CA Foundation Exam  >  CA Foundation Notes  >  Quantitative Aptitude  >  MCQs' Index numbers - Quantitative Aptitude for CA Foundation

MCQs' Index numbers - Quantitative Aptitude for CA Foundation

Q1: During a certain period, the cost of living index goes up from 110 to 200 and the salary of a worker is also raised from ₹330 to ₹500, then in the real terms, the raise in the salary is effectively:
(a) Gain by Rs. 50
(b) Gain by Rs. 75
(c) Loss by Rs. 90
(d) Loss by Rs. 50
Ans: (d)

Sol:
Given: The cost of living index goes up from 110 to 200 and the salary of a worker is also raised from Rs.330 to Rs.500

i.e., Real wagesI = 330/ 110  × 100 = Rs. 300

Now, Real wagesII =500/200 × 100 = Rs. 250
Clearly, it is loss of Rs. 50.

Q2: The consumer price index for the year 2023 is 273 with 2010 as base year. The average monthly wages of industrial worker in year 2023 is Rs. 8,190. What is the real wage?
(a) Rs. 2,800
(b) Rs. 3,000
(c) Rs. 3,200
(d) Rs. 3,400
Ans: (b)

Sol:

Real wage is given by

Real wage = 8190/273 × 100 = Rs. 3000

Q3: The cost of living is always
(a) Price index number
(b) Quantity index number
(c) Weighted index number
(d) Value index number
Ans: (c)

Sol:
The cost of living is always weighted index number.

Q4: Which index measure the change from month to month in the cost of a representative basket of goods and services of the type bought by a typical household?
(a) Retail price index
(b) Laspeyre’s index
(c) Fisher’s index
(d) Paasche’s index
Ans: (a)

Sol:

We know that,

Retail Price index is a list of the prices of typical goods and it shows how much the  cost of living changes from month to month.

Q5: When the prices for quantities consumed of all commodities are changing in the same ratio, then the index numbers due to Laspeyres’ and Paasche’s will be.
(a) Equal
(b) Unequal
(c) Reciprocal of Marshall Edgeworth’s Index number
(d) Reciprocal of Fisher’s index number
Ans: (a)

Sol:
We know that,
When the prices for quantities consumed of all commodities are changing in the same ratio, then the index numbers due to Laspeyre’s and Paasche’s will be equal.

Q6: An index number constructed to measure the relative change in the price of an item or a group of items is called:
(a) Quantity index number
(b) Price index number
(c) Volume index number
(d) Composite index number
Ans:
(b)

Sol:
A Price Index Number measures the relative change in prices over time for a single item or group of items.

Q7: The index number of prices for a country at a given date is 250. In comparison to the base period price, the price of all commodities in the country has increased by ______ times.
(a) 1.25
(b) 1.5
(c) 2
(d) 2.5
Ans: (b)

Sol:
Base period = 100
Current period = 250
Increase = 250 – 100 = 150
Increase in times = 150/100 = 1.5

Q8: Which of the following index uses the method of average of base year & current year?
(a) Paasche’s Index
(b) Laspeyres’s Index
(c) Marshall‑Edgeworth Index
(d) Fisher’s Index
Ans: (c)

Sol:
We know,
L0 = q 0 + q1 /2
Thus, Marshall-Edgeworth Index uses the method of average of base year and current year.

Q9: Which of the following is not a test of adequacy in the context of index numbers?
(a) Unit test
(b) Circular test
(c) Square test
(d) Factor reversal test
Ans: (b)

Sol:
We know,

Square test is not the test of adequecy in the  test of adequecy in the context of index number.

Q10: Fisher’s index number is called as ideal index number because it satisfies
(a) Factor reversal test
(b) Time reversal test
(c) Both factor and time reversal tests
(d) Circular test
Ans: (c)

Sol:
Fisher’s index number is called as ideal index number because it  satisfies both factor and time reversal test.

Q11: Circular test is satisfied by which of the following index? 
(a) Laspeyre’s index
(b) Paasche’s index
(c) Fisher’s index
(d) Simple geometric mean of price relatives

Ans: (d

Sol:
We know that,

Circular test is not satisfied by Laspeyre’s, Paasche’s or Fisher’s Index but satisfied by Simple geometric mean of price relatives.

Q12: The Laspeyre’s index number is a weighted aggregate method by taking ______ as weight.
(a) quantity consumed in the base year
(b) quantity consumed in the current year
(c) value of items consumed in the base year
(d) value of items consumed in the current year
Ans: (a)

Sol:

The Laspeyre’s index number is a weighted aggregate method by taking quantity consumed in the base year as weight.

Q13: If the 2018 index with base 2015 is 250 and 2015 index with base 2012 is 150, the index 2018 on base 2012 will be:
(a) 800
(b) 375
(c) 600
(d) None
Ans: (b)

Sol:

Given,

If the 2018 index with base 2015 = 250 and 2015 index with base 2012 = 150

To find: The index 2018 on base 2012

Using chain base index:
MCQs`: Index numbers

Or’

Index 2018 on base 2012, 

P20 = P21 × P10/100

⇒250 × 150/100

⇒375

Therefore, the index 2018 on base 2012 will be 375.

Q14: Fisher index number is ______ of Laspeyre’s and Paasche’s Index Number.
(a) A.M
(b) G.M
(c) H.M
(d) None of these
Ans: (b)
Sol:

We know,
MCQs`: Index numbers
Therefore, Fisher index number is geometric mean of Laspeyres and Paasches Index Number

Q15: The simple index number for the current year using simple aggregative method for the following data:
Commodity | Base Year Price (P₀) | Current Year Price (P₁)
MCQs`: Index numbers(a) 200
(b) 150
(c) 240
(d) 160
Ans: (d)

Sol:

The simple Aggregative index is given by the formula,
MCQs`: Index numbers

= 800/500 × 100 = 160

Q16: The cost-of-living index number in year 2015 and 2018 were 97.5 and 115 respectively. The salary of CA Jitendra in 2015 was ₹40,000. How much additional salary was required for him in 2018 to maintain the same standard of living as in 2015?
(a) 30,000
(b) 40,000
(c) 35,000
(d) 45,000
Ans: (c)

Sol:
Let the salary of CA Jitendr in 2018 be x, then According to the question,
MCQs`: Index numbersThus,

= 97.5/115 = 195000
⇒ x =195000 × 115/97.5

⇒ x = 2,30,000 - 1,95,000 

Therefore, the additional salary required

=  2,30,000 - 1,95,000 
 = 35,000

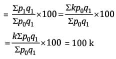
Q17: If the prices of all the goods change in the same ratio, then:
(a) Laspeyres’ index and Paasche’s index number are not equal.
(b) Laspeyres’ index and Paasche’s index number are equal.
(c) Laspeyres’ index is greater than Paasche’s index number.
(d) Laspeyres’ index is less than Paasche’s index number.
Ans: (b)

Sol:

 Given: Prices of all the goods change in the same ratio
Let P1/P0 = k 
⇒ p1 = kp0
Therefore, Laspeyre’s index 
MCQs`: Index numbers

Now, paasche’s index 
MCQs`: Index numbers
Therefore, if the prices of all the goods change in the same ratio, then Laspeyre’s index and Paasche’s index number are equal.

Q18: Weighted geometric mean of relative formula satisfies _________ test while  Factor Reversal test is satisfied by _________. 
(a) Time Reversal, Fisher’s Ideal index
(b) Time Reversal, Laspeyres’s index
(c) Factor Reversal, Paasche’s index
(d) Factor Reversal, Fisher’s Ideal index
Ans: (a)

Sol:
Weighted geometric mean satisfies Time Reversal test and Factor Reversal test is satisfied by Fisher’s Ideal index.

Q19: The gross monthly pay of an employee was ₹15,000 in the year 2020. The consumer price index number in 2023 is 155 with 2020 as the base year. If the employee is to be rightly compensated, what dearness allowance is required to be paid?
(a) ₹8,000
(b) ₹8,250
(c) ₹8,500
(d) ₹8,750
Ans: (b)

Sol:

Let the equivalent salary in 2023 be x

Therefore, 100/15,000 = 155/x
x =  15,000 x 155/100 = ₹23,250
Hence, Dearness Allowance (DA) is given by
DA = ₹23,250 – ₹15,000 = ₹8,250

Q20: From the year 2013 to 2023, the Consumer Price Index (CPI) number increased from 135 to 180. During this period, the salary of employees as per pay commission recommendations was revised from ₹23,000 to ₹29,500.
In real terms, an employee should get the following additional amount (upto the nearest whole number) to maintain the previous standard of living:
(a) ₹1,618
(b) ₹666
(c) ₹990
(d) ₹6,500
Ans: (a)

Sol:
Given,
CPI in 2013 = 135
CPI in 2023 = 180
Salary in 2013 = ₹23,000
Salary in 2023 = ₹29,500
Let required salary in 2023 to maintain standard of living = x
x = 23,000 x 180/135  = ₹30,666.66
Additional amount = ₹30,666.66 – ₹29,500
= ₹1,666.66 ≈ ₹1,168

The document MCQs' Index numbers - Quantitative Aptitude for CA Foundation is a part of the CA Foundation Course Quantitative Aptitude for CA Foundation.
All you need of CA Foundation at this link: CA Foundation
96 videos|241 docs|83 tests

FAQs on MCQs' Index numbers - Quantitative Aptitude for CA Foundation

1. What are index numbers and why are they important in economics?
Ans. Index numbers are statistical measures that represent the relative change in a variable or a group of variables over time. They are important in economics as they help in comparing economic data, such as price levels, production levels, or sales figures, across different time periods or between different regions. This comparison aids in economic analysis, policy formulation, and understanding inflation trends.
2. What are the different types of index numbers used in economic analysis?
Ans. The main types of index numbers include price index numbers, quantity index numbers, and value index numbers. Price index numbers track changes in the price level of a basket of goods over time, quantity index numbers measure changes in the quantity of goods produced or consumed, and value index numbers assess changes in the total value of goods, combining both price and quantity changes.
3. How is the Consumer Price Index (CPI) calculated, and what does it represent?
Ans. The Consumer Price Index (CPI) is calculated by taking a fixed basket of goods and services consumed by households and comparing the cost of this basket in different time periods. It represents the average change over time in the prices paid by urban consumers for a market basket of consumer goods and services, serving as a key indicator of inflation and the cost of living.
4. What is the significance of using a base year in index number calculations?
Ans. A base year in index number calculations serves as a reference point against which changes in other years are measured. By selecting a base year, index numbers can express the relative changes in values, such as prices or quantities, in a standardised manner. This allows for easier comparison and analysis of economic data over time, highlighting trends and patterns.
5. What are some limitations of index numbers in economic analysis?
Ans. Limitations of index numbers include their inability to capture changes in quality of goods and services, the subjectivity involved in selecting the base year and basket of items, and their reliance on historical data which may not always reflect current economic conditions. Additionally, index numbers may not represent the experience of all consumers, as different groups may have varying consumption patterns.
Related Searches
Sample Paper, mock tests for examination, Extra Questions, shortcuts and tricks, MCQs' Index numbers - Quantitative Aptitude for CA Foundation, Objective type Questions, study material, Previous Year Questions with Solutions, Important questions, practice quizzes, MCQs' Index numbers - Quantitative Aptitude for CA Foundation, pdf , Semester Notes, Summary, Free, MCQs, Viva Questions, past year papers, MCQs' Index numbers - Quantitative Aptitude for CA Foundation, Exam, ppt, video lectures;