Q: Try to think of different creative ways to divide a square into 4 parts of equal area.
Ans: There are infinitely many ways to divide a square into 4 parts of equal area. Here are some examples:
Q : Why do we count the number of unit squares to assign measures for area? Couldn't we have just used the perimeter of a region as a measure of its area?
Ans: We count unit squares to measure area because area depends on the surface covered, not just the boundary.
Perimeter only measures the length of the boundary, not how much region is enclosed.
Two regions can have the same perimeter but different areas, so perimeter cannot correctly represent area.
Q: If two regions have the same perimeter, can't we conclude that they have the same area? Or, if one region has a larger perimeter than another, can't we conclude that it also has a larger area?
Ans: No, we cannot conclude that.
Hence, perimeter is not indicative of area.
Q: Find two rectangles that are examples of such regions. If needed, use a grid paper (given at the end of the book) for this.
Ans: Do it Yourself!
Q: Also, give an example of two regions of other shapes where the region with the larger perimeter has the smaller area! This property should be visually clear in your example.
Ans: Consider:
The zig-zag shape has a very large boundary (perimeter) but covers very little area.
The circle has a smaller perimeter but covers a much larger area.
Thus, a region with a larger perimeter can have a smaller area, which is visually clear.
Q1: Identify the missing side lengths.
Ans: (i) After naming the figure
In rectangle ABCD,
Area of rectangle = Length × Breadth
7 × BC = 21
⇒ BC = 3 in
∴ AF = AD + DF
= 3 in + 4 in
= 7 in
In the rectangle EFAG,
EF × AF = 28 in2
⇒ EF × 7 in = 28 in2
⇒ EF = 4 in
∴ HA = HG + GA
= 3 in + 4 in
= 7 in
In rectangle HIJA,
Area = HA × AJ
⇒ 35 in2 = 7 in × AJ
⇒ AJ = 5 in
∴ AK = AJ + JK
= 5 in + 2 in
= 7 in
In rectangle KLMA,
Area = KL × LM
⇒ x in × 7 in = 14 in2
⇒ x = 2 in
Thus, the missing sidelength = 2 in
(ii) After naming the figure,
In rectangle ABGH,
Area = AB × AH
AB × 4 m = 29 m²
AB = 29/4 m or 7.25 m
Area of rectangle HGDC = Area of rectangle ABDC - Area of rectangle ABGH
= 50 m2 - 29 m2
= 21 m2
In rectangle HGDC,
CD × GD = 21 m2
⇒ 29/4m × GD = 21 m2
⇒ GD = 84/29 m or 2.9 m
In rectangle BEFG,
BG × BE = 11 m2
⇒ 4 m × M = 11 m2
⇒ BE = 11/4m or 2.75 m
Thus, AB = 29/4 m; BE = 11/4 m and GD = 84/29 m
Q2: The figure shows a path (the shaded portion) laid around a rectangular park EFGH.
(i) What measurements do you need to find the area of the path? Once you identify the lengths to be measured, assign possible values of your choice to these measurements and find the area of the path. Give a formula for the area. [Hint: There is a relation between the areas of EFGH, the path, and ABCD.]
Ans: Measurements needed:
Length of outer rectangle ABCD = A
Width of outer rectangle ABCD = B
Length of inner rectangle EFGH = a
Width of inner rectangle EFGH = b
Let A = 10, B = 8, a = 6, b = 4.
Calculation: Area of path = Area of ABCD - Area of EFGH
= 10 × 8 - 6 × 4
= 80 - 24
= 56 m2
Formula:
Area of path = (A × B) - (a × b)
(ii) If the width of the path along each side is given, can you find its area? If not, what other measurements do you need? Assign values of your choice to these measurements and find the area of the path. Give a formula for the area using these measurements. [Hint: Break the path into rectangles.]
Ans: Yes, if the width of the path is uniform along each side, we can find its area, but we also need the dimensions of either the outer or inner rectangle.
If the width of the path d = 2 m (Uniform on all sides)
Length of inner path EFGH = l = 16 m
Width of inner path EFGH = w = 11 m
Length of outer rectangle = l + 2d
= 16 + 2(2)
= 20 m
Width of outer rectangle = w + 2d
= 11 + 2(2)
= 15 m
Breaking the path into rectangles
Now there are 4 rectangles
Left rectangle = w × d
= 11 × 2
= 22 m2
Right rectangle = w × d
= 11 × 2
= 22 m2
Top rectangle = (l + 2d) d
= 20 × 2
= 40 m2
Bottom rectangle = (l + 2d) d
= 20 × 2
= 40 m2
Total area of path = 22 + 22 + 40 + 40 = 124 m2
Formula:
Area of path = 2d(l + w) + 4d
where d - width of path
l - length of inner path
w - width of inner path
(iii) Does the area of the path change when the outer rectangle is moved while keeping the inner rectangular park EFGH inside it, as shown?
Ans: No, the area of the path does not change.
Reason: The area of the path depends only on:
Area of outer rectangle ABCD.
Area of inner rectangle EFGH.
Q3: The figure shows a plot with sides 14 m and 12 m, and with a crosspath. What other measurements do you need to find the area of the crosspath? Once you identify the lengths to be measured, assign some possible values of your choice and find the area of the path. Give a formula for the area based on the measurements you choose.
Ans: Measurements needed:
Length of plot = 14 m
Width of plot = 12 m
Width of horizontal path = x1
Width of vertical path = x2
Assign values:
Let x1 = 2 m
x2 = 2 m
Now area of horizontal path = 14 × 2 = 28 m
Area of vertical path = 12 × 2 = 24 m
Area of overlapping square = 2 × 2 = 4 m2
∴ Area of cross path = 28 + 24 - 4 = 48 m2
Formula = Area of cross path = (L × w1) + (W × w2) - (w1 × w2)
Here, L = length of plot
W = Width of plot
w1 = Width of horizontal path
w2 = Width of vertical path
Q4: Find the area of the spiral tube shown in the figure. The tube has the same width throughout.
[Hint: There are different ways of finding the area. Here is one method.]

What should be the length of the straight tube if it is to have the same area as the bent tube on the left?
Ans: After naming the figure,
The area of the spiral tube = Area of the rectangle, ABEC + Area of the rectangle, DEGF + Area of the rectangle, GHIJ + Area of the rectangle, JKML + Area of the rectangle, NOPL + Area of the rectangle, PQRS + Area of the rectangle, STUV + Area of the rectangle, VWYX + Area of the rectangle, XZA1B1
= AC × AB + EG × DE + IH × JI + LJ × LM + NO × NL + PQ × PS + UT × ST + VX × VW + ZA1 × A1B1
= 20 × 1 + 18 × 1 + 20 × 1 + 13 × 1 + 15 × 1 + 8 × 1 + 10 × 1 + 3 × 1 + 5 × 1
= 20 + 18 + 20 + 13 + 15 + 8 + 10 + 3 + 5
= 112 sq. units
Thus, the area of the spiral tube is 112 sq. units.
Let the length of the straight tube be x.
The area of the bent tube on the left = Area of rectangle, BACD + Area of rectangle, BGFE
= AC × CD + BG × BE
= 5 × 1 + 4 × 1
= 9 sq. units
Area of straight tube = x × 1
Area of bent tube = 9 sq. units
According to the question, both are the same.
So x × 1 = 9
⇒ x = 9 units
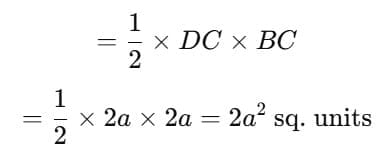
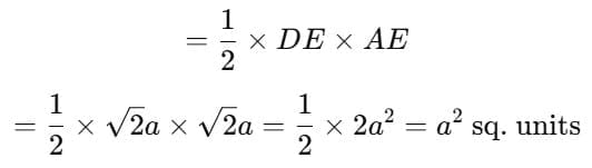
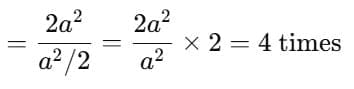
Q5: In this figure, if the sidelength of the square is doubled, what is the increase in the areas of the regions 1, 2 and 3? Give reasons.
Ans: Let 'a' be the side of the square.
Area of triangle, DCB (region 3)
In right angled DCB,
Area of triangle, AED (region 1)

Area of triangle, AEB (region 2)
If the side of the square is doubled = 2a
Area of triangle, BCD (region 3)
In right angled triangle, BCD,
By Pythagoras theorem,
Area of triangle, AED (region 1)
Area of triangle, AEB (region 2)

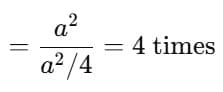
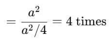
The increase in area of region 1
The increase in area of region 2
The increase in area of region 3
Thus, the increase in the areas of regions 1, 2, and 3 is 4 times.
Reason: If the sidelength of the square is doubled, then the area becomes 4 times.
Q6: Divide a square into 4 parts by drawing two perpendicular lines inside the square as shown in the figure. Rearrange the pieces to get a larger square, with a hole inside.
Ans: 1. Let us take a square of cardboard (8 cm × 8 cm).
2. Draw two perpendicular lines inside the square (not through the center), dividing it into 4 rectangular pieces.
3. Cut along these lines to get 4 pieces.
4. Rearrange these 4 pieces.
Place them at the four corners of a larger imaginary square.
The pieces should be arranged so that they form a square with a hole in the middle.
Q: In the given figure, which triangle has a greater area: ∆XDC or ∆YDC, if both the rectangles are identical?
Ans: Both triangles have equal area.
Reason:
Since both triangles have the same base (DC) and the same height (height of rectangle), they have equal areas.
Area of ∆XDC = ½ × DC × h = Area of ∆YDC
where h is the height of the rectangle.
Each triangle has exactly half the area of rectangle ABCD.
Q: In the given figure, which triangle has a greater area: ∆XDC or ∆YBC, if both the rectangles are identical?
Ans: Both triangles have equal area.
Reason:
Therefore, Area of ∆XDC = Area of ∆YBC = ½ × (Area of rectangle ABCD)
Q: Find the area of ∆XDC.
Ans: Given from the figure:
Method 1: Using rectangle area Area of rectangle ABCD = $5 \times 4$ = 20 square units
Since diagonal or any line from a vertex on one side to a point on the opposite side divides areas: Area of ∆XDC = ½ × base × height = ½ × DC × AB = ½ × $5 \times 4$ = 10 square units
Method 2: Direct formula Taking DC as base = 5 units Height from X perpendicular to DC = 4 units (height of rectangle)
Area = ½ × $5 \times 4$ = 10 square units
Q1: Find the areas of the following triangles:
Ans: (i) Area of triangle ABC = 1/2 × base × height
= 1/2 × BC × AE
= 1/2 × 4 cm × 3 cm
= 6 cm2
Thus, the area of the triangle, ABC = 6 cm2
(ii) Area of triangle DEF = 1/2 × EF × ND
= 1/2 × 5 cm × 3.2 cm
= 5 × 1.6 cm2
= 8 cm2
Thus, the area of the triangle DEF = 8 cm2
(iii) Area of triangle = 1/2 × base × height
Area of ΔNAT = 1/2 × AT × NA
= 1/2 × 3 cm × 4 cm
= 6 cm2
Thus, the area of the triangle, NAT = 6 cm2
Q2: Find the length of the altitude BY.
Ans: Area of ΔAXC = 1/2 × XC × AX
= 1/2 × (XB + 6) × 4
= 2 × (XB + 6)
= 2 × XB + 12 sq. units
Area of ΔAXB = 1/2 × XB × AX
= 1/2 × XB × 4
= 2 × XB sq. units
Area of ΔABC = 1/2 × AC × BY
= 1/2 × 8 × BY
= 4BY
∴ Area of ΔAXC = Area of ΔAXB + Area of ΔABC
2XB + 12 = 2XB + 4BY
⇒ 4BY = 12
⇒ BY = 3 units
Thus, the length of the altitude BY is 3 units.
Q3: Find the area of ∆SUB, given that it is isosceles, SE is perpendicular to UB, and the area of ∆SEB is 24 sq. units.
Ans: Given,
The area of ∆SEB = 24 sq. units
Given that ∆SUB is an isosceles triangle.
SU and SB are equal sides, and UB is the base.
∴ SE is perpendicular to UB
⇒ UE = EB
SE is the common base of ∆SUE and ∆SEB.
∴ Area of ∆SEB = 24 sq. units = Area of ∆SEU
∴ The area of triangle SUB = Area of ∆SEU + Area of ∆SEB
= 24 + 24
= 48 sq. units
Thus, the area of ∆SUB is 48 sq. units.
Q4: [Śulba-Sūtras] Give a method to transform a rectangle into a triangle of equal area.
Ans: 1. Let us take a rectangle ABCD, with length a and breadth b.
2. Now mark the midpoint E of side CD.
Draw a line perpendicular to CD passing through E.
Mark a point M on it such that ME = b.
3. Draw a triangle using base = AB (same as the rectangle's length) and join M to A and B.
Q5: [Śulba-Sūtras] Give a method to transform a triangle into a rectangle of equal area.
Ans: 1. Take a triangle ABC with base b and height h.
2. Find the midpoint M of the height.
3. Draw a line parallel to the base through M.
This line intersects the sides of the triangle.
4. Create a rectangle using.
Length = Same as the triangle's base = b
Width = Half of the triangle's height = h/2h2
Q6: ABCD, BCEF, and BFGH are identical squares.
(i) If the area of the red region is 49 sq. units, then what is the area of the blue region?
Ans: Given that ABCD, BCEF, and BFGH are identical.
The area of the red region (∆HBI + IBCD) = 49 sq. units.
Let the side of each square be a.
∴ IB = AB/2 = a/2 units
Let 'a' units be the side of the square.
(i) Area of the red region ∆HDC = 1/2 × DC × DC
(∴ HC = HB + BC = a + a = 2a)
= 1/2 × a × 2a
⇒ 1/2 × 2a2 = 49
⇒ a = 7 units
∴ The area of the black region, ∆IAD = 1/2 × AI × AD
= 1/2 × 7/2 × 7
= 49/4 sq. units
= 12.25 sq. units
Thus, the area of the black region is 12.25 square units.
(ii) In another version of this figure, if the total area enclosed by the blue and red regions is 180 sq. units, then what is the area of each square?
Ans: Given, the total area enclosed by the black and red regions = Area of ΔHDC + Area of ΔAID = 180 sq. units
Let 'a' be the side of the square.
∴ The area of each square = a2
= (12)2
= 144 sq. units
Thus, the area of each square is 144 sq. units
Q7: If M and N are the midpoints of XY and XZ, what fraction of the area of ∆XYZ is the area of ∆XMN? [Hint: Join NY]
Ans: Let O be the midpoint of YZ, then join M to O and N to O.
According to mid point theorem,
MN = 1/2 YZ, and MN is parallel to YZ.
The triangle XYZ is divided into four equal triangles.
So, Area of ∆XMN = 1/4 × Area of ∆XYZ.
Q8: Gopal needs to carry water from the river to his water tank. He starts from his house. What is the shortest path he can take from his house to the river and then to the water tank? Roughly recreate the map in your notebook and trace the shortest path.
Ans: Let P be the point on the bank of the river, then the shortest path from H to P to T is created by the point P such that ∆HPT has minimum area.
Shortest path
House (H) → P (Point on river) → Water tank
Q: How do we find the area of this pentagon?
Ans: To find the area of the given pentagon, we divide it into triangles by drawing diagonals from one vertex to the other non-adjacent vertices.
Each triangle's area is found using the formula:
Area of a triangle=21×base×height
After finding the areas of all the triangles, we add them together to get the area of the pentagon.
Thus, the area of a pentagon (or any polygon) can be found by:
Q1: Find the area of the quadrilateral ABCD given that AC = 22 cm, BM = 3 cm, DN = 3 cm, BM is perpendicular to AC, and DN is perpendicular to AC.
Ans: Area of the quadrilateral ABCD = Area of triangle CAD + Area of triangle ACB
Area of ∆ACB = 1/2 × AC × BM
= 1/2 × 22 cm × 3 cm
= 33 cm2
Area of ∆CAD = 1/2 × AC × DN
= 1/2 × 22 cm × 3 cm
= 33 cm2
∴ The area of the quadrilateral ABCD = 33 cm2 + 33 cm2 = 66 cm2
Q2: Find the area of the shaded region given that ABCD is a rectangle.
Ans: The area of the shaded region = Area of the rectangle ABCD - (Area of triangle AEF + Area of triangle EBC)
Area of the rectangle ABCD = Length × Breadth
= AB × AD
= 18 cm × 10 cm [∵ AB = AE + EB = 10 cm + 8 cm = 18 cm; AD = AF + FD = 6 cm + 4 cm = 10 cm]
= 180 cm2
Area of the triangle AEF = 1/2 × AE × AF
= 1/2 × 10 cm × 6 cm
= 30 cm2
Area of the triangle EBC = 1/2 × EB × BC
= 1/2 × 8 cm × 10 cm
= 40 cm2
∴ The area of the shaded region = 180 cm2 - (30 cm2 + 40 cm2)
= 180 cm2 - 70 cm2
= 110 cm2
Q3: What measurements would you need to find the area of a regular hexagon?
Ans: Minimum measurement needed
Side length (l) of the hexagon
Area of regular hexagon = (3√3 a2)/2
where l is the side length.
Q4: What fraction of the total area of the rectangle is the area of the blue region?
Ans: Let l be the length and b be the breadth of the rectangle ABCD.
Total area of rectangle, ABCD = DC × BC = l × b sq. units
Area of ΔAOB = 1/2 × AB × OE = 1/2 × l × x sq. units
Area of ΔDOC = 1/2 × DC × OF = 1/2 × l × y sq. units
∴ The area of the red region = Area of ΔAOB + Area of ΔDOC
= 1/2 × l × x + 1/2 × l × y
= 1/2 × l × (x + y) sq. units
= 1/2 × l × b sq. units [∵ x + y = b]
∴ Area of red region = 1/2 × Area of rectangle
Thus, the required fraction is 1/2
Q5: Give a method to obtain a quadrilateral whose area is half that of a given quadrilateral.
Ans: Let ABCD be a given quadrilateral.
Mark mid points of AB, BC, CD, and DA as P, Q, R, and S.
Join midpoints, then PQRS is the required quadrilateral with half the area of the given quadrilateral ABCD.
Q1: Observe the parallelograms in the figure below.
(i) What can we say about the areas of all these parallelograms?
Ans: (i) (a) Area of parallelogram = base × height
= 5 × 3
= 15 sq. units
(b) Area of parallelogram = 5 × 3 = 15 sq. units
(c) Area of parallelogram = 5 × 3 = 15 sq. units
(d) Area of parallelogram = 5 × 3 = 15 sq. units
(e) Area of parallelogram = 5 × 3 = 15 sq. units
(f) Area of parallelogram = 5 × 3 = 15 sq. units
(g) Area of parallelogram = 5 × 3 = 15 sq. units
All parallelograms have equal areas.
(ii) What can we say about their perimeters? Which figure appears to have the maximum perimeter, and which has the minimum perimeter?
Ans: (ii) The perimeters of these parallelograms are different even though their areas are the same.
Figure (d) has the minimum perimeter, and Figure (g) has the maximum perimeter.
Q2: Find the areas of the following parallelograms:
Ans: Area of the parallelogram = base × height
(i) Here, base = 7 cm and height = 4 cm
Area of the parallelogram = 7 cm × 4 cm = 28 cm2
(ii) Here, base = 5 cm and height = 3 cm
Area of the parallelogram = 5 cm × 3 cm = 15 cm2
(iii) Here, base = 5 cm and height = 4.8 cm
Area of the parallelogram = 5 cm × 4.8 cm = 24 cm2
(iv) Here, base = 2 cm and height = 4.4 cm
Area of the parallelogram = 2 cm × 4.4 cm = 8.8 cm2
Q3: Find QN.
Ans: In ∆PNQ, ∠PNQ = 90°
PN = 7.6 cm
PQ = 12 cm
By Pythagoras theorem
PQ2 = PN2 + NQ2
⇒ (12)2 = (7.6)2 + NQ2
⇒ QN2 = (12)2 - (7.6)2
⇒ QN2 = 144 - 57.76
⇒ QN2 = 86.24
⇒ QN = 9.28 cm
Q4: Consider a rectangle and a parallelogram of the same sidelengths: 5 cm and 4 cm. Which has the greater area? [Hint: Imagine constructing them on the same base.]
Ans: For rectangle:
l = 5, w = 4, all angles = 90°
∴ Area = l × w
= 5 × 4
= 20 cm2
For parallelogram:
Base (b) = 5 cm, one slanted side = 4 cm
Height will be less than 4 cm because the side is slanted.
Area = 5 × 4 < 20 cm2
Hence, the rectangle has a greater area than the parallelogram.
Q5: Give a method to obtain a rectangle whose area is twice that of a given triangle. What are the different methods that you can think of?
Ans: Given: Triangle with area A
Required: Rectangle with area = A
Method 1: If the triangle has base b and height h
Area of triangle = 1/2 × b × h = A
To get a rectangle with an area of 2A.
Take length = b, width = h
Area of a rectangle = b × h
= 2 × (1/2 × b × h)
= 2A
Steps:
1. Measure the base and height of the given triangle.
2. Construct a rectangle with these measurements as length and width.
Method 2: Scaling method:
1. Take the rectangle.
2. Create a rectangle with base = (base of triangle) and height = height of triangle.
3. This rectangle automatically has twice the area of the rectangle.
Q6: [Śulba-Sūtras] Give a method to obtain a rectangle of the same area as a given triangle.
Ans: Given: A triangle with base b and height h.
Required: Rectangle with the same area
Area of triangle = 1/2 b h
To get a rectangle with the same area
Rectangle length = b/2(half the triangle's base)
Rectangle width = h (same as the triangle's height)
Area = b/2 × h = 1/2 × b × h
Q7: [Śulba-Sūtras] An isosceles triangle can be converted into a rectangle by dissection in a simpler way. Can you find out how to do it?
[Hint: Show that triangles ADB and AADC can be made into halves of a rectangle. Figure out how they should be assembled to get a rectangle. Use cut-outs if necessary.]
Ans: Given: Isosceles triangle ABC, where AB = AC, and AD is the altitude from A to BC.
Method: Since the triangle is isosceles:
AD is perpendicular to BC. D is the midpoint of BC (property of an isosceles triangle).
AD bisects the triangle into two congruent right triangles: ∆ADB and ∆ADC.
Dissection Process:
Step 1: The altitude AD divides the isosceles triangle into two congruent right triangles ∆ADB and ∆ADC.
Step 2: Each of these right triangles can be made into half of a rectangle.
Step 3: Assembly:
Take triangle ∆ADB
Take triangle ∆ADC
Rotate one triangle 180°
Arrange them so that:
The two equal sides (AB and AC) form opposite sides of a rectangle.
The altitude AD appears twice, forming the other pair of opposite sides.
Step 4: The resulting figure is a rectangle with:
Length = BC (base of the isosceles triangle)
Width = AD/2 (half the altitude) or alternatively.
Length = AB (= AC, the equal sides)
Width related to the base.
Q8: [Śulba-Sūtras] Give a method to convert a rectangle into an isosceles triangle by dissection.
Ans: This is the reverse of Question 7.
Method:
Given: Rectangle PQRS with length l and width w.
Required: Isosceles triangle with the same area
Dissection Steps:
Step 1: Take a rectangle PQRS with PQ = l and PS = w.
Step 2: Mark the midpoint M of side PQ.
Step 3: From M, draw lines to the bottom corners R and S.
Step 4: Cut the rectangle into three pieces:
Triangle PMS (left); Triangle QMR (right); Central region (if any)
Step 5: Rearrange:
Flip the triangle PMS and attach it along MS to form one half of the triangle.
Flip triangle QMR and attach it along MR to form the other half.
These create an isosceles triangle.
Q9: Which has greater area - an equilateral triangle or a square of the same sidelength as the triangle? Which has greater area - two identical equilateral triangles together or a square of the same sidelength as the triangle? Give reasons.
Ans: Area of equilateral triangle = (√3 / 4) a2
Area of square = a2
⇒ (√3 / 4) a2 < a2
So, the area of a square is greater than the area of an equilateral triangle of the same side length.
Area of two identical equilateral triangles = (√3 / 4) a2 + (√3 / 4) a2
= (2√3 / 4) a2
= (√3 / 2) a2
Area of square of side length a = a2
Clearly, (√3 / 2) a2 < a2
So, the area of a square is greater than the area of two identical equilateral triangles.
Q1: Find the area of a rhombus whose diagonals are 20 cm and 15 cm.
Ans: Given, first diagonal = 20 cm
second diagonal = 15 cm
The area of a rhombus = 1/2 × (Product of diagonals)
= 1/2 × First diagonal × second diagonal
= 1/2 × 20 cm × 15 cm
= 150 cm2
Thus, the area of a rhombus is 150 cm2
Q2: Give a method to convert a rectangle into a rhombus of equal area using dissection.
Ans: This is the reverse of the rhombus to rectangle dissection.
Method:
Given: Rectangle PQRS with length l and width W
Required: Rhombus with the same area = l × W
Dissection Process:
Step 1: The rhombus will have diagonals d1 and d2 such that: 1/2 × d1 × d2 = l × w
So, d1 × d2 = 2lw.
Step 2: Choose convenient diagonal lengths:
Let d1 = 2l (twice the rectangle length)
Then d2 = w (same as rectangle width)
Check: 1/2 × 2l × w = lw
Or
Let d1 = 2w (twice the rectangle width)
Then d2 = l (same as rectangle length)
Step 3: Dissection process (reverse of textbook method):
Divide the rectangle into two halves
Mark the center point O.
Cut and rotate pieces to form two isosceles triangles.
Arrange these triangles to share a common diagonal.
This creates a rhombus.
Q3: Find the areas of the following figures:
Ans: The area of the trapezium = 1/2 × (Sum of parallel sides) × (Distance between them) = 1/2 × (a + b) × h
(i) Here, a = 10 ft, b = 7 ft and h = 16 ft
Area of trapezium = 1/2 × (10 + 7) × 16
= 17 × 8
= 136 ft2
(ii) Here, a = 36 m, b = 24 m and h = 14 m
Area of trapezium = 1/2 × (36 + 24) × 14
= 60 × 7
= 420 m2
(iii) Here, a = 14 in, b = 6 in and h = 10 in
Area of trapezium = 1/2 × (14 + 6) × 10
= 20 × 5
= 100 in2
(iv) Here, a = 18 ft, b = 12 ft and h = 8 ft
Area of trapezium = 1/2 × (18 + 12) × 8
= 30 × 4
= 120 ft2
Q4: [Śulba-Sūtras] Give a method to convert an isosceles trapezium to a rectangle using dissection.
Ans: An isosceles trapezium has special properties that make dissection simpler.
Properties of Isosceles Trapezium ABCD:
AB || CD (parallel sides)
AD = BC (non-parallel sides are equal)
∠A = ∠B and ∠D = ∠C (base angles are equal)
Dissection Method:
Step 1: Draw perpendiculars from C and D to AB, meeting at points P and Q, respectively.
This creates rectangle PQDC in the middle.
Two congruent right triangles: ΔAPD and ΔBQC.
Step 2: Since the trapezium is isosceles:
ΔAPD ≅ ΔBQC (congruent triangles)
AP = BQ
Step 3: Rearrangement:
Cut triangle ΔAPD
Rotate it and attach it to the right side (next to ΔBQC)
The two triangles together form a rectangle with a width = height of the trapezium
Step 4: Combine: The central rectangle PQDC
The rectangle formed from the two triangles.
These can be joined to form one large rectangle.
Resulting Rectangle:
Length = CD + AP
= CD + (AB - CD)/2
= (AB + CD)/2
Width = h (height of trapezium)
Area = (AB + CD)/2 × h = 12h(AB + CD)
This matches the trapezium area formula!
Q5: Here is one of the ways to convert trapezium ABCD into a rectangle EFGH of equal area. Given the trapezium ABCD, how do we find the vertices of the rectangle EFGH?
[Hint: If AАНI = ADGI and ABEJ =ACFJ, then the trapezium and rectangle have equal areas.]
Ans: Given: Trapezium ABCD with AB || CD
Required: Find the positions of the vertices E, F, G, and H to form a rectangle EFGH with equal area
Using the Hint: If ΔAHI ≅ ΔDGI and ΔBEJ ≅ ΔCFJ, then areas are equal.
Method:
Step 1: The rectangle EFGH should have:
EF as one side (top side)
GH is the opposite parallel side (bottom side)
EH and FG are the other pair of sides.
Step 2: Position the rectangle such that:
Points I and J are strategically chosen on the trapezium.
ΔAHI (part outside rectangle on left) is cut and moved to fill ΔDGI.
ΔBEJ (part outside rectangle on right) is cut and moved to fill ΔCFJ.
Step 3: For congruency:
Mark I on side AD
Mark J on side BC
Choose positions such that:
HI = GI (making ΔAHI ≅ ΔDGI possible)
EJ = FJ (making ΔBEJ ≅ ΔCFJ possible)
Step 4: The height of the rectangle = h (height of the trapezium)
Step 5: The length of rectangle = (a + b)/2
where a and b are parallel sides
This ensures: Area of rectangle = h × (a + b)/2 = Area of trapezium
Practical construction:
Draw the trapezium ABCD
Calculate required rectangle length = (AB + CD)/2
Mark points H and E on AB such that the central portion has this length.
Draw perpendiculars to get rectangle EFGH.
Verify that the triangular pieces outside match those inside.
This construction beautifully demonstrates area conservation through dissection!
Q6: Using the idea of converting a trapezium into a rectangle of equal area, and vice versa, construct a trapezium of area 144 cm².
Ans: Area of the trapezium = 1/2 × (10 + 8) × 16 = 144 cm2
Area of square = 16 × 9 = 144 cm2

Q7: A regular hexagon is divided into a trapezium, an equilateral triangle, and a rhombus, as shown. Find the ratio of their areas.
Ans: Here total area of hexagon = 6 × (√3 / 4) a2 = (3√3 / 2) a2
Equilateral triangle:
Area = (√3 / 4) a2
Rhombus:
Area = 2 × (√3 / 4) a2 = (√3 / 2) a2
Trapezium:
Remaining Area = Total area - Triangle area - Rhombus area
= (3√3 / 4) a2 - (√3 / 4) a2 - (√3 / 2) a2
= (3√3 / 4) a2
Ratio of areas = Triangle : Rhombus : Trapezium
= (√3 / 4) a2 : (√3 / 2) a2 : (3√3 / 4) a2
= 1 : 2 : 3
Q8: ZYXW is a trapezium with ZY ∥ WX. A is the midpoint of XY. Show that the area of the trapezium ZYXW is equal to the area of ∆ZWB.
Ans: ∠ZAY = ∠BAX (Vertically opposite angles)
AY = AX (∵ A is mid point of XY)
∠YZB = ∠XBZ (∵ ZY || XB alternate interior angles are equal)
∠ZYA = ∠BXA (∵ they are alternate interior angles)
So ∆ZAY ≅ ∆BAX
By the AAA congruence.
So Area of ∆ZAY = Area of ∆BAY
Thus, Area of trapezium ZYXW = Area of triangle ZWB
Q: What do you think is the area of an A4 sheet? Its sidelengths are 21 cm and 29.7 cm. Now find its area.
Ans: We know that the size of an A4 sheet is rectangular.
∴ The area of an A4 sheet = Length × Breadth
= 21 cm × 29.7 cm
= 623.7 cm2
Q: Express the following lengths in centimeters:
(i) 5 in
(ii) 7.4 in
We know that,
1 in = 2.54 cm
(i) 5 in = 5 × 2.54 cm = 12.7 cm
(ii) 7.4 in = 7.4 × 2.54 cm = 18.796 cm
Q: Express the following lengths in inches:
(i) 5.08 cm
(ii) 11.43 cm
Ans: We know that,
2.54 cm = 1 in
∴ 1 cm = 1/2.54 in
(i) 5.08 cm = 5.08 × 1/2.54 in = 2 in
(ii) 11.43 cm = 11.43 × 1/2.54 in = 4.5 in
Q: How many in² is 1 ft²?
Ans: We know that,
1 ft = 12 in
∴ 1 ft2 = (12 in)2
= 122 in2
= 144 in2
Q: How many m² is a km²?
Ans: We know that,
1 km = 1000 m
1 km2 = 1000 m × 1000 m
= 1000000 m2
= 106 m2
Thus, 1 km2 = 1000000 m2
Q: How many times is your village/town/city bigger than your school?
Ans: Do it yourself
Q: Find the city with the largest area in (i) India, and (ii) the world.
Ans: Do it Yourself.
Q: Find the city with the smallest area in (i) India, and (ii) the world.
Ans: (i) India:
(ii) World:
| 1. What is the formula for calculating the area of a rectangle? | ![]() |
| 2. How do you find the area of a triangle? | ![]() |
| 3. What is the significance of units in measuring area? | ![]() |
| 4. How can you convert the area from square metres to square centimetres? | ![]() |
| 5. What are some practical applications of calculating area? | ![]() |