residuals should have constant variance; and normality of errors, which implies that the residuals should be approximately normally distributed.
4. What is the significance of the correlation coefficient?
Ans. The correlation coefficient is significant as it quantifies the strength and direction of a linear relationship between two variables. A value close to +1 indicates a strong positive correlation, while a value close to -1 indicates a strong negative correlation. A value around 0 suggests no linear correlation. Understanding this coefficient helps in assessing how closely related two variables are.
5. How can regression analysis be used in predictive modelling?
Ans. Regression analysis can be used in predictive modelling by identifying and quantifying the relationship between one or more independent variables and a dependent variable. By fitting a regression model to historical data, one can predict future outcomes based on new input values. This is particularly useful in various fields such as finance, marketing, and social sciences for making informed decisions.
Related Searches
Viva Questions, video lectures, Important questions, Extra Questions, ppt, past year papers, MCQs, pdf , Sample Paper, study material, Previous Year Questions with Solutions, Exam, Objective type Questions, MCQ s' Correlation And Regression - Quantitative Aptitude for CA Foundation, Summary, MCQ s' Correlation And Regression - Quantitative Aptitude for CA Foundation, Free, Semester Notes, practice quizzes, shortcuts and tricks, mock tests for examination, MCQ s' Correlation And Regression - Quantitative Aptitude for CA Foundation;