Assume f(x₁) = f(x₂):
ax₁ + b = ax₂ + b
Subtract b:
ax₁ = ax₂
Divide by a:
x₁ = x₂
Hence, f is injective.
Q.1. For real x, let f(x) = x³ + 5x + 1. Then : (1 Mark)
(A) f is one-one but not onto on R
(B) f is onto on R but not one-one
(C) f is one-one and onto on R
(D) f is neither one-one nor onto on R
Ans: (C) f is one-one and onto on \( \mathbb{R} \)
Q.2. If f: ℕ → W is defined as (1 Mark)

then f is:
(A) injective only
(B) surjective only
(C) a bijection
(D) neither surjective nor injective
Ans: (B) surjective only
Q3: Assertion (A): Let A = {x ∈ ℝ : -1 x ≤ 1}. If f: A → A be defined as f(x) = x2, then f is not an onto function. ( 1 mark)
Reason (R): If y = -1 ∈ A, then x = ±√(-1) ∉ A.
(A) Both Assertion (A) and Reason (R) are true and the Reason (R) is the correct explanation of the Assertion (A).
(B) Both Assertion (A) and Reason (R) are true, but Reason (R) is not the correct explanation of the Assertion (A).
(C) Assertion (A) is true, but Reason (R) is false.
(D) Assertion (A) is false, but Reason (R) is true.
Ans: (A) Both Assertion (A) and Reason (R) are true, and Reason (R) is the correct explanation of the Assertion (A).
Q.4. If R be a relation defined as aRb iff |a - b| 0, a, b ∈ R then R is: (1 Mark)
(A) reflexive
(B) symmetric
(C) transitive
(D) symmetric and transitive
Ans: (B) symmetric
Q.5. Which of the following functions from Z to Z is both one-one and onto? (1 Mark)
(A) f(x) = 2x - 1
(B) f(x) = 3x2 + 5
(C) f(x) = x + 5
(D) f(x) = 5x3
Ans: (c) f(x) = x + 5
Q.6. Assertion (A): Let f(x) = ex and g(x) = log x. Then (f + g)(x) = ex + log x where domain of (f + g) is R. (1 Mark)
Reason (R): Dom(f + g) = Dom(f) ∩ Dom(g).
(A) Both Assertion (A) and Reason (R) are true and the Reason (R) is the correct explanation of the Assertion (A).
(B) Both Assertion (A) and Reason (R) are true, but Reason (R) is not the correct explanation of the Assertion (A).
(C) Assertion (A) is true, but Reason (R) is false.
(D) Assertion (A) is false, but Reason (R) is true. (1 mark)
Ans: (D) Assertion (A) is false, but Reason (R) is true.
Q. 7. Assertion (A): Let Z be the set of integers. A function f : Z → Z defined as f(x) = 3x - 5, ∀x ∈ Z is a bijective.
Reason (R): A function is a bijective if it is both surjective and injective.
(A) Both Assertion (A) and Reason (R) are true and the Reason (R) is the correct explanation of the Assertion (A).
(B) Both Assertion (A) and Reason (R) are true, but Reason (R) is not the correct explanation of the Assertion (A).
(C) Assertion (A) is true, but Reason (R) is false.
(D) Assertion (A) is false, but Reason (R) is true. (1 mark)
Ans: (D) Assertion (A) is false, but Reason (R) is true.
Q.8. Let f : A → B be defined by \( f(x) = \frac{(x - 2)} {(x - 3)}\), where A = R - {3} and B = R - {1}. Discuss the bijectivity of the function. (2 Marks)
Ans: Let \( x_1,x_2 \in A \) s.t. \( f(x_1)=f(x_2) \)
\( \Rightarrow \frac{x_1-2}{x_1-3} = \frac{x_2-2}{x_2-3} \Rightarrow x_1 = x_2 \).
For each \( y \in B \), \( x = \frac{3y-2}{y-1} \in \mathbb{R} \setminus \{3\} \).
Hence one-one and onto → bijective.
Q.9. Let R be a relation defined over N, where N is set of natural numbers, defined as "mRn if and only if m is a multiple of n, m, n ∈ N." Find whether R is reflexive, symmetric and transitive or not. (3 marks)
Ans:
Let \( x \in \mathbb{N} \). Then we know that x is a multiple of itself. \( \Rightarrow xRx \)
Hence, \( R \) is reflexive.
We have \( 2,8 \in \mathbb{N} \) such that 8 is a multiple of 2 \( \Rightarrow 8R2 \)
But, 2 is not a multiple of 8. Hence, 2 is not \( R \)-related to 8.
Therefore, \( R \) is not symmetric.Let \( x, y, z \in \mathbb{N} \) such that \( xRy,\ yRz \)
Then \( x = my,\ y = nz \) for some \( m,n \in \mathbb{N} \)
\( \Rightarrow x = mnz = pz \), where \( p = mn \in \mathbb{N} \). Hence, \( xRz \).
Therefore, R is transitive.
Q.10. Prove that f : N → N defined as f(x) = ax + b (a, b ∈ N) is one-one but not onto. (3 marks)
Ans: Let \( x_1, x_2 \in \mathbb{N} \) (Domain) such that \( f(x_1) = f(x_2) \)
Assume f(x₁) = f(x₂):
ax₁ + b = ax₂ + b
Subtract b:
ax₁ = ax₂
Divide by a:
x₁ = x₂
Hence, f is injective.
Therefore, f is one-one.
Let y = 1
For f(x) = 1:
ax + b = 1
Rearranging:
ax = 1 - b
If b ≥ 2, then 1 - b ≤ -1, which is not a natural number.
Therefore, there is no natural number x such that f(x) = 1.
Therefore, f is not onto.
Q.11. Let R be a relation on set of real numbers R defined as {(x, y) : x - y + √3 is an irrational number, x, y ∈ R} Verify R for reflexivity, symmetry and transitivity. (3 mark)
Ans: Let \( x \in \mathbb{R} \). Then \( x - x + \sqrt{3} = \sqrt{3} \) (irrational) \( \Rightarrow (x,x) \in R \).
Hence, \( R \) is reflexive.
We have \( \sqrt{3}, 2 \in \mathbb{R} \) such that \( \sqrt{3} - 2 + \sqrt{3} = 2(\sqrt{3}-1) \) (irrational) \( \Rightarrow (\sqrt{3},2) \in R \).
But \( 2 - \sqrt{3} + \sqrt{3} = 2 \) (rational) \( \Rightarrow (2,\sqrt{3}) \notin R \).
Therefore, \( R \) is not symmetric.
Let \( -\sqrt{3},\ \sqrt{3},\ 2 \in \mathbb{R} \) such that \( (-\sqrt{3},\sqrt{3}),\ (\sqrt{3},2) \in R \).
But \( (-\sqrt{3},2) \notin R \).
Therefore, \( R \) is not transitive.
Q.12. (a) If f: ℝ+ → ℝ is defined as f(x) = loga x (a 0 and a ≠ 1), prove that f is a bijection. (ℝ+ is a set of all positive real numbers.) (3 Marks)
Ans:
$f:\mathbb{R}^+ \to \mathbb{R}$ given by $f(x)=\log_a x,\ a>0$
Injectivity:
$f(x)=f(y)$
$\log_a x=\log_a y$
$\Rightarrow x=y$
So, $f$ is one-one.
Surjectivity:
$f(x)=y$
$\log_a x=y$
$\Rightarrow x=a^y \in \mathbb{R}^+$
So, for every element in the co-domain, there exists some pre-image in the domain.
$\Rightarrow f$ is onto.
Since $f$ is one-one and onto, it is a bijection.
OR
(b) Let A = {1, 2, 3} and B = {4, 5, 6}. A relation R from A to B is defined as R = {(x, y) : x + y = 6, x ∈ A, y ∈ B}. (3 Marks)
(i) Write all elements of R.
(ii) Is R a function? Justify.
(iii) Determine domain and range of R.
Ans:
(i) \( R = \{(1,5),\ (2,4)\} \)
(ii) \( R \) is not a function as \( 3 \in A \) does not have an image in co-domain.
(iii) Domain of \( R = \{1,2\} \), Range of \( R = \{4,5\} \)
Q.13. (a) A student wants to pair up natural numbers in such a way that they satisfy the equation 2x + y = 41, x, y ∈ N. Find the domain and range of the relation. Check if the relation thus formed is reflexive, symmetric and transitive. Hence, state whether it is an equivalence relation or not. (3 Marks)
Ans:
Given function: R = {(x, y): x ∈ N, y ∈ N, 2x + y = 41}.
So, the domain = {1, 2, 3, ....., 20} ......[Since, y ∈ N ]
Finding the range, we have
R = {(1, 39), (2, 37), (3, 35), ...., (19, 3), (20, 1)}
Thus, Range of the function = {1, 3, 5, ....., 39}
R is not reflexive as (2, 2) ∉ R as 2 × 2 + 2 ≠ 41
Also, R is not symmetric as (1, 39) ∈ R but (39, 1) ∉ R
Further R is not transitive as (11, 19) ∉ R, (19, 3) ∉ R; but (11, 3) ∉ R.
Thus, R is neither reflexive nor symmetric and nor transitive.
OR
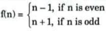
(b) Show that the function f : N → N, where N is a set of natural numbers, given by
is a bijection. (3 Marks)
Ans:
Injective test:
Case I: If n is odd,
Let x, y ∈ N such that f (x)=f (y)
As, f (x)=f (y)
⇒ x + 1= y + 1
⇒ x = y
Case II: If n is even,
Let x, y ∈ N such that f (x)=f (y)
As, f (x)=f (y)
⇒ x - 1 = y - 1
⇒ x = y
So, f is injective.Surjection test:
Case I: If n is odd,
As, for every n ∈ N, there exists y = n - 1 in N such that
f (y) = f (n-1)=n -1+1= n
Case II: If n is even,
As, for every n ∈ N, there exists y = n + 1 in N such that f (y)=f (n+1)=n +1-1 = n
So, f is surjective.
So, f is a bijection.
Q.14. (a) Show that the function f : R → R defined by f(x) = 4x3 - 5, ∀ x ∈ R is one-one and onto. (3 Marks)
Ans:
Let \( x_1, x_2 \in \mathbb{R} \) such that \( f(x_1) = f(x_2) \).
\(4x_1^3 - 5 = 4x_2^3 - 5\)
\(\Rightarrow 4x_1^3 = 4x_2^3\)
\(\Rightarrow x_1^3 = x_2^3\)
\(\Rightarrow x_1 = x_2\)
Hence, \( f \) is one-one.
Let \( y \in \mathbb{R} \). Suppose \( y = f(x) \).
\(y = 4x^3 - 5\)
\(\Rightarrow y + 5 = 4x^3\)
\(\Rightarrow x^3 = \frac{y+5}{4}\)
\(\Rightarrow x = \left( \frac{y+5}{4} \right)^{1/3}\)
Since for every \( y \in \mathbb{R} \), there exists
\( x = \left( \frac{y+5}{4} \right)^{1/3} \in \mathbb{R} \) such that \( f(x) = y \),
Therefore, \( f \) is onto.
OR
(b) Let R be a relation defined on a set N of natural numbers such that R = {(x, y) : xy is a square of a natural number, x, y ∈ N}. Determine if the relation R is an equivalence relation. (3 Marks)
Ans:
$\textbf{1. Reflexivity: } \text{A relation } R \text{ is reflexive if for every } x \in \mathbb{N}, (x,x) \in R.$
$\text{This means we need to check if } x^2 \text{ is a square of a natural number.}$
$\text{Since } x^2 \text{ is always a square (specifically, the square of } x), R \text{ is reflexive.}$
$\textbf{2. Symmetry: } \text{A relation } R \text{ is symmetric if for every } (x,y) \in R, (y,x) \in R.$
$\text{This means if } xy \text{ is a square, we check if } yx \text{ is also a square.}$
$\text{Since multiplication is commutative, } xy = yx, \text{ hence if } xy \text{ is a square, then } yx \text{ is also a square.}$
$\text{Therefore, } R \text{ is symmetric.}$
$\textbf{3. Transitivity: } \text{A relation } R \text{ is transitive if for every } (x,y) \in R \text{ and } (y,z) \in R, \text{ it follows that } (x,z) \in R.$
$\text{This means if } xy \text{ and } yz \text{ are squares, we check whether } xz \text{ is a square.}$
$\text{Let } xy = k^2 \text{ and } yz = m^2 \text{ for some } k,m \in \mathbb{N}. $
$\text{Then } x = \dfrac{k^2}{y}, \quad z = \dfrac{m^2}{y}. $
$\text{Thus } xz = \dfrac{k^2 m^2}{y^2}. $
$\text{For } xz \text{ to be a square, } y \text{ must divide } k^2 m^2, \text{ which is not guaranteed for all } x,y,z.$
$\text{Therefore, } R \text{ is not transitive.}$
Q.15. A school is organizing a debate competition with participants as speakers S = {S₁, S₂, S₃, S₄} and these are judged by judges J = {J₁, J₂, J₃}. Each speaker can be assigned one judge. Let R be a relation from set S to J defined as R = {(x, y) : speaker x is judged by judge y, x ∈ S, y ∈ J}. (4 mark)
Based on the above, answer the following :
(i) How many relations can be there from S to J ?
(ii) A student identifies a function from S to J as f = {(S₁, J₁), (S₂, J₂), (S₃, J₂), (S₄, J₃)} Check if it is bijective.
(iii) (a) How many one-one functions can be there from set S to set J ?
Ans:
(i) The number of relations \( = 2^{4 \times 3} = 2^{12} = 4096 \).
(ii) Since \( S_2 \) and \( S_3 \) have been assigned the same judge \( J_2 \), the function is not one-one.
Hence, it is not bijective.
(iii)(a) There cannot exist any one-one function from \( S \) to \( J \) as \( n(S) n(J) \).
Hence, the number of one-one functions from \( S \) to \( J \) is 0.
OR
(b) Another student considers a relation R₁ = {(S₁, S₂), (S₂, S₄)} in set S. Write minimum ordered pairs to be included in R₁ so that R₁ is reflexive but not symmetric.
Ans: To make \( R_1 \) reflexive and not symmetric we need to add the following ordered pairs:
\( (S_1,S_1),\ (S_2,S_2),\ (S_3,S_3),\ (S_4,S_4) \)
Q. 16. A class-room teacher is keen to assess the learning of her students the concept of "relations" taught to them. She writes the following five relations each defined on the set A = {1, 2, 3} : (4 marks)
R1 = {(2, 3), (3, 2)}
R2 = {(1, 2), (1, 3), (3, 2)}
R3 = {(1, 2), (2, 1), (1, 1)}
R4 = {(1, 1), (1, 2), (3, 3), (2, 2)}
R5 = {(1, 1), (1, 2), (3, 3), (2, 2), (2, 1), (2, 3), (3, 2)}
The students are asked to answer the following questions about the above relations :
(i) Identify the relation which is reflexive, transitive but not symmetric.
(ii) Identify the relation which is reflexive and symmetric but not transitive.
(iii) (a) Identify the relations which are symmetric but neither reflexive nor transitive.
Ans:
(i) Identify the relation which is reflexive, transitive but not symmetric.
The answer is \( R_4 \).
Reflexive: It contains \( (1,1), (2,2), (3,3) \).
ransitive: The only non-identity pair is \( (1,2) \). Since there are no pairs starting with 2 other than \( (2,2) \), transitivity holds.
Not Symmetric: \( (1,2) \in R_4 \) but \( (2,1) \notin R_4 \).(ii) Identify the relation which is reflexive and symmetric but not transitive.
The answer is \( R_5 \).
Reflexive: It contains \( (1,1), (2,2), (3,3) \).
Symmetric: For every \( (a,b) \), the reverse \( (b,a) \) is present (e.g., \( (1,2) \) and \( (2,1) \)).
Not Transitive: It contains \( (1,2) \) and \( (2,3) \), but it does not contain \( (1,3) \).(iii) (a) Identify the relation which is symmetric but neither reflexive nor transitive.
The answer is \( R_1 \).
Symmetric: \( (2,3) \) and \( (3,2) \) are present.
Not Reflexive: \( (1,1), (2,2), (3,3) \) are missing.
Not Transitive:\( (2,3) \) and \( (3,2) \) are in \( R_1 \), but \( (2,2) \) is not.
Note: \( R_3 \) is also symmetric and not reflexive, but it is often excluded here because it contains \( (1,1) \), though it still fails the full reflexive and transitive tests for the same reasons as \( R_1 \). However, \( R_1 \) is the cleanest example of this specific constraint.
OR
(b) What pairs should be added to the relation R2 to make it an equivalence relation ?
Ans: Required pairs to be added to make the relation \( R_2 \) as an equivalence relation are:
\( (1,1),\ (2,2),\ (3,3),\ (2,1),\ (3,1) \) and \( (2,3) \)
Q.17. Let A be the set of 30 students of class XII in a school. Let f: A → ℕ, ℕ is a set of natural numbers such that function f(x) = Roll Number of student x. (4 Marks)
On the basis of the given information, answer the following :
(i) Is f a bijective function?
(ii) Give reasons to support your answer to (i).
(iii) (a) Let R be a relation defined by the teacher to plan the seating arrangement of students in pairs, where R = {(x, y) : x, y are Roll Numbers of students such that y = 3x}. List the elements of R. Is the relation R reflexive, symmetric and transitive? Justify your answer.
Ans:
(i) No, \( f \) is not a bijective function.
(ii) Range \( = \{1,2,3,\dots,30\} \), codomain \( = \mathbb{N} \).
Since Range \( \neq \) codomain \( \Rightarrow f \) is not onto and hence not bijective.(iii)(a)
\( R = \{(1,3),\ (2,6),\ (3,9),\ (4,12),\ (5,15),\ (6,18),\ (7,21),\ (8,24),\ (9,27),\ (10,30)\} \)
(1,1) ∉ R ⇒ not reflexive.
(1,3) ∈ R but (3,1) ∉ R ⇒ not symmetric.
(1,3),(3,9) ∈ R but (1,9) ∉ R ⇒ not transitive.
OR
(b) Let R be a relation defined by R = {(x, y) : x, y are Roll Numbers of students such that y = x3}. List the elements of R. Is R a function? Justify your answer.
Ans:
\( R = \{(1,1),\ (2,8),\ (3,27)\} \)
Elements 4,5,...,30 do not have an image. Hence not a function.
Q.18. Rajesh, a student of Class XII, visited an exhibition with his family. There he saw a huge swing and found that it traced the path of a parabola y = x2. The following questions came to his mind. Answer the questions: (4 Marks)
(i) Let f : R → R be a function defined as f(x) = x2. Find whether f is one-one function.
Ans:
(i) f: ℝ → ℝ\( f(x) = x^2 \)
For \( x_1 = -1 \) and \( x_2 = 1 \), we have \( f(x_1) = f(x_2) = 1 \).
Hence, \( f \) is not a one-one function.
(ii) Let f : R → R be defined as f(x) = x2. Find whether f is an onto function.
Ans:
(ii) f: ℝ → ℝ
\( f(x) = x^2 \)
For \( y = -4 \in \mathbb{R} \) (codomain), there does not exist any \( x \in \mathbb{R} \) such that \( f(x) = -4 \).
So, \( f \) is not onto.
(iii) (a) Let f : N → N be defined as f(x) = x2. Find whether f is one-one function. Also, find if it is an onto function.
Ans: f: ℕ → ℕ
\( f(x) = x^2 \)
Let \( f(x_1) = f(x_2) \) for some \( x_1, x_2 \in \mathbb{N} \).
\( x_1^2 = x_2^2 \Rightarrow x_1 = x_2 \).
Hence, \( f \) is one-one.
For \( y = 5 \in \mathbb{N} \) (codomain), there does not exist any x (domain) such that \( f(x) = 5 \).
So, f is not onto.
OR
(iii) (b) Let f : N → {1, 4, 9, 16, ...} defined as f(x) = x2, find where f is one-one function. Also, find if it is an onto function.
Ans:
\( f: \mathbb{N} \rightarrow \{1, 4, 9, 16, \ldots\} \)
\( f(x) = x^2 \)
Let \( f(x_1) = f(x_2) \).
\( \Rightarrow x_1^2 = x_2^2 \)
\( \Rightarrow x_1 = x_2 \)
Hence, \( f \) is one-one.
\( \forall y \subset \{1, 4, 9, 16, \ldots\} \), there exists \( x \in \mathbb{N} \) such that \( f(x) = y \).
\(\therefore f \) is onto.
| 1. What are the key concepts covered in Chapter 1 of Class 12 Mathematics? | ![]() |
| 2. How are relations defined in mathematics? | ![]() |
| 3. What is the difference between one-to-one and onto functions? | ![]() |
| 4. How do you find the inverse of a function? | ![]() |
| 5. What are the graphical representations of functions? | ![]() |