CAT Exam  >  CAT Notes  >   Mock Test Series 2026  >  CAT 2025 Slot 1: Past Year Question Paper

CAT 2025 Slot 1: Past Year Question Paper

VARC

Q1: Five jumbled sentences (labelled 1, 2, 3, 4, and 5), related to a topic, are given below. Four of them can be put together to form a coherent paragraph. Identify the odd sentence out and key in the number of that sentence as your answer. 

  1. But I believe that a type of freedom we can call freedom over death - that is, a freedom in which we shape the timing and circumstances of how we die - should be central to this conversation. 
  2. Legalising assisted dying is but a further step in realising this freedom over death. 
  3. Many people endorse, through their opinions or their choices, our freedom over death, encompassing a right to medical assistance in hastening our deaths. 
  4. Freedom is a notoriously complex and contested philosophical notion, and I won't pretend to settle any of the big controversies it raises.
  5. Developments both technological and sociocultural have afforded us far greater freedom over death than we had in the past, and while we are still adapting ourselves to that freedom, we now appreciate the moral importance of this freedom. 

Ans: 4

Sol: All five sentences revolve around a philosophical discussion of freedom over death: what it means, why it matters, and how it shapes debates like assisted dying. Most of the sentences develop an argument about freedom as a moral and philosophical idea, not just popular opinion.

Sentences 5, 1, 2, and 3 follow a clear progression. Sentence 5 opens the discussion by noting that freedom is philosophically complex and sets a thoughtful tone. Sentence 1 then focuses on a specific kind of freedom, freedom over death, and places it in a historical and moral context. Sentence 2 builds on this by arguing that this freedom should be central to the broader debate. Sentence 3 then presents legalised assisted dying as a policy or ethical step toward realising this freedom.

Sentence 4 interrupts this flow. Rather than adding to the author's conceptual argument, it makes a descriptive claim about what "many people endorse" in practice. This reference to public opinion is not needed or connected to the philosophical progression of the other sentences. As a result, it feels off-topic instead of supporting the main argument. So, sentence 4 is the one that does not fit.

Q2 to Q5: 

The passage below is accompanied by four questions. Based on the passage, choose the best answer for each question. 

Often the well intentioned music lover or the traditionally-minded professional composer asks two basic questions when faced with the electronic music phenomena: (1) . . . is this type of artistic creation music at all? and, (2) given that the product is accepted as music of a new type or order, is not such music "inhuman"? . . . As Lejaren Hiller points out in his book Experimental Music (coauthor Leonard M. Isaacson), two questions which often arise when music is discussed are: (a) the substance of musical communication and its symbolic and semantic significance, if any, and (b) the particular processes, both mental and technical, which are involved in creating and responding to musical composition. The ever-present popular concept of music as a direct, open, emotional expression and as a subjective form of communication from the composer, is, of course still that of the nineteenth century, when composers themselves spoke of music in those terms . . . But since the third decade of our century many composers have preferred more objective definitions of music, epitomized in Stravinsky's description of it as "a form of speculation in terms of sound and time". An acceptance of this more characteristic twentieth-century view of the art of musical composition will of course immediately bring the layman closer to an understanding of, and sympathetic response to, electronic music, even if the forms, sounds and approaches it uses will still be of a foreign nature to him.

A communication problem however will still remain. The principal barrier that electronic music presents at large, in relation to the communication process, is that composers in this medium are employing a new language of forms . . . where terms like 'densities', 'indefinite pitch relations', 'dynamic serialization', 'permutation', etc., are substitutes (or remote equivalents) for the traditional concepts of harmony, melody, rhythm, etc. . . . When the new structural procedures of electronic music are at last fully understood by the listener the barriers between him and the work he faces will be removed. . . .

The medium of electronic music has of course tempted many kinds of composers to try their hand at it . . . But the serious-minded composer approaches the world of electronic music with a more sophisticated and profound concept of creation. Although he knows that he can reproduce and employ melodic, rhythmic patterns and timbres of a traditional nature, he feels that it is in the exploration of sui generis languages and forms that the aesthetic magic of the new medium lies. And, conscientiously, he plunges into this search.

The second objection usually levelled against electronic music is much more innocent in nature. When people speak-sometimes very vehemently-of the 'inhuman' quality of this music they seem to forget that the composer is the one who fires the machines, collects the sounds, manipulates them, pushes the buttons, programs the computer, filters the sounds, establishes pitches and scales, splices tape, thinks of forms, and rounds up the over-all structure of the piece, as well as every detail of it.

Q2: The goal of the author over the course of this passage is to:
(a) differentiate the modern composer from the nineteenth century composer 
(b) 
differentiate between electronic music and other forms of music. 
(c) 
defend the "serious-minded composer" from Lejaren Hill and Stravinsky. 
(d) 
defend electronic music from certain common charges.

Ans: d
Sol: In this passage, in the very first paragraph, the author asks two basic questions about the phenomenon of electronic music. In the following paragraphs, the author tries to give an explanation of these questions.
Let's analyse each and every option.
Option A: The goal of the author is not to differentiate between a modern composer and a nineteenth-century composer. So, we can eliminate this option.
Option B: The author does not differentiate electronic music and other forms, but defends electronic music against some questions. So, we can eliminate this option.
Option C: This is a sub-idea, not the author's main goal. We can eliminate this option.
Option D: This option captures the main goal of the author, as essentially the main idea is to defend electronic music against common charges. So, this is the correct answer.

Q3: What relation does the "communication problem" mentioned in paragraph 2 have to the questions that the author recounts at the beginning of the passage?
(a) Unfamiliar forms and terms might get in the way of our seeing electronic music as music, but this can be overcome. 
(b) 
Its unfamiliar "language of forms" and novel terms mean that we cannot see electronic music as music since it does not employ traditional musical concepts. 
(c) 
None; they are unrelated to one another and form parts of different discussions. 
(d) 
The communication problem is what allows us to see electronic music as music because music must be difficult to understand.

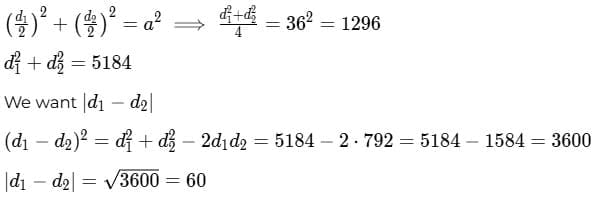
Ans: a

Sol: The "communication problem" is stated in the first line of paragraph 2. The author basically expands on this in further lines of the same paragraph. He mentions that new language of forms like 'densities', 'indefinite pitch relations' are used instead of traditional concepts of harmony, melody, rhythm, etc. He further states that once these terminologies are understood, the barrier between the listener and the work will be removed.

Let's analyse the options.
Option A: This option captures the author's idea exactly, and hence it is the correct answer.
Option B: "We cannot see electronic music as music" sounds extreme and hence can be eliminated.
Option C: This is again wrong. There is a relation between the discussions mentioned by the author in the first and second paragraphs. So, we can eliminate this option.
Option D: This is not the correct idea. The communication problem is not something that helps us to see electronic music as music. So, we can eliminate this option.
So, the correct answer is option A.

Q4: The mention of Stravinsky's description of music in the first paragraph does all the following EXCEPT:
(a) help us determine which sounds are musical and which are not. 
(b) 
respond to and expand upon earlier understandings of music. 
(c) 
complicate our notion of what is communicated through music. 
(d) 
allow us to classify electronic music as music.

Ans: a
Sol: This is a single negation question based on Stravinsky's description in the first paragraph of the passage.
Let's analyse the options.
Option B: "respond to and expand upon earlier understandings of music", this idea is conveyed by Stravinsky's description of music as "a form of speculation in terms of sound and time". So, we can eliminate this option.
Option C: This idea is also conveyed in Stravinsky's description, so we can eliminate it.
Option D: This idea is also conveyed through the lines: "characteristic twentieth-century view of the art of musical composition will of course immediately bring the layman closer to an understanding of,..." So, we can eliminate this option.
Option A: Helping us to determine which sounds are musical and which are not, this idea is not conveyed by Stravinsky's description. So, this is the correct answer.

Q5: From the context in which it is placed, the phrase "sui generis" in paragraph 3 suggests which one of the following?
(a) Particular 
(b) 
Generic 
(c) 
Unaesthetic 
(d) 
Indescribable

Ans: a
Sol: The phrase "sui generis" is mentioned in the last line of the third paragraph of the passage.
The author mentions that the magic of the new medium lies in the exploration of "sui generis" languages and forms.
So, from here, we can understand that the author is referring to certain unique or particular languages.
So, the correct answer is option A, particular.
Option-B (generic), option-C (unaesthetic), and option-D (indescribable) do not fit the context of "sui generis" language and hence can be eliminated.
So, option A is the correct answer.

Q6: The four sentences (labelled 1, 2, 3, and 4) given below, when properly sequenced, would yield a coherent paragraph. Decide on the proper sequencing of the order of the sentences and key in the sequence of the four numbers as your answer. 

  1. It's a case of 'it's easy once you've thought of it' in the political sphere.
  2. The panoptic mechanism is not simply a hinge, a point of exchange between a mechanism of power and a function; it is a way of making power relations function in a function, and of making a function function through these power relations
  3. In short, it arranges things in such a way that the exercise of power is not added on from the outside, like a rigid, heavy constraint, to the functions it invests, but is so subtly present in them as to increase their efficiency by itself increasing its own points of contact.
  4. It can in fact be integrated into any function (education, medical treatment, production, punishment); it can increase the effect of this function, by being linked closely with it; it can constitute a mixed mechanism in which relations of power (and of knowledge) may be precisely adjusted, in the smallest detail, to the processes that are to be supervised; it can establish a direct proportion between 'surplus power' and 'surplus production'.

Ans: 2143

Sol: The four sentences together explain what the panoptic mechanism is and how it works. First, they place it in the political sphere, then show how it connects power to social functions, describe its technical effects, and finally sum up the logic in a clear, conceptual way.

To find the right order, we start with sentence 2. Although informal, it sets the stage by placing the topic in the political sphere and showing that the idea makes sense from this view. Sentence 1 comes next, explaining what the mechanism does and how it fits into areas like education, medicine, punishment, and production. It also shows how power and knowledge are adjusted for supervision and productivity. Sentence 4 then sums up the explanation. It starts with "In short," and explains that power is built in, not forced from outside, to make things more efficient. Sentence 3 is last and gives the most abstract definition, showing that the panoptic mechanism is not just a link between power and function, but a way for each to work through the other. The sentences move from a 'general assessment' to a more 'formal definition.' Hence, the correct order is 2143.

Q7: The given sentence is missing in the paragraph below. Decide where it best fits among the options 1, 2, 3, or 4 indicated in the paragraph. 

Sentence: "Everything is old-world, traditional techniques from Mexico," Ava emphasizes.

Paragraph: The sisters embrace the ways their great-grandfather built and repaired instruments. ____(1) ____. When crafting a Mexican guitarron used in mariachi music, they use tacote wood for the top of the instrument. Once the wood is cut, they carve the neck and heel from a single block using tools like hand saws, chisels and sandpaper rather than modern power tools - and believe that this traditional method improves the tone of the instrument. ____(2) ____. Their store has a three-year waitlist for instruments that take months to create. ____(3) ____. The family's artisanship has attracted stars like Los Lobos, who own custom guitars made by all three generations of the Delgado family. ____(4) ____. For the sisters, involvement in the family business started at an early age. They each built their first instruments at age 9.
(a) Option 1
(b) 
Option 4
(c) 
Option 3
(d) 
Option 3

Ans: a
Sol: The paragraph explains how the Delgado sisters stay committed to traditional instrument-making. It starts with a general statement about inherited methods, gives specific examples, and then discusses the craft's success and legacy over generations.

The missing sentence is a direct quote that highlights the use of old-world, traditional techniques from Mexico. It fits best right after the opening line, which says the sisters "embrace the ways their great-grandfather built and repaired instruments." Putting the quote at blank (1) lets Ava's words explain what "embracing those ways" means before the paragraph goes into details about materials, tools, and construction methods.

If the quote is placed at blank (2) or (3), it would break up the flow after the technical details or after talking about commercial success. At blank (4), it would be too late, since the focus has already moved to fame and childhood involvement, making the quote feel out of place. Therefore, the sentence best fits at position 1 [Option 1]

Q8: The given sentence is missing in the paragraph below. Decide where it best fits among the options 1, 2, 3, or 4 indicated in the paragraph. 

Sentence: Historically, silver has been, and still is, an important element in the business of 'show' visible in private houses, churches, government and diplomacy.

Paragraph: ____(1) ____. Timothy Schroder put it succinctly in suggesting that electric light and eating in the kitchen eroded this need. As he explained to the author, 'Silver, when illuminated by flickering candlelight, comes alive and almost dances before the eyes, but when lit by electric light, it becomes flat and dead.' ____(2) ____. Domestic and economic changes may have worked against the market, but the London silver trade remained buoyant, thanks to the competition of collectors seeking grand display silver at the top end, and the buyers of 'collectables', like spoons and wine labels and 'novelties', at the bottom. ____(3) ____. Another factor that came into play was the systematic collection building of certain American museums over the period. Boston, Huntington Art Gallery and Williamsburg, among others, were largely supplied by London dealers. ____(4) ____.
(a) Option 4
(b) 
Option 3
(c) 
Option 1
(d) 
Option 2

Ans: b
Sol: The paragraph discusses the social role and market for silver. It first explains why silver was important, then why that importance faded, and finally what kept the silver trade going. The sentence in question gives historical context by showing why silver mattered: it was a visible symbol in private, religious, and diplomatic settings. This idea helps connect the decline in domestic use to the reasons the trade survived.

Looking at the paragraph structure, after talking about electric lighting and changes in home life, the text says: "Domestic and economic changes may have worked against the market, but the London silver trade remained buoyant..." Right before this point, we need a reminder of what silver's traditional role had been, as this makes the decline more meaningful and highlights why the trade's survival is surprising.

Putting the sentence in position (3) achieves this goal. It looks back at silver's long-standing role in display, which helps make the later discussion about collectors, museums, and institutional buyers clear and relevant. The sentence does not work as well at (1), since the decline has not been introduced yet. It also does not fit at (2), because that spot comes after a quote about the visual issue. By (4), the paragraph has already moved on to American museum acquisitions. So, the sentence fits best at position 3 (option 3).

Q9 to Q12: 

The passage below is accompanied by four questions. Based on the passage, choose the best answer for each question. 

Understanding the key properties of complex systems can help us clarify and deal with many new and existing global challenges, from pandemics to poverty . . . A recent study in Nature Physics found transitions to orderly states such as schooling in fish (all fish swimming in the same direction), can be caused, paradoxically, by randomness, or 'noise' feeding back on itself. That is, a misalignment among the fish causes further misalignment, eventually inducing a transition to schooling. Most of us wouldn't guess that noise can produce predictable behaviour. The result invites us to consider how technology such as contact-tracing apps, although informing us locally, might negatively impact our collective movement. If each of us changes our behaviour to avoid the infected, we might generate a collective pattern we had aimed to avoid: higher levels of interaction between the infected and susceptible, or high levels of interaction among the asymptomatic.

Complex systems also suffer from a special vulnerability to events that don't follow a normal distribution or 'bell curve'. When events are distributed normally, most outcomes are familiar and don't seem particularly striking. Height is a good example: it's pretty unusual for a man to be over 7 feet tall; most adults are between 5 and 6 feet, and there is no known person over 9 feet tall. But in collective settings where contagion shapes behaviour - a run on the banks, a scramble to buy toilet paper - the probability distributions for possible events are often heavy-tailed. There is a much higher probability of extreme events, such as a stock market crash or a massive surge in infections. These events are still unlikely, but they occur more frequently and are larger than would be expected under normal distributions.

What's more, once a rare but hugely significant 'tail' event takes place, this raises the probability of further tail events. We might call them second-order tail events; they include stock market gyrations after a big fall and earthquake aftershocks. The initial probability of second-order tail events is so tiny it's almost impossible to calculate - but once a first-order tail event occurs, the rules change, and the probability of a second-order tail event increases.

The dynamics of tail events are complicated by the fact that they result from cascades of other unlikely events. When COVID-19 first struck, the stock market suffered stunning losses followed by an equally stunning recovery. Some of these dynamics are potentially attributable to former sports bettors, with no sports to bet on, entering the market as speculators rather than investors. The arrival of these new players might have increased inefficiencies and allowed savvy long-term investors to gain an edge over bettors with different goals. . . .

One reason a first-order tail event can induce further tail events is that it changes the perceived costs of our actions and changes the rules that we play by. This game-change is an example of another key complex systems concept: nonstationarity. A second, canonical example of nonstationarity is adaptation, as illustrated by the arms race involved in the coevolution of hosts and parasites [in which] each has to 'run' faster, just to keep up with the novel solutions the other one presents as they battle it out in evolutionary time.

Q9: All of the following inferences are supported by the passage EXCEPT that:
(a) examples like runs on banks and toilet paper scrambles illustrate how contagion can amplify local choices into system-wide cascades that surprise participants and lead to patterns they did not intend to create.
(b) 
learning can change the rules that actors face. So, a rare shock can alter payoffs and raise the odds of subsequent large disturbances within the same system, which supports the idea of second-order tail events.
(c) 
heavy-tailed events make extreme outcomes more frequent and larger than bell curve expectations. This complicates forecasting and risk management in collective settings shaped by contagion and copying behaviour.
(d) 
the text attributes the COVID-19 pandemic rebound in financial markets solely to displaced sports bettors and treats their entry as the overriding cause of the rapid recovery across assets and time horizons.

Ans: d

Sol: We evaluate each option individually:
Option A is clearly supported by the passage, as we find direct evidence for it. The passage explicitly cites "a run on the banks" and "a scramble to buy toilet paper" as collective settings "where contagion shapes behaviour," and explains that such systems can generate extreme events beyond normal expectations. This supports the inference that local choices amplify into system-wide cascades.

Option B is also supported. The passage states that once a first-order tail event occurs, "the rules change, and the probability of a second-order tail event increases," and that such events "change the perceived costs of our actions and changes the rules that we play by." This aligns with the claim that a rare shock alters payoffs and raises the likelihood of subsequent disturbances.

Option C is supported as well. The author explains that in heavy-tailed settings, "there is a much higher probability of extreme events," which are "more frequent and larger than would be expected under normal distributions." This directly supports the inference about extreme outcomes becoming more frequent and complicating risk assessment.

Option D, on the other hand, is not supported by the passage. The passage never attributes the rebounds in financial markets solely to sports bettors, and simply states them as 'a potential cause' for 'some of these dynamics'[... some of these dynamics are potentially attributable to former sports bettors... entering the market as speculators... ] Option D, therefore mis-represents and exaggerates the claims in the passage. Hence, we can conclude that only Option D is not supported by the passage.

Q10: Which one of the options below best summarises the passage?
(a) The passage explains how social outcomes generally follow normal distributions. So, extreme events are negligible, and policy should stabilise averages rather than learn from large shocks in fast-changing collective settings. 
(b) 
The passage explains how noise can create order, then shows why complex systems with contagion are vulnerable to heavy-tailed cascades. It also explains why early shocks change rules through nonstationarity with a market illustration during the COVID-19 disruption. 
(c) 
The passage explains how speculative entrants always produce inefficiency after health shocks. Therefore, long-term investors invariably profit when new participants push prices away from fundamentals under pandemic conditions and comparable crises. 
(d) 
The passage explains how nonstationarity works in evolutionary biology and rejects applications in markets or public health because adaptation is exclusive to parasite-host systems and cannot arise in technology-mediated social dynamics.

Ans: b
Sol: The passage explains how complex systems act when faced with uncertainty and contagion. It starts by showing that randomness, or "noise," can sometimes create order, like in fish schools. Next, it describes how systems shaped by imitation or contagion are open to heavy-tailed events, meaning extreme outcomes happen more often than a normal distribution would predict. The passage then discusses how one extreme event can lead to others, since big shocks change incentives, risk perceptions, and behaviour. This is summed up by the idea of nonstationarity, with examples from pandemics, financial markets during COVID-19, and evolutionary arms races.

Option B best summarises this sequence. It includes the opening idea that 'noise can create order', includes the main point about heavy-tailed events in contagion-driven systems, and notes that early shocks change the system's rules through nonstationarity. It also uses the COVID-era market as an example, not the main point, which matches the passage's focus.

The other options each have problems. Option A goes against the passage by saying social outcomes usually follow normal distributions and that extreme events are rare, while the passage argues the opposite. Option C overgeneralizes the example of the bettors: the passage only suggests that market dynamics may have been affected by displaced sports bettors, not that these entrants always cause inefficiency or guarantee profits for long-term investors. Moreover, option C frames the example, or rather the inference from it, as the primary argument in the passage, which is clearly a supporting argument. Option D goes beyond the scope of the passage by incorrectly associating 'nonstationarity' with 'evolutionary biology', even though the passage only applies it to markets, pandemics, and technology-driven social systems.

Q11: Which one of the following observations would most strengthen the passage's claim that a first-order tail event raises the probability of further tail events in complex systems?
(a) In epidemic networks, initial super-spreading episodes are isolated spikes after which outbreak sizes match the baseline distribution from independent contact models across comparable cities with no rise in the frequency or size of later extreme clusters. 
(b) 
River discharge records show water levels fit a normal distribution with thin tails that match laboratory data, regardless of storms or floods. 
(c) 
After a major equity crash, researchers find dense clusters of large daily moves for several weeks, with extreme days occurring far more often than in normal circumstances for assets with customarily low volatility profiles. 
(d) 
Following large earthquakes, regional seismic activity returns to baseline within hours with no aftershock sequence once data are adjusted for reporting effects, which suggests independence across events rather than any elevation in subsequent tail probabilities.

Ans: c

Sol: The passage says that in complex systems, a rare but extreme event can change how the system works, making more extreme events likely. This usually happens because incentives, behaviour, or limits change after the first shock. To support this idea, we need to see that after one extreme event, more extreme events happen more often than usual. To identify which option strengthens this claim the most, we evaluate each option individually. 

Option A weakens the claim rather than strengthening it. It explicitly states that super-spreading events are isolated spikes and that later outbreak sizes revert to baseline distributions with no increase in extreme clusters. This directly contradicts the idea that first-order tail events raise the probability of subsequent tail events.

Option B does not relate to the passage's argument. If river discharge stays normal and stable during storms, it shows there is no link between extreme events. This does not support the idea of cascading tail events in complex systems.

Option C strongly supports the passage's claim. It shows that after a major equity crash (a first-order tail event), extreme price movements cluster densely over subsequent weeks, occurring far more frequently than under normal conditions. This directly illustrates second-order tail events: the initial shock changes market dynamics so that further extreme outcomes become more likely, exactly as described in the passage.

Option D also goes against the claim. It describes how seismic activity returns to normal with no aftershocks, which suggests that events are independent and that one extreme event does not make others more likely.

So, the observation that best supports the passage's claim is option C.

Q12: The passage suggests that contact tracing apps could inadvertently raise risky interactions by altering local behaviour. Which one of the assumptions below is most necessary for that suggestion to hold?
(a) Most users uninstall apps within a week, which leaves only highly exposed individuals participating. This neutralises any systematic bias in routing decisions and prevents any predictable change in aggregate contact patterns. 
(b) 
Individuals base movement choices partly on observed infections and on the behaviour of others. So, local responses interact, which turns many small adjustments into large scale patterns that can frustrate the intended aim of risk reduction. 
(c) 
App alerts always include precise location to within one metre and deliver real time updates for all users, which ensures that the data feed is perfectly accurate regardless of privacy settings, power limits, or network conditions. 
(d) 
Urban networks have uniform traffic conditions at all hours, which allows perfectly predictable routing independent of personal choices, social signals, or crowd reactions and, therefore, makes interdependence negligible in city movement decisions.

Ans: b
Sol: The passage explains that when people make sensible choices individually, these actions can add up and create unexpected group results. For contact-tracing apps to increase risky interactions, people's actions need to affect each other rather than being independent. To check if an assumption is necessary for this argument to hold true, we can use the negation test.

Option A says most users stop using the app quickly, so only highly exposed users remain, which stops any big changes in movement patterns. Even if this happens, the main concern of the passage still stands, because the argument is about how people's behaviours interact, not about participation bias cancelling effects. The claim does not depend on early uninstallation stopping feedback, so this assumption is not necessary.

Option B says people change their movement partly because of infection information and partly because of what others do, so many small actions add up. If this were not true, and people made decisions on their own without reacting to others, then local changes from the app would not build into the group patterns the passage warns about. The whole process described in the passage would not work. So, this assumption is necessary.

Option C says the app alerts are always perfectly accurate and real-time for everyone. The passage does not rely on perfect technology; it relies on how people react. Even if the information is not exact or is delayed, it can still affect movement choices and create feedback effects. So, the argument does not need this condition to be true, and hence it isn't a necessary assumption.

Option D says that urban movement is uniform and predictable, leaving little room for interdependent behaviour. If this were true, cascading effects would be unlikely, but the passage clearly assumes the opposite: that behaviour is responsive and interlinked. Since the argument does not require uniformity and would actually be undermined by it, this assumption is also not necessary.

Hence, option B is the correct choice.

Q13: The four sentences (labelled 1, 2, 3, and 4) given below, when properly sequenced, would yield a coherent paragraph. Decide on the proper sequencing of the order of the sentences and key in the sequence of the four numbers as your answer. 

  1. Once the taboos have been broken, women usually experience letting their fists fly as intensely liberating.
  2. Though this might seem a stereotype, women-unlike men, who are frequently applauded for unbridled aggression-are often socialized to keep a lid on their ire.
  3. Many of them are so at odds with their aggressive feelings that, as a coach, I often have to stop them from pulling their punches and encourage them to extend their arms so their blows might actually reach their fleshy target.
  4. But man, woman or otherwise, there is no denying that the quality of our life and character will be significantly shaped by the way we handle our anger.

Ans: 3421
Sol: The four sentences talk about how women are socialised to hold back anger, how this affects their relationship with aggression, how letting go of that restraint can feel liberating, and how dealing with anger shapes character and life for everyone, not just women. To figure out the correct order, we need to see how the ideas logically build. 

Sentence 3 is the natural starting point because it introduces the central observation that women are often taught to hold back anger, while men's aggression is more accepted. Sentence comes next, giving a real-life example from a coach's point of view to show how deeply this lesson is internalised. Sentence 2 follows by describing what happens when these rules[taboos] are broken, explaining the feeling of liberation that comes from expressing anger. Sentence 1 is the best ending because it moves beyond the gender-specific discussion and generalises, saying that how we handle anger shapes our character and our overall quality of life. Hence, the correct sequence is 3421.

Q14: The passage given below is followed by four summaries. 

Zombie cells may contribute to age-related chronic inflammation: this finding could help scientists understand more about the aging process and why the immune system becomes less effective as we get older. Zombie or "senescent" cells are damaged cells that can no longer divide and grow like normal cells. Scientists think that these cells can contribute to chronic health problems when they accumulate in the body. In younger people, the immune system is more effective at clearing senescent cells from the body through a process called apoptosis, but as we age, this process becomes less efficient. As a result, there is an accumulation of senescent cells in different organs in the body, either through increased production or reduced clearance by the immune system. The zombie cells continue to use energy though they do not divide, and often secrete chemicals that cause inflammation, which if persistent for longer periods of time can damage healthy cells leading to chronic diseases.

Choose the option that best captures the essence of the passage.
(a) Senescent "zombie" cells are inactive or malfunctioning cells that can be found throughout the body. 
(b) 
A younger person's immune system is healthy and is able to clear the damaged cells, but as people age, the zombie cells resist apoptosis, and start accumulating in the body. 
(c) 
Aging leads to less effective apoptosis, and therefore zombie cells start to accumulate in the body, causing inflammation, which accelerates aging and leads to chronic diseases. 
(d) 
Dead cells accelerate chronic inflammation weakening the immune system and lead to aging.

Ans: c
Sol: The passage describes how ageing, a weaker immune system, and chronic disease are connected. It introduces senescent or "zombie" cells, explains that younger people clear them more easily, and shows that this process slows with age. As a result, these cells build up, causing ongoing inflammation and damage to healthy tissue. Based on this, we consider each option individually. 

Option A is too limited. It correctly says that senescent cells are malfunctioning and present in the body, but it misses the main point: as people age, these cells are not cleared as well, they build up, and this leads to inflammation.

Option B points out the differences between younger and older immune systems and mentions apoptosis, but it wrongly states that zombie cells 'resist' apoptosis. The passage actually focuses on the immune system becoming less effective, not the cells resisting. It also leaves out the important role of inflammation and chronic disease.

Option C covers the whole chain described in the passage. It links ageing to less effective apoptosis, explains how zombie cells build up, and includes their role in inflammation and chronic disease. This matches both the structure and the focus of the original text.

Option D is incorrect and somewhat out of the scope of the passage. The passage is about metabolically active senescent cells, not dead cells, and it does not say that inflammation directly weakens the immune system as this option suggests.

So, option C best sums up the main idea of the passage.

Q15 to Q18:

The passage below is accompanied by four questions. Based on the passage, choose the best answer for each question. 

How can we know what someone else is thinking or feeling, let alone prove it in court? In his 1863 book, A General View of the Criminal Law of England, James Fitzjames Stephen, among the most celebrated legal thinkers of his generation, was of the opinion that the assessment of a person's mental state was an inference made with "little consciousness." In a criminal case, jurors, doctors, and lawyers could watch defendants-scrutinizing clothing, mannerisms, tone of voice-but the best they could hope for were clues. . . . Rounding these clues up to a judgment about a defendant's guilt, or a defendant's life, was an act of empathy and imagination. . . . The closer the resemblance between defendants and their judges, the easier it was to overlook the gap that inference filled. Conversely, when a defendant struck officials as unlike themselves, whether by dint of disease, gender, confession, or race, the precariousness of judgments about mental state was exposed.

In the nineteenth century, physicians who specialized in the study of madness and the care of the insane held themselves out as experts in the new field of mental science. Often called alienists or mad doctors, they were the predecessors of modern psychiatrists, neurologists, and psychologists. . . . The opinions of family and neighbors had once been sufficient to sift the sane from the insane, but a growing belief that insanity was a subtle condition that required expert, medical diagnosis pushed physicians into the witness box. . . . Lawyers for both prosecution and defense began to recruit alienists to assess defendants' sanity and to testify to it in court.

Irresponsibility and insanity were not identical, however. Criminal responsibility was a legal concept and not, fundamentally, a medical one. Stephen explained: "The question 'What are the mental elements of responsibility?' is, and must be, a legal question. It cannot be anything else, for the meaning of responsibility is liability to punishment." . . . Nonetheless, medical and legal accounts of what it meant to be mentally sound became entangled and mutually referential throughout the nineteenth century. Lawyers relied on medical knowledge to inform their opinions and arguments about the sanity of their clients. Doctors commented on the legal responsibility of their patients. Ultimately, the fields of criminal law and mental science were both invested in constructing an image of the broken and damaged psyche that could be contrasted with the whole and healthy one. This shared interest, and the shared space of the criminal courtroom, made it nearly impossible to consider responsibility without medicine, or insanity without law. . . .

Physicians and lawyers shared more than just concern for the mind. Class, race, and gender bound these middle-class, white, professional men together, as did family ties, patriotism, Protestantism, business ventures, the alumni networks of elite schools and universities, and structures of political patronage. But for all their affinities, men of medicine and law were divided by contests over the borders of criminal responsibility, as much within each profession as between them. Alienists steadily pushed the boundaries of their field, developing increasingly complex and capacious definitions of insanity. Eccentricity and aggression came to be classified as symptoms of mental disease, at least by some.

Q15: The last paragraph of the passage refers to "middle-class, white, professional men". Which one of the following qualities best describes the connection among them?
(a) The borders of criminal responsibility. 
(b) 
The opinions of family and neighbours. 
(c) 
Eccentricity and aggression. 
(d) 
Empathy and imagination.

Ans: a
Sol: The last paragraph discusses the social and professional ties between nineteenth-century physicians and lawyers, such as their class, race, gender, institutional affiliations, and access to power. In this elite group, their interactions centred on a shared professional issue: how to define and enforce criminal responsibility, a topic on which they often disagreed.

Option A best explains this connection. Specifically, the paragraph states that, although these men had much in common, they were "divided by contests over the borders of criminal responsibility," both within and between their professions. This wording shows that debates over the limits of criminal responsibility were central to how these groups interacted in courtrooms and intellectual circles. 

In contrast, the other options do not describe the connection between these men in this paragraph. Option B refers to an earlier time when family and neighbours judged sanity, before medical experts were involved in court. Option C mentions traits that alienists started to medicalise, but not what linked lawyers and doctors socially or professionally. Lastly, option D explains how jurors infer mental states in the first paragraph, not the elite networks or professional debates in the last paragraph.

Q16: According to the passage, who or what was an "alienist"?
(a) Professionals who pushed the boundaries of their fields till they became unrecognisable in the nineteenth century. 
(b) 
Physicians who specialised in the study of madness and the care of the insane in the nineteenth century. 
(c) 
Physicians and lawyers who were responsible for the condition of immigrants or 'aliens' in the nineteenth century. 
(d) 
Physicians and lawyers who were responsible for examining accounts of extraterrestrials or 'aliens' in the nineteenth century.

Ans: b

Sol: The passage explicitly defines who alienists were in the nineteenth century: "physicians who specialized in the study of madness and the care of the insane... often called alienists or mad doctors." They are described as the predecessors of modern psychiatrists, neurologists, and psychologists.

Option B matches this description. It correctly identifies both the profession (physicians) and their focus (madness and care of the insane), just as the passage describes.

The other options misread or exaggerate the term. Option A is too vague and does not mention the medical role described in the passage. Options C and D wrongly link "alienist" to immigrants or extraterrestrials, which the passage does not suggest. Therefore, option B is the correct answer.

Q17: Study the following sets of concepts and identify the set that is conceptually closest to the concerns and arguments of the passage.
(a) Empathy, Prosecution, Knowledge, Business. 
(b) 
Judgement, Belief, Accounts, Patronage. 
(c) 
Assessment, Empathy, Prosecution, Patriotism. 
(d) 
Judgement, Insanity, Punishment, Responsibility.

Ans: d
Sol: The passage mainly discusses how mental state is judged in criminal law, how insanity is defined and assessed, and how these ideas affect legal responsibility and punishment. It often highlights the challenge of understanding mental states, the legal definition of responsibility as liability to punishment, and how medical and legal views on insanity became linked in the nineteenth century.

Option D best matches the ideas presented in the passage. Judgement refers to how jurors and officials make inferences. Insanity is the medical idea discussed and expanded by experts. Punishment links directly to Stephen's idea of responsibility as "liability to punishment." Responsibility is the key idea that connects law and medicine throughout the passage.

The other options include terms that are either not central to the discussion or do not encapsulate the ideas in the passage as well as D does. Option A mentions business, which only comes up as part of social ties, not as a main point. Option B lists patronage and belief, which are more about background networks than the main ideas of the passage. Option C combines ideas like empathy, which fits, with patriotism, which is only mentioned socially and not as part of the main analysis. So, option D is the set that is conceptually closest to the passage.

Q18: "Conversely, when a defendant struck officials as unlike themselves, whether by dint of disease, gender, confession, or race, the precariousness of judgments about mental state was exposed."  Which one of the following best describes the use of the word "confession" in this sentence?
(a) Referring to the practice of 'confession' in some faiths, here it is a metaphor for the religion of the defendant. 
(b) 
Referring to the gender, race or disease claimed as a defence by the defendant, here it is a synonym for 'professing' a gender, race, or disease. 
(c) 
Referring to the defendant's confession of his or her crime as false, because 'didn't' is an archaic form of 'didn't' or 'did not'. 
(d) 
The defendants struck out at the officials and then confessed to the act.

Ans: a

Sol: The sentence lists factors that made defendants seem unlike (different from) the officials judging them. This shows how fragile and subjective judgments about mental state could be. The word "confession" is included with disease, gender, and race, which are all seen as forms of perceived difference, not actions in a trial.

Option A best explains this use. In this context, "confession" means religious confession or religious affiliation. Like race or gender, it could set a defendant apart from officials in cultural or social ways. In the nineteenth century, religious identity often marked someone as different, and the sentence uses it in that sense.

The other options misunderstand the term. Option B wrongly treats "confession" as a verb meaning to claim an identity, which the sentence does not support. Option C does not make sense in the context, as it brings in the idea of a false confession, which is not mentioned. Option D takes "confession" to mean admitting a violent act, but this does not fit the sentence's grammar/structure or the way the terms are grouped. So, option A is the correct answer.

Q19: Five jumbled sentences (labelled 1, 2, 3, 4, and 5), related to a topic, are given below. Four of them can be put together to form a coherent paragraph. Identify the odd sentence out and key in the number of that sentence as your answer. 

  1. So if we take expert in Anglo-Saxon culture Gale Owen- Crocker's idea that the tapestry was originally hung in a square with certain scenes facing each other, people would have stood in the centre.
  2. Art historian Linda Neagley has argued that pre-Renaissance people interacted with art visually, kinaesthetically (sensory perception through bodily movement) and physically.
  3. That would make it an 11th-century immersive space with scenes corresponding and echoing each other, drawing the viewer's attention, playing on their senses and understanding of the story they thought they knew.
  4. The Bayeux tapestry would have been hung at eye level to enable this.
  5. The Bayeux tapestry was, therefore, an obvious way to tell people about the downfall of the English and the rise of the Normans.

Ans: 1
Sol: The sentences focus on one main idea: how people may have originally seen and experienced the Bayeux Tapestry, especially through physical immersion and interaction with art before the Renaissance. Most of the sentences work together to explain a scholarly argument about how the tapestry was arranged in space and how viewers engaged with it through their senses.

Sentences 3, 2, 5, and 4 are closely connected. Sentence 3 introduces Linda Neagley's idea that people before the Renaissance interacted with art not just by looking, but also through physical movement and touch. Sentence 2 uses this idea to suggest, based on Gale Owen-Crocker, that the Bayeux Tapestry may have been hung in a square, with viewers standing in the middle. Sentence 5 adds a practical detail, saying the tapestry was likely hung at eye level to support this kind of viewing. Sentence 4 then explains that this setup would create an immersive space like in the 11th century, where scenes reflect each other and shape how viewers experience the story through their senses.

Sentence 1, on the other hand, is different from the rest. It makes a historical point, saying the tapestry was an "obvious way to tell people about the downfall of the English and the rise of the Normans." This sentence, unlike the rest, does not connect logically with the discussion of display arrangement and sensory engagement developed in the other sentences. It introduces a different line of thought and therefore does not fit the coherent paragraph formed by the remaining four. Therefore, sentence 1 is the odd sentence out.

Q20 to Q23:

The passage below is accompanied by four questions. Based on the passage, choose the best answer for each question 

Studies showing that income inequality plays a positive role in economic growth are largely based on three arguments. The first argument focuses on investment indivisibilities wherein large sunk costs are required when implementing new fundamental innovations. Without stock markets and financial institutions to mobilize large sums of money, a high concentration of wealth is needed for individuals to undertake new industrial activities accompanied by high sunk costs . . . [One study] shows the relation between economic growth and income inequality for 45 countries during 1966-1995. [It was found] that the increase in income inequality has a significant positive relationship with economic growth in the short and medium term. Using system GMM, [another study estimated] the relation between income inequality and economic growth for 106 countries during 1965- 2005 period. The results show that income inequality has a positive impact on economic growth in the short run, but the two are negatively correlated in the long run. The second argument is related to moral hazard and incentives . . . Because economic performance is determined by the unobservable level of effort that agents make, paying compensations without taking into account the economic performance achieved by individual agents will fail to elicit optimum effort from the agents. Thus, certain income inequalities contribute to growth by enhancing worker motivation . . . and by giving motivation to innovators and entrepreneurs . . . Finally, [another study] point[s] out that the concentration of wealth or stock ownership in relation to corporate governance contributes to growth. If stock ownership is distributed and owned by a large number of shareholders, it is not easy to make quick decisions due to the conflicting interests among shareholders, and this may also cause a free-rider problem in terms of monitoring and supervising managers and workers. . . .

Various studies have examined the relationships between income inequality and economic growth, and most of these assert that a negative correlation exists between the two. . . . Analyzing 159 countries for 1980-2012, they conclude that there exists a negative relation between income inequality and economic growth; when the income share of the richest 20% of population increases by 1%, the GDP decreases by 0.08%, whereas when the income share of the poorest 20% of population increases by 1%, the GDP increases by 0.38%. Some studies find that inequality has a negative impact on growth due to poor human capital accumulation and low fertility rates . . . while [others] point out that inequality creates political instability, resulting in lower investment. . . . [Some economists] argue that widening income inequality has a negative impact on economic growth because it negatively affects social consensus or social capital formation. One important research topic is the correlation between democratization and income redistribution. [Some scholars] explain that social pressure for income redistribution rises as income inequality increases in a democratic society. In other words, when democratization extends suffrage to a wider class of people, the increased political power of low- and middle-income voters results in broader support for income redistribution and social welfare expansion. However . . . if the rich have more political influence than the poor, the democratic system actually worsens income inequality rather than improving it.

Q20: Which one of the options below best summarises the passage?
(a) The passage claims that evaluating the effect of income inequality on economic growth without considering both short- and long-term consequences is misguided 
(b) 
The passage confines its discussion to financing gaps and corporate control while undercutting cross country evidence and overlooking the significance of concerns regarding human capital accumulation, fertility rates, and income redistribution under democratisation. 
(c) 
The passage argues that income inequality accelerates economic growth while also emphasising the significance of concerns regarding human capital accumulation, fertility rates, and political instability. 
(d) 
The passage outlines investment, incentive, and governance channels through which income inequality may support economic growth and reports short-term gains while noting longterm drawbacks

Ans: d

Sol: The passage presents an overview of different views on how income inequality relates to economic growth. The passage begins by explaining three ways inequality might help growth: investment indivisibilities, incentive effects, and concentrated corporate governance, which are backed by evidence, though there are signs this may change in the long run. The passage then moves on to discuss evidence from different countries and reasons why inequality could hurt growth over time [such as weaker human capital, etc.] Among the options, Option D best reflects both the possible benefits and the time-related caution in the passage.

The other options either exaggerate the claim or capture only a part of the argument. Option A focuses only on the difference between short- and long-term effects, which is just one part of the passage, not the main point. Option B is inaccurate because it says the passage only looks at certain channels and ignores opposing evidence, but the passage actually covers both sides. Option C is also misleading because it claims the author argues that inequality speeds up growth, when the passage really just presents different findings in a neutral way. The correct answer is therefore option D. 

Q21: The passage refers to "democratization". Choose the one option below that comes closest to the opposite of this process.
(a) After the emergency decree, the regime shifted toward authoritarianism as suffrage narrowed and opposition parties were deregistered. 
(b) 
Corporate donations were capped and parties received public funding which was portrayed as establishing an oligarchy. 
(c) 
Municipalities adopted participatory budgeting and recall elections which a press release called totalitarianism. 
(d) 
The coalition imposed term limits and strengthened judicial review in order to further entrench autocratic rule.

Ans: a

Sol: The passage states: "when democratization extends suffrage to a wider class of people, the increased political power of low- and middle-income voters results in broader support for income redistribution and social welfare expansion." In the context of the passage, democratization refers specifically to the expansion of suffrage, i.e., extending voting rights to a broader segment of the population, thereby increasing the political influence of lower- and middle-income groups. It implies greater political inclusion and wider distribution of electoral power. Based on this , let's consider each option individually.

Option A describes a move toward authoritarianism, where fewer people can vote, and opposition parties are removed. This is the direct opposite of expanding political participation, as it limits voting rights and competition. So, it matches the opposite of democratization.

Option B talks about corporate donations, public funding, and calls the system an oligarchy. While oligarchy means power is concentrated, limiting donations and using public funding are reforms that can exist in a democracy. So, this option does not clearly show the opposite of democratization as described in the passage.

Option C mentions participatory budgeting and recall elections, both of which increase civic participation. Even though the press release calls them "totalitarianism," these actions actually show more democratization, not the opposite. 

Option D talks about term limits and stronger judicial review, but says these lead to more autocratic rule. However, term limits and judicial review are usually ways to support democracy. The claim about autocracy is made, but the actions described do not clearly undermine democratization.

Therefore, option A is the correct answer here.

Q22: The primary function of the three-part case for a positive income inequality-economic growth link in the first half of the passage is to show that:
(a) inequality boosts growth in every period and type of economy, regardless of finance or governance conditions. 
(b) 
mature stock markets make wealth concentration unnecessary, yet they might still be harmful to investment. 
(c) 
inequality can aid short-term growth in settings with high sunk costs, incentive alignment, and concentrated ownership. 
(d) 
dispersed ownership speeds corporate decision-making and removes free rider problems.

Ans: c

Sol: The three-part case explains how inequality may promote growth. The purpose of presenting these mechanisms is to specify the conditions under which inequality can support growth, particularly in the short run. This is best captured by option C, because it reflects those precise channels: high sunk costs, incentive alignment, and concentrated ownership, and does not overstate the claim.

The other options fail because Option A turns a conditional argument into a universal one; Option B distorts the financial-institution argument and adds a claim not made; and Option D directly contradicts the governance mechanism described in the passage.

Q23: According to the incentive or moral hazard argument, which one of the designs below is most consistent with the claim that some inequality can raise growth?
(a) Pay rewards on verifiable performance for highly productive workers. 
(b) 
Rents protected by market power that enlarge top incomes without linking pay to results 
(c) 
Wages are determined by tenure rather than output to ensure equity. 
(d) 
A regime that concentrates stock ownership in relation to corporate governance.

Ans: a

Sol: The passage says that "economic performance is determined by the unobservable level of effort that agents make," and if pay does not reflect performance, it "will fail to elicit optimum effort." The passage concludes that some income inequality can help growth by motivating workers and encouraging innovation. The idea here is that linking pay differences to performance encourages people to work harder and be more productive. Option A fits this idea best because paying rewards for proven performance connects pay to results. This strengthens incentives and supports some inequality for efficiency reasons.

The other options do not work. Option B gives higher incomes without linking them to performance, so it does not solve the moral hazard problem. Option C bases wages on tenure rather than output, weakening effort incentives. Option D is about concentrated stock ownership, which is part of the governance argument, not the incentive argument. So, option A is the best answer.

Q24: The passage given below is followed by four summaries.  

In the dynamic realm of creativity, artists often find themselves at the crossroads between drawing inspiration from diverse cultures and inadvertently crossing into the territory of cultural appropriation. Inspiration is the lifeblood of creativity, driving artists to create works that resonate across borders. The globalized nature of the modern world invites artists to draw from a vast array of cultural influences. When approached respectfully, inspiration becomes a bridge, fostering understanding and appreciation of cultural diversity. However, the line between inspiration and cultural appropriation can be thin and easily blurred. Cultural appropriation occurs when elements from a particular culture are borrowed without proper understanding, respect, or acknowledgement. This leads to the commodification of sacred symbols, the reinforcement of stereotypes, and the erasure of the cultural context from which these elements originated. It's essential to recognize that the impact of cultural appropriation extends beyond the realm of artistic expression, influencing societal perceptions and perpetuating power imbalances.

Choose the option that best captures the essence of the passage.
(a) Artists in a globalised world must navigate between drawing inspiration from diverse cultures respectfully and cultural appropriation that involves borrowing without proper acknowledgement which has broader societal impacts including perpetuating power imbalances.
(b) 
In today's world of creativity, artists have to decide between respectfully acknowledging works that are inspired by diverse cultures and appropriating elements without respect for their contexts.
(c) 
In a globalised world, artists must draw from diverse cultural influences to create works that appeal to all, and this results in instances of both inspiration and cultural appropriation.
(d) 
Artists must navigate the thin line between inspiration and cultural appropriation, where respectful inspiration fosters cultural understanding whereas appropriation involves borrowing without acknowledgement leading to commodification and reinforcement of stereotypes.

Ans: a

Sol: The passage talks about a key issue in modern art: a globalised world lets artists find inspiration in many cultures, but this also brings the risk of cultural appropriation. The author explains that respectful and thoughtful inspiration can help people appreciate other cultures. On the other hand, cultural appropriation is not just borrowing, but borrowing without understanding, respect, or acknowledgement, which can lead to commodification, stereotypes, and bigger problems in society, like reinforcing power imbalances. Based on this, let's consider each option individually.

Option A clearly shows both sides of the argument. It mentions the global context, separates respectful inspiration from appropriation that lacks acknowledgement, and highlights the passage's focus on bigger social issues like power imbalances. This matches the passage's main points well.

Option B points out the main difference between respectful inspiration and appropriation, but it is too general. It treats the issue as just a matter of "deciding" and leaves out the effects of appropriation and its impact on society, which are key parts of the passage.

Option C gets the author's view wrong by suggesting that drawing from different cultures 'always' results in instances of both inspiration and cultural appropriation. The passage does not say this is inevitable. Instead, it says appropriation depends on how the borrowing happens. Also, "artists must draw from diverse cultural influences " is a bit strong, and it is also not implied in the passage. 

Option D doesn't present the complete argument, as it does not mention the global context or the idea of wider power imbalances, so it is a bit more limited in scope compared to the passage.

Overall, option A is the best choice because it covers the global context, the ethical difference between inspiration and appropriation, and the wider social effects the author talks about.

Quant

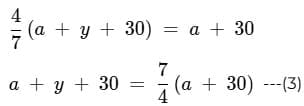
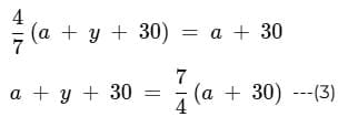
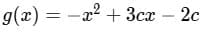
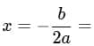
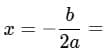
Q25: A value of c for which the minimum value of f(x) = x2 - 4cx + 8c is greater than the maximum value of g (x) = -x2 + 3cx - 2c, is
(a) 2
(b) 
1/2
(c) 
Quant
(d) 
-2

Ans: b

Sol: First function f(x) = x2 - 4cx + 8c
For this function a > 0, so minimum value will occur at Quant Quant
So, the minimum value of the function is Quant
Second function Quant
For this function a < 0, so maximum value will occur at Quant Quant
So, the maximum value of the function is Quant Quant
 So, as per the given condition,
Quant
Quant
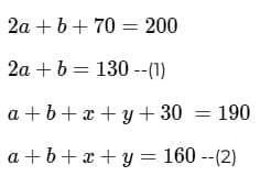
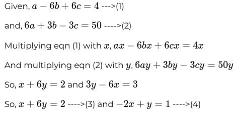
 So, the value of c which lies in this range is 1/2

Q26: Shruti travels a distance of 224 km in four parts for a total travel time of 3 hours. Her speeds in these four parts follow an arithmetic progression, and the corresponding time taken to cover these four parts follow another arithmetic progression. If she travels at a speed of 960 meters per minute for 30 minutes to cover the first part, then the distance, in meters, she travels in the fourth part is
(a) 76800 
(b) 
112000 
(c) 
96000 
(d) 
86400

Ans: d
Sol: According to question, Shruti travels a distance of 224 km in four parts for a total travel time of 3 hours.
 Given, in the first part time required is 30 minutes.
 Also, the time taken to cover these four parts follow arithmetic progression.
 So, let us say the times be 30 minutes, (30+d) minutes, (30+2d) minutes and (30+3d) minutes
Quant
 So, the time required in these four parts are 30 minutes, 40 minutes, 50 minutes and 60 minutes respectively.
 Now, in the first part, speed is 960 metres per minute.
 Speed in the four parts is also in arithmetic progression.
 Let's say the speeds be (960 + x), (960 + 2x), (960 + 3x) metres per minute

Quant

So, the speed in the fourth part is 960 + 3x = 960 + 3× 160 = 1440 metres per minute
Time in the fourth part is 60 minutes
So, distance covered in the fourth part = 1440 × 60 = 86400 metres
So, option D is the correct answer.

Q27: In a 3-digit number N, the digits are non-zero and distinct such that none of the digits is a perfect square, and only one of the digits is a prime number. Then, the number of factors of the minimum possible value of N is

Ans: 6
Sol: According to question, in the given 3-digit number N, the digits are non-zero and distinct.
 So, the possible digits in 3-digit number = 2,3,5,6,7,8
 It is also given that only one of the digits is a prime number.
 So, the minimum possible value of N = 268
 (2 is the smallest prime digit, and the non-prime digits has to be 6 and 8)
 Now, 
268 = 4 × 67 = 22 × 67
 So, the number of factors =  (2 + 1)(1 + 1) = 3 × 2 = 6

Q28: Let 3 ≤ x ≤ 6 and  [x2] = [x]2, where [x] is the greatest integer not exceeding x. If set S represents all feasible values of x, then a possible subset of S is
(a) Quant
(b) Quant
(c) Quant
(d) Quant

Ans: a
Sol: For n = 3,4,5 and x ∈ [n, n + 1) we have [x] = n, so the equation
Quant
 Option B and C have √10 included, which is not part of the original set. And Option D has √18. So, it is not possible.
 Option A is the answer.

Q29: Stocks A, B and C are priced at rupees 120, 90 and 150 per share, respectively. A trader holds a portfolio consisting of 10 shares of stock A, and 20 shares of stocks B and C put together. If the total value of her portfolio is rupees 3300, then the number of shares of stock B that she holds, is

Ans: 15
Sol: Let the number of stocks B hold be x
 So, number of stocks C hold is 20 - x
Quant

Q30: For any natural number k, let ak = 3k. The smallest natural number m for which {(a1)1 × (a2)2 × . . . × (a20)20} < {a21 × a22 × . . . × a20 + m}, is
(a) 58
(b) 
59
(c) 
56
(d) 
57

Ans: a

Sol: 

Quant

Using the sum of the first (n) natural numbers,
Quant
 Since the bases are equal, we must compare the powers.
Quant
 Here, we can put in the option to check the minimum value that satisfies the inequality.
 56: We get 5740<5264. This is false
 57: We get 5740<5586. This is false
58: We get 5740<5742. This is the minimum possible value.

Q31: The number of distinct integers n for which log1/4 (n2 - 7x + 11) > 0, 1s
(a) 2
(b) 
infinite
(c) 
1
(d) 
0

Ans: d
Sol: For base of log in range 1/4∈(0,1) and log1/4 (x) > 0 log1/4 (x) > 0 is true only if 0 < x < 1.
For integer n, x = n2 -7n + 11 is an integer, so it cannot lie strictly between 0 and 1.
So, there is no integer value for which this inequality is satisfied.

Q32: The number of distinct pairs of integers (x, y) satisfying the inequalities x > y ≥ 3 and x + y < 14 x + y < 14 is

Ans: 16
Sol: It is given, x > y ≥ 3 and x + y < 14
Now for y = 3, the values of x x can be 4,5,6,7,8,9,10  (7 cases)
Then for y = 4, the values of x x can be 5,6,7,8,9 (5 cases)
Then for y = 5, the values of x x can be 6,7,8 (3 cases)
Then for y = 6, the values of x x will be 7 (1 case)
So, total number of cases = 1 + 3 + 5 + 7 = 16 cases

Q33: At a certain simple rate of interest, a given sum amounts to Rs 13920 in 3 years, and to Rs 18960 in 6 years and 6 months. If the same given sum had been invested for 2 years at the same rate as before but with interest compounded every 6 months, then the total interest earned, in rupees, would have been nearest to
(a) 3221 
(b) 
3180 
(c) 
3150 3
(d) 
096

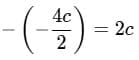
Ans: a
Sol: Let the principal be ₹ P and rate of interest be r%.
Quant
Quant

So, rate percent is 15%

Now if the same sum had been invested for 2 years at the same rate as before but with interest compounded every 6 months, amount = 
Quant
= Rs 3220.50
= Rs 3221
So, the total interest earned is Rs 3221.

Q34: A container holds 200 litres of a solution of acid and water, having 30% acid by volume. Atul replaces 20% of this solution with water, then replaces 10% of the resulting solution with acid, and finally replaces 15% of the solution thus obtained, with water. The percentage of acid by volume in the final solution obtained after these three replacements, is nearest to
(a) 
23 
(b) 
25 
(c) 
29 
(d) 
27

Ans: d
Sol: 200 L with (30%) acid ⇒ acid = 0.30 × 200 = 60L 
Replace 20% with water: remaining acid =60 × (1 - 0.20) = 60 × 0.8 = 48L.
Replace 10% with pure acid: After removing 10% of the mixture, the acid becomes 48 × 0.9 = 43.2 L, then adding back 20 L pure acid ⇒ acid = 43.2 + 20 = 63.2L.
Replace 15 with water: acid left = 63.2 × (1 - 0.15) = 63.2 × 0.85 = 53.72L.
Final concentration Quant
The answer is 27%

Q35: In a class, there were more than 10 boys and a certain number of girls. After 40% of the girls and 60% of the boys left the class, the remaining number of girls was 8 more than the remaining number of boys. Then, the minimum possible number of students initially in the class was

Ans: 55
Sol: Let say number of girls be g g and number of boys be b.
If 40% of the girls left, remaining number of girls = 0.6 g 
Also if 60% of the boys left, remaining number of boys = 0.4b 
or, 0.6g = 0.4b + 8 
or, 6g = 4b + 80 
or, 3g = 2b + 40 
So, the possible values of (b,g) are: (13,22),(16,24),(19,26),(22,28),(25,30),.....
Now, 0.6g and 0.4b has to be an integer.
So, for this g and b has to be a multiple of 5
So, b = 25 and g=30
So, minimum possible number of students = 25 + 30 = 55

Q36: A cafeteria offers 5 types of sandwiches. Moreover, for each type of sandwich, a customer can choose one of 4 breads and opt for either small or large sized sandwich. Optionally, the customer may also add up to 2 out of 6 available sauces. The number of different ways in which an order can be placed for a sandwich, is
(a) 880
(b) 
840
(c) 
800
(d) 
600

Ans: a
Sol: Number of ways to choose a sandwich = 5C1 ways
Number of ways to choose a bread = 4C1 ways
Number of ways to choose bread size = 2C1 ways
Number of ways to choose sauces = 6C0 + 6C1 + 6C2 = 1 + 6 + 15 = 22 ways
So, number of different ways = 5C1 × 4C1 × 2C1 × 22 = 5 × 4 × 2 × 22 = 880 ways.

Q37: In the set of consecutive odd numbers {1, 3, 5, ...,57}, there is a number k such that the sum of all the elements less than k is equal to the sum of all the elements greater than k. Then, k equals
(a) 41
(b) 
39
(c) 
43
(d) 
37

Ans: a
Sol: The sum of all the elements in the given set = Sum of first 29 odd numbers = 29= 841
Let's assume that k is the m t h m th term. Sum of terms less than k = sum of first (m-1) odd numbers = (m - 1)2  
Quant
 m = 20. And the 20th term is 2*m + 1 = 41

Q38: Arun, Varun and Tarun, if working alone, can complete a task in 24, 21, and 15 days, respectively. They charge Rs 2160, Rs 2400, and Rs 2160 per day, respectively, even if they are employed for a partial day. On any given day, any of the workers may or may not be employed to work. If the task needs to be completed in 10 days or less, then the minimum possible amount, in rupees, required to be paid for the entire task is
(a) 38400 
(b) 
38880 
(c) 
34400 
(d) 
47040

Ans: a
Sol: Let's assume that Total work = 1
If the work is entirely carried by each one of them it would cost
Arun: 2160 × 24 = 51840
Varun: 2400 × 21 = 50400 
Tarun: 2160 × 15 = 32400 
The cheapest worker is Tarun. He can finish the work in 15 days. But we need the work completed in 10 days.
Quant
 Complete the remaining (1/3) work using the next cheapest worker, which is Varun.
Quant
 Total cost = Amount paid for Tarun + Amount paid for Varun = 10 × 2160 + 7 × 2400 = 38400 

Q39: Kamala divided her investment of Rs 100000 between stocks, bonds, and gold. Her investment in bonds was 25% of her investment in gold. With annual returns of 10%, 6%, 8% on stocks, bonds, and gold, respectively, she gained a total amount of Rs 8200 in one year. The amount, in rupees, that she gained from the bonds, was

Ans: 900
Sol: Let the amounts invested in Stocks be S, Bonds B, and, Gold be G
Quant

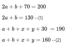
Q40: If a - 6 b + 6 c = 4 and 6a + 3b - 3c = 50, where a, b and c are real numbers, the value of 2a + 3b - 3c is
(a) 20
(b) 
14
(c) 
18
(d) 
15

Ans: c

Sol: 

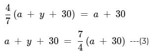
Quant

Multiplying eqn (4) with 6 and subtracting from eqn (3),
Quant
So, correct answer is 18.

Q41: The (x, y) coordinates of vertices P, Q and R of a parallelogram PQRS are (-3, -2), (1, -5) and (9, 1), respectively. If the diagonal SQ intersects the x-axis at (a, 0) , then the value of a is
(a) 27/7
(b) 
10/3
(c) 
13/4
(d) 
29/9

Ans: d
Sol: Given (P(-3,-2)), (Q(1,-5)), and (R(9,1)).
For parallelogram (PQRS), S = P + R - Q = (-3,-2) + (9,1) - (1,-5) = (5,4)
Diagonal SQ passes through S(5,4) and Q(1,-5).
Quant

Q42: In a circle with center C and radius 6√2 cm, PQ and SR are two parallel chords separated by one of the diameters. If ∠PQC = 45°, and the ratio of the perpendicular distance of PQ and SR from C is 3:2, then the area, in sq. cm, of the quadrilateral PQRS is
(a) 4(3 + √14)4
(b) 
4(3√2 + √7)
(c) 
20(3+√14)
(d) 
20(3√2+√7)

Ans: c
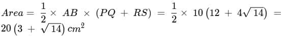
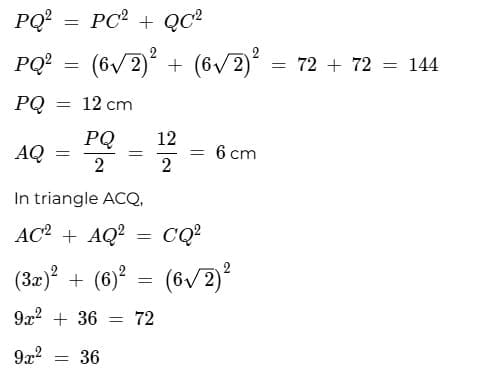
Sol: The radius of the circle is given to be 6√2 cm. We are also given that the ratio of CA to CB is 3:2. So, if we assume the value of CA to be 3x, then the value of CB becomes 2x. We are also given that ∠PQC = 45° and since PCQ is an isosceles triangle, ∠CPQ = 45° and ∠PCQ = 90°.
Quant
So, the triangle PCQ is right-angled at C. The value of PQ can be calculated using Pythagoras' theorem as,
Quant
Quant
The area of the quadrilateral PQRS can be calculated as,
Quant
Hence, the correct answer is option C.

Q43: The ratio of the number of students in the morning shift and afternoon shift of a school was 13 : 9. After 21 students moved from the morning shift to the afternoon shift, this ratio became 19 : 14. Next, some new students joined the morning and afternoon shifts in the ratio 3 : 8 and then the ratio of the number of students in the morning shift and the afternoon shift became 5 : 4. The number of new students who joined is
(a) 110
(b) 
88
(c) 
121
(d) 
99

Ans: d
Sol: Let M = 13k, A = 9k. 
After 21 students were moved Quant
So Quant
 So, the number of students in the morning and afternoon shifts are 819 - 21 = 798, 567 + 21 = 588 respectively.
 Let's assume that 3t and 8t students joined the respective sessions.
Quant
 Number of new students = 11t = 99

Q44: If the length of a side of a rhombus is 36 cm and the area of the rhombus is 396 sq. cm, then the absolute value of the difference between the lengths, in cm, of the diagonals of the rhombus is

Ans: 60
Sol: Let the diagonals of the rhombus be d1 and d2
 We know that the
Quant
 For a rhombus with side a=36, the diagonals intersect at right angle. Giving a right-angle triangle with the side as hypotenuse.
Quant

Q45: The number of non-negative integer values of k for which the quadratic equation x2 - 5x + k = 0 has only integer roots, is

Ans: 3
Sol: The given quadratic equation is x2 - 5x + k = 0
Now, discriminant D = 52 - 4k = 25 - 4k
Now, it is given the equation must have integer roots.
So, 25 - 4k has to be a perfect square.
We need to find non-negative integer values of k
Now, for k = 0, D = 25 - 4 × 0 = 25, is a perfect square
For k = 4, D = 25 - 4 × 4 = 25 - 16 = 9, is a perfect square
For k = 6, D = 25 - 4 × 6 = 1, is a perfect square
So, there are three non negative integer values of k.
So, correct answer is 3.

Q46: A shopkeeper offers a discount of 22% on the marked price of each chair, and gives 13 chairs to a customer for the discounted price of 12 chairs to earn a profit of 26% on the transaction. If the cost price of each chair is Rs 100, then the marked price, in rupees, of each chair is

Ans: 175
Sol: Cost price of each chair = 100
 For 13 chairs, total cost = 13 × 100 = 1300
Profit = 26%, so total revenue
1.26 × 1300 = 1638
 We were told that this amount is equal to the discounted price of 12 chairs. So the discounted selling price per chair
Quant
 Discount offered = 22%, so:
Quant

LRDI

Q47 to Q50:

A round table has seven chairs around it. The chairs are numbered 1 through 7 in a clockwise direction. Four friends, Aslam, Bashir, Chhavi, and Davies, sit on four of the chairs. In the starting position, Aslam and Chhavi are sitting next to each other, while for Bashir as well as Davies, there are empty chairs on either side of the chairs that are sitting on. 
The friends take turns moving either clockwise or counterclockwise from their chair. The friend who has to move in a turn occupies the first empty chair in whichever direction (s)he chooses to move. Aslam moves first (Turn 1), followed by Bashir, Chhavi, and Davies (Turns 2, 3, and 4, respectively). Then Aslam moves again followed by Bashir, and Chhavi (Turns 5, 6, and 7, respectively).
The following information is known

  1. The four friends occupy adjacent chairs only at the end of Turn 2 and Turn 6.
  2. Davies occupies Chair 2 after Turn 1 and Chair 4 after Turn 5, and Chhavi occupies Chair 7 after Turn 2.

Q47: What is the number of the chair initially occupied by Bashir?

Ans: 4
Sol: Based on the information about the initial positions of Aslam and Chhavi sitting next to each other, while Bashir and Davies have empty chairs on either side of their seats, the possible combinations are,

Q47 to Q50:

This has 4 possible combinations.

We are also given that Davies occupies Chair 2 after Turn 1 and Chhavi occupies Chair 7 after Turn 2. We know that the positions of Davies and Chhavi won't be changing after turn 2, as we know that in those turns, only the positions of Aslam and Bashir are being changed in the first 2 turns. Therefore, we can determine that Davies' initial position is chair 2, and Chhavi's initial position is chair 7. 

Out of the 4 possible combinations, Davies on chair 2 and Chhavi on chair 7 are only possible in one case, which is,

Q47 to Q50:

So, Bashir's initial position is chair 4.
Hence, the correct answer is 4.

Q48: Who sits on the chair numbered 4 at the end of Turn 3?
(a) Bashir 
(b) 
Chhavi 
(c) 
Davies 
(d) 
No one

Ans: d
Sol: Based on the information about the initial positions of Aslam and Chhavi sitting next to each other, while Bashir and Davies have empty chairs on either side of their seats, the possible combinations are,

Q47 to Q50:

This has 4 possible combinations.

We are also given that Davies occupies Chair 2 after Turn 1 and Chhavi occupies Chair 7 after Turn 2. We know that the positions of Davies and Chhavi won't be changing after turn 2, as we know that in those turns, only the positions of Aslam and Bashir are being changed in the first 2 turns. Therefore, we can determine that Davies' initial position is chair 2, and Chhavi's initial position is chair 7.

Out of the 4 possible combinations, Davies on chair 2 and Chhavi on chair 7 are only possible in one case, which is,

Q47 to Q50:

We now have the initial position, and we are told that all the members are adjacent only after turn 2 and turn 6.

We know that A changed his position in turn 1.

Turn 1: Aslam moves

If A changed his position anticlockwise, he would go to chair 5, and if he changed his position clockwise, he would go to chair 1.

If A ends in chair 5 after turn 1, then it is not possible for all of them to be adjacent to each other after B changes his position in turn 2.

So, A has to end in chair 1 after turn 1, so that B will have a chance in turn 2 for all of them to be adjacent.

Q47 to Q50:

Turn 2: Bashir moves

 For all of them to be adjacent after turn 2, B must change his position anticlockwise, and after turn 2, he would end up on chair 3.

Q47 to Q50:

Turn 3: Chhavi moves

We are given that Davies occupies chair 4 after turn 5, and for this to happen, chair 4 must be empty and cannot be occupied by anyone who does not move before turn 5. So, in turn 3, C must go anticlockwise and occupy chair 6, as if he goes clockwise, he would occupy chair 4, which must be empty for Davies.

Q47 to Q50:

Turn 4: Davies moves

Davies will not move in turn 5, and for him to occupy chair 4 after turn 5, he must occupy it on turn 4. So, D has to go clockwise in turn 4 and must occupy chair 4.

Q47 to Q50:

Turn 5: Aslam moves

We know that all of them are again adjacent after turn 6. If A goes clockwise in turn 5, then he will occupy the chair 2, and in that case, it is not possible for them to be adjacent after turn 6 in either of the cases of B going clockwise or anticlockwise.

So, A must go anticlockwise and occupy chair 7 for them to be adjacent after turn 6.

Q47 to Q50:

Turn 6: Bashir moves

Now, for them to be adjacent after turn 6, B must go clockwise and must occupy chair 5.

Q47 to Q50:

Turn 7: Chavvi moves

We do not have any information to determine whether C went clockwise or anticlockwise. So, both cases are possible after turn 7.

Q47 to Q50:Q47 to Q50:

After turn 3, chair 4 is occupied by no one.

Hence, the correct answer is option D.

Q49: Which of the chairs are occupied at the end of Turn 6?
(a) Chairs numbered 4, 5, 6, and 7
(b) 
Chairs numbered 1, 2, 3, and 4
(c) 
Chairs numbered 2, 3, 4, and 5
(d) 
Chairs numbered 1, 2, 6, and 7

Ans: a
Sol: Based on the information about the initial positions of Aslam and Chhavi sitting next to each other, while Bashir and Davies have empty chairs on either side of their seats, the possible combinations are,

Q47 to Q50:

This has 4 possible combinations.

We are also given that Davies occupies Chair 2 after Turn 1 and Chhavi occupies Chair 7 after Turn 2. We know that the positions of Davies and Chhavi won't be changing after turn 2, as we know that in those turns, only the positions of Aslam and Bashir are being changed in the first 2 turns. Therefore, we can determine that Davies' initial position is chair 2, and Chhavi's initial position is chair 7.

Out of the 4 possible combinations, Davies on chair 2 and Chhavi on chair 7 are only possible in one case, which is,

Q47 to Q50:

We now have the initial position, and we are told that all the members are adjacent only after turn 2 and turn 6.

We know that A changed his position in turn 1.

Turn 1: Aslam moves

If A changed his position anticlockwise, he would go to chair 5, and if he changed his position clockwise, he would go to chair 1.

If A ends in chair 5 after turn 1, then it is not possible for all of them to be adjacent to each other after B changes his position in turn 2.

So, A has to end in chair 1 after turn 1, so that B will have a chance in turn 2 for all of them to be adjacent.

Q47 to Q50:

Turn 2: Bashir moves

For all of them to be adjacent after turn 2, B must change his position anticlockwise, and after turn 2, he would end up on chair 3.

Q47 to Q50:

Turn 3: Chhavi moves

We are given that Davies occupies chair 4 after turn 5, and for this to happen, chair 4 must be empty and cannot be occupied by anyone who does not move before turn 5. So, in turn 3, C must go anticlockwise and occupy chair 6, as if he goes clockwise, he would occupy chair 4, which must be empty for Davies.

Q47 to Q50:

Turn 4: Davies moves

Davies will not move in turn 5, and for him to occupy chair 4 after turn 5, he must occupy it on turn 4. So, D has to go clockwise in turn 4 and must occupy chair 4.

Q47 to Q50:

Turn 5: Aslam moves

We know that all of them are again adjacent after turn 6. If A goes clockwise in turn 5, then he will occupy the chair 2, and in that case, it is not possible for them to be adjacent after turn 6 in either of the cases of B going clockwise or anticlockwise.

So, A must go anticlockwise and occupy chair 7 for them to be adjacent after turn 6.

Q47 to Q50:

Turn 6: Bashir moves

Now, for them to be adjacent after turn 6, B must go clockwise and must occupy chair 5.

Q47 to Q50:

Turn 7: Chavvi moves

We do not have any information to determine whether C went clockwise or anticlockwise. So, both cases are possible after turn 7.

Q47 to Q50:Q47 to Q50:

The chairs occupied after turn 6 are 4, 5, 6 and 7.

Hence, the correct answer is option A.

Q50: Which of the following BEST describes the friends sitting on chairs adjacent to the one occupied by Bashir at the end of Turn 7?
(a) Chhavi only 
(b) 
Davies only 
(c) 
Chhavi and Davies 
(d) 
Aslam and Chhavi

Ans: b
Sol: Based on the information about the initial positions of Aslam and Chhavi sitting next to each other, while Bashir and Davies have empty chairs on either side of their seats, the possible combinations are,

Q47 to Q50:

This has 4 possible combinations.

We are also given that Davies occupies Chair 2 after Turn 1 and Chhavi occupies Chair 7 after Turn 2. We know that the positions of Davies and Chhavi won't be changing after turn 2, as we know that in those turns, only the positions of Aslam and Bashir are being changed in the first 2 turns. Therefore, we can determine that Davies' initial position is chair 2, and Chhavi's initial position is chair 7.

Out of the 4 possible combinations, Davies on chair 2 and Chhavi on chair 7 are only possible in one case, which is,

Q47 to Q50:

We now have the initial position, and we are told that all the members are adjacent only after turn 2 and turn 6.

We know that A changed his position in turn 1.

Turn 1: Aslam moves

If A changed his position anticlockwise, he would go to chair 5, and if he changed his position clockwise, he would go to chair 1.

If A ends in chair 5 after turn 1, then it is not possible for all of them to be adjacent to each other after B changes his position in turn 2.

So, A has to end in chair 1 after turn 1, so that B will have a chance in turn 2 for all of them to be adjacent.

Q47 to Q50:

Turn 2: Bashir moves

For all of them to be adjacent after turn 2, B must change his position anticlockwise, and after turn 2, he would end up on chair 3.

Q47 to Q50:

Turn 3: Chhavi moves

We are given that Davies occupies chair 4 after turn 5, and for this to happen, chair 4 must be empty and cannot be occupied by anyone who does not move before turn 5. So, in turn 3, C must go anticlockwise and occupy chair 6, as if he goes clockwise, he would occupy chair 4, which must be empty for Davies.

Q47 to Q50:

Turn 4: Davies moves

Davies will not move in turn 5, and for him to occupy chair 4 after turn 5, he must occupy it on turn 4. So, D has to go clockwise in turn 4 and must occupy chair 4.

Q47 to Q50:

Turn 5: Aslam moves

We know that all of them are again adjacent after turn 6. If A goes clockwise in turn 5, then he will occupy the chair 2, and in that case, it is not possible for them to be adjacent after turn 6 in either of the cases of B going clockwise or anticlockwise.

So, A must go anticlockwise and occupy chair 7 for them to be adjacent after turn 6.

Q47 to Q50:

Turn 6: Bashir moves

Now, for them to be adjacent after turn 6, B must go clockwise and must occupy chair 5.

Q47 to Q50:

Turn 7: Chavvi moves

We do not have any information to determine whether C went clockwise or anticlockwise. So, both cases are possible after turn 7.

Q47 to Q50:Q47 to Q50:

In either of the cases after turn 7, the seat adjacent to Bashir is occupied only by Davies, and the other one is empty.

Hence, the correct answer is option B.

Q51 to Q50:

At InnovateX, six employees, Asha, Bunty, Chintu, Dolly, Eklavya, and Falguni, were split into two groups of three each: Elite led by Manager Kuku, and Novice led by Manager Lalu.
At the end of each quarter, Kuku and Lalu handed out ratings to all members in their respective groups. In each group, each employee received a distinct integer rating from 1 to 3.
 

The score for an employee at the end of a quarter is defined as their cumulative rating from the beginning of the year. At the end of each quarter the employee in Novice with the highest score was promoted to Elite, and the employee in Elite with the minimum score was demoted to Novice. If there was a tie in scores, the employee with a higher rating in the latest quarter was ranked higher.

1. Asha, Bunty, and Chintu were in Elite at the beginning of Quarter 1. All of them were in Novice at the beginning of Quarter 4.
2. Dolly and Falguni were the only employees who got the same rating across all the quarters.
3. The following is known about ratings given by Lalu:

  • Bunty received a rating of 1 in Quarter 2.
  • Asha and Dolly received ratings of 1 and 2, respectively, in Quarter 3.

Q51: What was Eklavya's score at the end of Quarter 2?

Ans: 4

Sol: Denoting Asha, Bunty, Chintu, Dolly, Eklavya, and Falguni as A, B, C, D, E and F for easy usage. The values in the brackets are the ratings obtained in that quarter, and the values outside are the cumulative ratings after that Quarter.

Putting all the given information in the table, we get,

Q51 to Q50:

B came from Elite to Novice after Q1, and B cannot go back to Elite after Q2 and come back to Novice after Q3 because B came to Novice in Q1, and A came to Novice in Q3, so C has to come to Novice after Q3 to be present in Novice at the start of Q4 as per the table. Therefore, we can conclude that C came to Novice after Q3, and B stayed in Novice in Q3 as well, receiving a rating of 3 in Q3. Similarly, D cannot go to Elite after Q1 and come back after Q2 because we already know that A is coming to Novice after Q2. So, we can conclude that D stayed in Novice during Q2 as well. We are also given that A and F received the same rating during all the quarters, and we know that the rating of D is 2 in Q3, so we can conclude its rating to be 2 in all the quarters. For B to come to Novice after Q1, it must receive a rating of 1 in Q1.

We are also given that F has the same rating across all the quarters, and it has to be either 1 or 3, as D already has a rating of 2 in Q1 in that group. If the rating of F is 1, then it will stay in Novice in quarter 2 and also will get a rating of 1 in Q2, which makes the cumulative score 2. But we know that both E and F are going to elite after quarters 1 and 2 in some order, and if the cumulative rating of F is 2 at the end of Q2, then it is not possible for it to go to elite after Q2, as there are members with ratings higher than 2 in Novice after Q2.

Therefore, for all conditions to be satisfied, the rating of F must be 3 in all quarters, and F advances to Elite after Q1 and remains there. Also, we can conclude that E goes to Elite after Q2. Putting all the information in the table, we get,

Q51 to Q50:

Now, if we look at the Elite table, we know that A and C received 2 and 3 in some order in Q1 and 1 and 2 in Q2 in some order.

We know that A goes to Novice from Elite after Q2, so the cumulative rating of A must either be less than C after Q2 or equal to C , and the rating of A in Q2 is less than C. These are the two possibilities.

If A received a rating of 3 in Q1, then C gets 2 in Q1. For A to get to Novice after Q2, it must obtain a rating of 1 in Q2, so that it will have a cumulative rating of 4 after 2 quarters which is same as the cumulative rating of C after 2 quarters and because C gets a rating of 2 and A gets a rating of 1 in Q2, A goes to Novice and C stays in elite even with the same cumulative rating.

If A received a rating of 2 in Q1, then C gets 3 in Q1. For A to get to Novice after Q2, it must obtain a rating of 1 in Q2, so that it will have a cumulative rating of 3 after 2 quarters, which is less than the cumulative rating of C after 2 quarters. If it gets a rating of 2 in Q2, then its cumulative becomes 4, which would be the same as C in that case, and because the rating in Q2 would be less for C in that case, it gets demoted to Novice, which is not the case. So, in the case of A getting 2 in Q1, it must get 1 in Q2.

After Q2, E and C will either have the same cumulative score or C will have 1 point more than E's cumulative score. For E to remain in Elite even after Q3, it must get a rating of 2 points in Q3, and C must get a rating of 1 point.

Putting all the calculated values, we get the final table as,

Q51 to Q50:

Ekalavya's score after quarter 2 is 4.

Hence, the correct answer is 4.

Q52: How many employees changed groups more than once up to the beginning of Quarter 4?

Ans: 0

Sol: Denoting Asha, Bunty, Chintu, Dolly, Eklavya, and Falguni as A, B, C, D, E and F for easy usage. The values in the brackets are the ratings obtained in that quarter, and the values outside are the cumulative ratings after that Quarter.

Putting all the given information in the table, we get,

Q51 to Q50:

B came from Elite to Novice after Q1, and B cannot go back to Elite after Q2 and come back to Novice after Q3 because B came to Novice in Q1, and A came to Novice in Q3, so C has to come to Novice after Q3 to be present in Novice at the start of Q4 as per the table. Therefore, we can conclude that C came to Novice after Q3, and B stayed in Novice in Q3 as well, receiving a rating of 3 in Q3. Similarly, D cannot go to Elite after Q1 and come back after Q2 because we already know that A is coming to Novice after Q2. So, we can conclude that D stayed in Novice during Q2 as well. We are also given that A and F received the same rating during all the quarters, and we know that the rating of D is 2 in Q3, so we can conclude its rating to be 2 in all the quarters. For B to come to Novice after Q1, it must receive a rating of 1 in Q1.

We are also given that F has the same rating across all the quarters, and it has to be either 1 or 3, as D already has a rating of 2 in Q1 in that group. If the rating of F is 1, then it will stay in Novice in quarter 2 and also will get a rating of 1 in Q2, which makes the cumulative score 2. But we know that both E and F are going to elite after quarters 1 and 2 in some order, and if the cumulative rating of F is 2 at the end of Q2, then it is not possible for it to go to elite after Q2, as there are members with ratings higher than 2 in Novice after Q2.

Therefore, for all conditions to be satisfied, the rating of F must be 3 in all quarters, and F advances to Elite after Q1 and remains there. Also, we can conclude that E goes to Elite after Q2. Putting all the information in the table, we get,

Q51 to Q50:

Now, if we look at the Elite table, we know that A and C received 2 and 3 in some order in Q1 and 1 and 2 in Q2 in some order.

We know that A goes to Novice from Elite after Q2, so the cumulative rating of A must either be less than C after Q2 or equal to C , and the rating of A in Q2 is less than C. These are the two possibilities.

If A received a rating of 3 in Q1, then C gets 2 in Q1. For A to get to Novice after Q2, it must obtain a rating of 1 in Q2, so that it will have a cumulative rating of 4 after 2 quarters which is same as the cumulative rating of C after 2 quarters and because C gets a rating of 2 and A gets a rating of 1 in Q2, A goes to Novice and C stays in elite even with the same cumulative rating.

If A received a rating of 2 in Q1, then C gets 3 in Q1. For A to get to Novice after Q2, it must obtain a rating of 1 in Q2, so that it will have a cumulative rating of 3 after 2 quarters, which is less than the cumulative rating of C after 2 quarters. If it gets a rating of 2 in Q2, then its cumulative becomes 4, which would be the same as C in that case, and because the rating in Q2 would be less for C in that case, it gets demoted to Novice, which is not the case. So, in the case of A getting 2 in Q1, it must get 1 in Q2.

After Q2, E and C will either have the same cumulative score or C will have 1 point more than E's cumulative score. For E to remain in Elite even after Q3, it must get a rating of 2 points in Q3, and C must get a rating of 1 point.

Putting all the calculated values, we get the final table as,

Q51 to Q50:

As we can see in the table, no employee has changed their group more than once.

Hence, the correct answer is 0.

Q53: What was Bunty's score at the end of Quarter 3?

Ans: 5
Sol: Denoting Asha, Bunty, Chintu, Dolly, Eklavya, and Falguni as A, B, C, D, E and F for easy usage. The values in the brackets are the ratings obtained in that quarter, and the values outside are the cumulative ratings after that Quarter.

Putting all the given information in the table, we get,

Q51 to Q50:

B came from Elite to Novice after Q1, and B cannot go back to Elite after Q2 and come back to Novice after Q3 because B came to Novice in Q1, and A came to Novice in Q3, so C has to come to Novice after Q3 to be present in Novice at the start of Q4 as per the table. Therefore, we can conclude that C came to Novice after Q3, and B stayed in Novice in Q3 as well, receiving a rating of 3 in Q3. Similarly, D cannot go to Elite after Q1 and come back after Q2 because we already know that A is coming to Novice after Q2. So, we can conclude that D stayed in Novice during Q2 as well. We are also given that A and F received the same rating during all the quarters, and we know that the rating of D is 2 in Q3, so we can conclude its rating to be 2 in all the quarters. For B to come to Novice after Q1, it must receive a rating of 1 in Q1.

We are also given that F has the same rating across all the quarters, and it has to be either 1 or 3, as D already has a rating of 2 in Q1 in that group. If the rating of F is 1, then it will stay in Novice in quarter 2 and also will get a rating of 1 in Q2, which makes the cumulative score 2. But we know that both E and F are going to elite after quarters 1 and 2 in some order, and if the cumulative rating of F is 2 at the end of Q2, then it is not possible for it to go to elite after Q2, as there are members with ratings higher than 2 in Novice after Q2.

Therefore, for all conditions to be satisfied, the rating of F must be 3 in all quarters, and F advances to Elite after Q1 and remains there. Also, we can conclude that E goes to Elite after Q2. Putting all the information in the table, we get,

Q51 to Q50:

Now, if we look at the Elite table, we know that A and C received 2 and 3 in some order in Q1 and 1 and 2 in Q2 in some order.

We know that A goes to Novice from Elite after Q2, so the cumulative rating of A must either be less than C after Q2 or equal to C , and the rating of A in Q2 is less than C. These are the two possibilities.

If A received a rating of 3 in Q1, then C gets 2 in Q1. For A to get to Novice after Q2, it must obtain a rating of 1 in Q2, so that it will have a cumulative rating of 4 after 2 quarters which is same as the cumulative rating of C after 2 quarters and because C gets a rating of 2 and A gets a rating of 1 in Q2, A goes to Novice and C stays in elite even with the same cumulative rating.

If A received a rating of 2 in Q1, then C gets 3 in Q1. For A to get to Novice after Q2, it must obtain a rating of 1 in Q2, so that it will have a cumulative rating of 3 after 2 quarters, which is less than the cumulative rating of C after 2 quarters. If it gets a rating of 2 in Q2, then its cumulative becomes 4, which would be the same as C in that case, and because the rating in Q2 would be less for C in that case, it gets demoted to Novice, which is not the case. So, in the case of A getting 2 in Q1, it must get 1 in Q2.

After Q2, E and C will either have the same cumulative score or C will have 1 point more than E's cumulative score. For E to remain in Elite even after Q3, it must get a rating of 2 points in Q3, and C must get a rating of 1 point.

Putting all the calculated values, we get the final table as,

Q51 to Q50:

Bunty's score after quarter 3 is 5.

Hence, the correct answer is 5.

Q54: For how many employees can the scores at the end of Quarter 3 be determined with certainty?

Ans: 4
Sol: Denoting Asha, Bunty, Chintu, Dolly, Eklavya, and Falguni as A, B, C, D, E and F for easy usage. The values in the brackets are the ratings obtained in that quarter, and the values outside are the cumulative ratings after that Quarter.

Putting all the given information in the table, we get,

Q51 to Q50:

B came from Elite to Novice after Q1, and B cannot go back to Elite after Q2 and come back to Novice after Q3 because B came to Novice in Q1, and A came to Novice in Q3, so C has to come to Novice after Q3 to be present in Novice at the start of Q4 as per the table. Therefore, we can conclude that C came to Novice after Q3, and B stayed in Novice in Q3 as well, receiving a rating of 3 in Q3. Similarly, D cannot go to Elite after Q1 and come back after Q2 because we already know that A is coming to Novice after Q2. So, we can conclude that D stayed in Novice during Q2 as well. We are also given that A and F received the same rating during all the quarters, and we know that the rating of D is 2 in Q3, so we can conclude its rating to be 2 in all the quarters. For B to come to Novice after Q1, it must receive a rating of 1 in Q1.

We are also given that F has the same rating across all the quarters, and it has to be either 1 or 3, as D already has a rating of 2 in Q1 in that group. If the rating of F is 1, then it will stay in Novice in quarter 2 and also will get a rating of 1 in Q2, which makes the cumulative score 2. But we know that both E and F are going to elite after quarters 1 and 2 in some order, and if the cumulative rating of F is 2 at the end of Q2, then it is not possible for it to go to elite after Q2, as there are members with ratings higher than 2 in Novice after Q2.

Therefore, for all conditions to be satisfied, the rating of F must be 3 in all quarters, and F advances to Elite after Q1 and remains there. Also, we can conclude that E goes to Elite after Q2. Putting all the information in the table, we get,

Q51 to Q50:

Now, if we look at the Elite table, we know that A and C received 2 and 3 in some order in Q1 and 1 and 2 in Q2 in some order.

We know that A goes to Novice from Elite after Q2, so the cumulative rating of A must either be less than C after Q2 or equal to C , and the rating of A in Q2 is less than C. These are the two possibilities.

If A received a rating of 3 in Q1, then C gets 2 in Q1. For A to get to Novice after Q2, it must obtain a rating of 1 in Q2, so that it will have a cumulative rating of 4 after 2 quarters which is same as the cumulative rating of C after 2 quarters and because C gets a rating of 2 and A gets a rating of 1 in Q2, A goes to Novice and C stays in elite even with the same cumulative rating.

If A received a rating of 2 in Q1, then C gets 3 in Q1. For A to get to Novice after Q2, it must obtain a rating of 1 in Q2, so that it will have a cumulative rating of 3 after 2 quarters, which is less than the cumulative rating of C after 2 quarters. If it gets a rating of 2 in Q2, then its cumulative becomes 4, which would be the same as C in that case, and because the rating in Q2 would be less for C in that case, it gets demoted to Novice, which is not the case. So, in the case of A getting 2 in Q1, it must get 1 in Q2.

After Q2, E and C will either have the same cumulative score or C will have 1 point more than E's cumulative score. For E to remain in Elite even after Q3, it must get a rating of 2 points in Q3, and C must get a rating of 1 point.

Putting all the calculated values, we get the final table as,

Q51 to Q50:

The cumulative score of 4 employees can be determined with certainty at the end of quarter 3.

Hence, the correct answer is 4.

Q55: Which of the following statements is/are NECESSARILY true?
I. Asha received a rating of 2 in Quarter 1.
II. Asha received a rating of 1 in Quarter 2.

(a) Neither I nor II
(b) 
Both I and II
(c) 
Only I
(d) 
Only II

Ans: d
Sol: Denoting Asha, Bunty, Chintu, Dolly, Eklavya, and Falguni as A, B, C, D, E and F for easy usage. The values in the brackets are the ratings obtained in that quarter, and the values outside are the cumulative ratings after that Quarter.

Putting all the given information in the table, we get,

Q51 to Q50:

B came from Elite to Novice after Q1, and B cannot go back to Elite after Q2 and come back to Novice after Q3 because B came to Novice in Q1, and A came to Novice in Q3, so C has to come to Novice after Q3 to be present in Novice at the start of Q4 as per the table. Therefore, we can conclude that C came to Novice after Q3, and B stayed in Novice in Q3 as well, receiving a rating of 3 in Q3. Similarly, D cannot go to Elite after Q1 and come back after Q2 because we already know that A is coming to Novice after Q2. So, we can conclude that D stayed in Novice during Q2 as well. We are also given that A and F received the same rating during all the quarters, and we know that the rating of D is 2 in Q3, so we can conclude its rating to be 2 in all the quarters. For B to come to Novice after Q1, it must receive a rating of 1 in Q1.

We are also given that F has the same rating across all the quarters, and it has to be either 1 or 3, as D already has a rating of 2 in Q1 in that group. If the rating of F is 1, then it will stay in Novice in quarter 2 and also will get a rating of 1 in Q2, which makes the cumulative score 2. But we know that both E and F are going to elite after quarters 1 and 2 in some order, and if the cumulative rating of F is 2 at the end of Q2, then it is not possible for it to go to elite after Q2, as there are members with ratings higher than 2 in Novice after Q2.

Therefore, for all conditions to be satisfied, the rating of F must be 3 in all quarters, and F advances to Elite after Q1 and remains there. Also, we can conclude that E goes to Elite after Q2. Putting all the information in the table, we get,

Q51 to Q50:

Now, if we look at the Elite table, we know that A and C received 2 and 3 in some order in Q1 and 1 and 2 in Q2 in some order.

We know that A goes to Novice from Elite after Q2, so the cumulative rating of A must either be less than C after Q2 or equal to C , and the rating of A in Q2 is less than C. These are the two possibilities.

If A received a rating of 3 in Q1, then C gets 2 in Q1. For A to get to Novice after Q2, it must obtain a rating of 1 in Q2, so that it will have a cumulative rating of 4 after 2 quarters which is same as the cumulative rating of C after 2 quarters and because C gets a rating of 2 and A gets a rating of 1 in Q2, A goes to Novice and C stays in elite even with the same cumulative rating.

If A received a rating of 2 in Q1, then C gets 3 in Q1. For A to get to Novice after Q2, it must obtain a rating of 1 in Q2, so that it will have a cumulative rating of 3 after 2 quarters, which is less than the cumulative rating of C after 2 quarters. If it gets a rating of 2 in Q2, then its cumulative becomes 4, which would be the same as C in that case, and because the rating in Q2 would be less for C in that case, it gets demoted to Novice, which is not the case. So, in the case of A getting 2 in Q1, it must get 1 in Q2.

After Q2, E and C will either have the same cumulative score or C will have 1 point more than E's cumulative score. For E to remain in Elite even after Q3, it must get a rating of 2 points in Q3, and C must get a rating of 1 point.

Putting all the calculated values, we get the final table as,

Q51 to Q50:

I. Asha received a rating of 2 in Quarter 1 - This is not necessarily true, as it can also be 3 in Quarter 1.
II. Asha received a rating of 1 in Quarter 2. - This is definitely true, as Asha received a rating of 1 in Quarter 1.

Only II is definitely correct.

Hence, the correct answer is option D.

Q56 to Q59:

Five countries engage in trade with each other. Each country levies import tariffs on the other countries. The import tariff levied by Country X on Country Y is calculated by multiplying the corresponding tariff percentage with the total imports of Country X from Country Y. 

The radar chart below depicts different import tariff percentages charged by each of the five countries on the others. For example, US (the blue line in the chart) charges 20%, 40%, 30%, and 30% import tariff percentages on imports from France, India, Japan, and UK, respectively. The bar chart depicts the import tariffs levied by each county on other countries. For example, US charged import tariff of 3 billion USD on UK.


Q56 to Q59:

Q56 to Q59:

Assume that imports from one country to another equals the exports from the latter to the former.
The trade surplus of Country X with Country Y is defined as follows.
Trade surplus = Exports from Country X to Country Y - Imports to Country X from Country Y.

A negative trade surplus is called trade deficit.

Q56: How much is Japan's export to India worth?
(a) 8.5 Billion USD
(b) 16.0 Billion USD
(c) 7.0 Billion USD
(d) 1.75 Billion USD

Ans: c

Sol: The values given in both charts together are represented in the table below, with the import tariff percentages charged by each of the five countries on the others represented as a percentage, and the import tariffs levied by each country on other countries are represented in brackets(in billion USD).

Q56 to Q59:

Japan's export to India would be the same as India's import from Japan.

India is charging a 50% tariff on Japan, and the tariff by India on Japan equals 3.5 billion USD.

So, 50% of the imports equals 3.5 billion USD.
Q56 to Q59:
The value of imports by India from Japan = Japan's export to India = 7 billion USD.

Hence, the correct answer is option C.

Q57: Which among the following is the highest?
(a) 
Exports by Japan to UK 
(b) 
Imports by US from France 
(c) 
Exports by France to Japan 
(d) 
Imports by France from India

Ans: b

Sol: The values given in both charts together are represented in the table below, with the import tariff percentages charged by each of the five countries on the others represented as a percentage, and the import tariffs levied by each country on other countries are represented in brackets(in billion USD).

Q56 to Q59:

Option A) Exports by Japan to the UK would be the same as the UK's imports from Japan.

The UK is charging a 40% tariff on Japan, and the tariff imposed by the UK on Japan equals 6 billion USD.

So, 40% of the imports equals 6 billion USD.
Q56 to Q59:
The value of imports by the UK from Japan = Japan's export to the UK = 15 billion USD.

Option B) Imports by the US from France.

The US is charging a 20% tariff on France, and the tariff by the US on France equals 6 billion USD.

So, 20% of the imports equals 6 billion USD.
Q56 to Q59:
 

The value of imports by the US from France = 30 billion USD.

Option C) Exports by France to Japan would be the same as Japan's imports from France.

Japan is charging a 30% tariff on France, and the tariff by Japan on France equals 3 billion USD.

So, 30% of the imports equals 3 billion USD.
Q56 to Q59:
 

The value of imports by Japan from France = France's export to Japan = 10 billion USD.

Option D) Imports by France from India.

France is charging a 40% tariff on India, and the tariff by France on India equals 6.5 billion USD.

So, 40% of the imports equals 6.5 billion USD.
Q56 to Q59:
 

The value of imports by France from India = 16.25 billion USD.

Out of all the options, the value of imports by the US from France is the highest.

Hence, the correct answer is option B.

Q58: What is the trade surplus/trade deficit of India with UK?
(a) Surplus of 15.0 Billion USD
(b) 
Deficit of 15.0 Billion USD
(c) 
Surplus of 10.0 Billion USD
(d) 
Deficit of 10.0 Billion USD

Ans: b
Sol: The values given in both charts together are represented in the table below, with the import tariff percentages charged by each of the five countries on the others represented as a percentage, and the import tariffs levied by each country on other countries are represented in brackets(in billion USD).

Q56 to Q59:

Trade surplus/trade deficit of India with the UK = Exports from India to the UK - Imports from India to the UK

Exports by India to the UK would be the same as the UK's imports from India.

The UK is charging a 30% tariff on India, and the tariff imposed by the UK on India equals 3 billion USD.

So, 30% of the imports equals 3 billion USD.
Q56 to Q59:
 

The value of imports by the UK from India = India's export to the UK = 10 billion USD. 

Imports by India from the UK can be calculated as,

India is charging a 20% tariff on the UK, and the tariff imposed by India on the UK equals 5 billion USD.

So, 20% of the imports equals 5 billion USD.
Q56 to Q59:
 

The value of imports by India from the UK = 25 billion USD.

We can clearly see that the Imports are greater than the exports for India from the UK. So, the trade deficit can be calculated as,

Trade deficit = Exports from India to the UK - Imports from India to the UK = 10 billion USD - 25 billion USD = -15 billion USD.

So, there is a deficit of 15 billion USD.

Hence, the correct answer is option B. 

Q59: Among France and UK, who has/have trade surplus(es) with US?
(a) Neither France nor UK
(b) 
Both France and UK
(c) 
Only UK
(d) 
Only France

Ans: d
Sol: The values given in both charts together are represented in the table below, with the import tariff percentages charged by each of the five countries on the others represented as a percentage, and the import tariffs levied by each country on other countries are represented in brackets(in billion USD).

Q56 to Q59:

For France - Trade surplus/trade deficit of France with the US = Exports from France to the US - Imports from the US to France

Exports by France to the US would be the same as the US's imports from France.

The US is charging a 20% tariff on India, and the tariff imposed by the US on France equals 6 billion USD.

So, 20% of the imports equals 6 billion USD.
Q56 to Q59:
 The value of imports by the US from France = France's export to the US = 30 billion USD.

Imports by France from the US can be calculated as,

France is charging a 30% tariff on the US, and the tariff imposed by France on the US equals 5.5 billion USD.

So, 30% of the imports equals 5.5 billion USD.
Q56 to Q59:
 The value of imports by France from the US = 18.34 billion USD.

We can clearly see that the Imports are less than the exports for France from the US. So, the trade surplus can be calculated as,

Trade surplus = Exports from France to the US - Imports from France to the US = 30 billion USD - 18.34 billion USD = 11.67 billion USD.

So, there is a surplus of 11.67 billion USD.

For the UK - The Trade surplus/trade deficit of the UK with the US = Exports from the UK to the US - Imports from the US to the UK

Exports by the UK to the US would be the same as the US's imports from the UK.

The US is charging a 30% tariff on the UK, and the tariff imposed by the US on the UK equals 3 billion USD.

So, 30% of the imports equals 3 billion USD.
Q56 to Q59:

The value of imports by the US from the UK = The UK's export to the US = 10 billion USD.

Imports by the UK from the US can be calculated as,

The UK is charging a 20% tariff on the US, and the tariff imposed by the UK on the US equals 2.5 billion USD.

So, 20% of the imports equals 2.5 billion USD.
Q56 to Q59:
 The value of imports by the UK from the US = 12.5 billion USD.

We can clearly see that the Imports are greater than the exports for the UK from the US. So, the trade deficit can be calculated as,

Trade deficit = Exports from the UK to the US - Imports from the UK to the US = 10 billion USD - 12.5 billion USD = -2.5 billion USD.

So, there is a deficit of 2.5 billion USD.

We can see that France has a surplus and the UK has a deficit with the UK.

Hence, the correct answer is option D.

Q60 to Q64:

A train travels from Station A to Station E, passing through stations B, C, and D, in that order. The train has a seating capacity of 200. A ticket may be booked from any station to any other station ahead on the route, but not to any earlier station. 

A ticket from one station to another reserves one seat on every intermediate segment of the route. For example, a ticket from B to E reserves a seat in the intermediate segments B - C, C - D, and D - E.

The occupancy factor for a segment is the total number of seats reserved in the segment as a percentage of the seating capacity. The total number of seats reserved for any segment cannot exceed 200.

The following information is known.

  1. Segment C - D had an occupancy factor of 95%. Only segment B - C had a higher occupancy factor.
  2. Exactly 40 tickets were booked from B to C and 30 tickets were booked from B to E.
  3. Among the seats reserved on segment D - E, exactly four-sevenths were from stations before C.
  4. The number of tickets booked from A to C was equal to that booked from A to E, and it was higher than that from B to E.
  5. No tickets were booked from A to B, from B to D and from D to E.
  6. The number of tickets booked for any segment was a multiple of 10.

Q60: What was the occupancy factor for segment D - E?
(a) 35%
(b) 70%
(c) 77%
(d) 84%

Ans: b
Sol: Assuming the tickets from A - C, A - D, and A - E to be a,b and c, respectively. Also, assuming the tickets from C - D and C - E to be x and y, respectively. We are also given that the number of tickets from A - C is equal to the number of tickets booked from A - E, so the value of a = c. We are also given that 40 tickets were booked from B to C, and 30 tickets were booked from B to E. Other information provided is that no tickets were booked from A to B, from B to D, or from D to E.

Putting all the given information in the table, we get,

Q60 to Q64:

From the above table, the tickets in the segments A - B, B - C, C - D and D - E can be calculated as,

Q60 to Q64:

We are given that segment C - D had an occupancy factor of 95%. We can calculate the number of seats occupied in the segment C - D as,

Seats occupied in segment Q60 to Q64:
 

We are given that the B - C segment had more occupancy than the C - D segment. We are also given that a, b, c, x and y are multiples of 10 as per clue 6.

We also know that the people on board in a segment cannot be more than 200. The only value greater than 190 that is a multiple of 10 is 200. So, B - C segment had 200 seats occupied.

Equating it with the above equation, we get,
Q60 to Q64:
We are also given that among the seats reserved on segment D - E, exactly four-sevenths were from stations before C. The seats reserved on segment D - E before station C are a + 30.

Equating the expressions, we get,
Q60 to Q64:
So, the seats occupied during Q60 to Q64:

We know that this value has to be an integer.
We are given that the number of tickets booked from A to C was higher than that from B to E. This means that the value of a > 30.
We know that a and b are positive multiples of 10, so the possible values of a that are greater than 30 and satisfy the equation (1) are 40, 50 and 60.
The only value of a at which the equation (3) is an integer is when a + 30 is a multiple of 4, and the only value out of the above values that satisfies the condition is when a = 50, as at a = 40 and 60, the value of a + 30 is not a multiple of 4.
We can conclude that the value of a = 50, and substituting in (1), we get the value of b = 30.
Substituting in (3), we get,
Q60 to Q64:

Putting all the values in the table, we get,

Q60 to Q64:
Q60 to Q64:

Occupancy factor of segment D - E can be calculated as,
Q60 to Q64:
Hence, the correct answer is option B.

Q61: How many tickets were booked from Station A to Station E?

Ans: 50
Sol: Assuming the tickets from A - C, A - D, and A - E to be a,b and c, respectively. Also, assuming the tickets from C - D and C - E to be x and y, respectively. We are also given that the number of tickets from A - C is equal to the number of tickets booked from A - E, so the value of a = c. We are also given that 40 tickets were booked from B to C, and 30 tickets were booked from B to E. Other information provided is that no tickets were booked from A to B, from B to D, or from D to E.

Putting all the given information in the table, we get,

Q60 to Q64:

From the above table, the tickets in the segments A - B, B - C, C - D and D - E can be calculated as,

Q60 to Q64:

We are given that segment C - D had an occupancy factor of 95%. We can calculate the number of seats occupied in the segment C - D as,

Seats occupied in segment Q60 to Q64:
 We are given that the B - C segment had more occupancy than the C - D segment. We are also given that a, b, c, x and y are multiples of 10 as per clue 6.

We also know that the people on board in a segment cannot be more than 200. The only value greater than 190 that is a multiple of 10 is 200. So, B - C segment had 200 seats occupied.

Equating it with the above equation, we get,
Q60 to Q64:
We are also given that among the seats reserved on segment D - E, exactly four-sevenths were from stations before C. The seats reserved on segment D - E before station C are a + 30.

Equating the expressions, we get,
Q60 to Q64:
So, the seats occupied during Q60 to Q64:

We know that this value has to be an integer.
We are given that the number of tickets booked from A to C was higher than that from B to E. This means that the value of a > 30.
We know that a and b are positive multiples of 10, so the possible values of a that are greater than 30 and satisfy the equation (1) are 40, 50 and 60.
The only value of a at which the equation (3) is an integer is when a + 30 is a multiple of 4, and the only value out of the above values that satisfies the condition is when a = 50, as at a = 40 and 60, the value of a + 30 is not a multiple of 4.
We can conclude that the value of a = 50, and substituting in (1), we get the value of b = 30.
Substituting in (3), we get,
Q60 to Q64:

Putting all the values in the table, we get,

Q60 to Q64:
Q60 to Q64:

The number of tickets booked from station A to E from the above table is 50.

Hence, the correct answer is 50.

Q62: How many tickets were booked from Station C?

Ans: 80
Sol: Assuming the tickets from A - C, A - D, and A - E to be a,b and c, respectively. Also, assuming the tickets from C - D and C - E to be x and y, respectively. We are also given that the number of tickets from A - C is equal to the number of tickets booked from A - E, so the value of a = c. We are also given that 40 tickets were booked from B to C, and 30 tickets were booked from B to E. Other information provided is that no tickets were booked from A to B, from B to D, or from D to E.

Putting all the given information in the table, we get,

Q60 to Q64:

From the above table, the tickets in the segments A - B, B - C, C - D and D - E can be calculated as,

Q60 to Q64:

We are given that segment C - D had an occupancy factor of 95%. We can calculate the number of seats occupied in the segment C - D as,

Seats occupied in segment Q60 to Q64:
 We are given that the B - C segment had more occupancy than the C - D segment. We are also given that a, b, c, x and y are multiples of 10 as per clue 6.

We also know that the people on board in a segment cannot be more than 200. The only value greater than 190 that is a multiple of 10 is 200. So, B - C segment had 200 seats occupied.

Equating it with the above equation, we get,
Q60 to Q64:
We are also given that among the seats reserved on segment D - E, exactly four-sevenths were from stations before C. The seats reserved on segment D - E before station C are a + 30.

Equating the expressions, we get,
Q60 to Q64:
So, the seats occupied during Q60 to Q64:

We know that this value has to be an integer.
We are given that the number of tickets booked from A to C was higher than that from B to E. This means that the value of a > 30.
We know that a and b are positive multiples of 10, so the possible values of a that are greater than 30 and satisfy the equation (1) are 40, 50 and 60.
The only value of a at which the equation (3) is an integer is when a + 30 is a multiple of 4, and the only value out of the above values that satisfies the condition is when a = 50, as at a = 40 and 60, the value of a + 30 is not a multiple of 4.
We can conclude that the value of a = 50, and substituting in (1), we get the value of b = 30.
Substituting in (3), we get,
Q60 to Q64:

Putting all the values in the table, we get,

Q60 to Q64:
Q60 to Q64:

Number of tickets booked from station C = 20 + 60 = 80.

Hence, the correct answer is 80.

Q63: What is the difference between the number of tickets booked to Station C and the number of tickets booked to Station D?

Ans: 40
Sol: Assuming the tickets from A - C, A - D, and A - E to be a,b and c, respectively. Also, assuming the tickets from C - D and C - E to be x and y, respectively. We are also given that the number of tickets from A - C is equal to the number of tickets booked from A - E, so the value of a = c. We are also given that 40 tickets were booked from B to C, and 30 tickets were booked from B to E. Other information provided is that no tickets were booked from A to B, from B to D, or from D to E.

Putting all the given information in the table, we get,

Q60 to Q64:

From the above table, the tickets in the segments A - B, B - C, C - D and D - E can be calculated as,

Q60 to Q64:

We are given that segment C - D had an occupancy factor of 95%. We can calculate the number of seats occupied in the segment C - D as,

Seats occupied in segment Q60 to Q64:
 We are given that the B - C segment had more occupancy than the C - D segment. We are also given that a, b, c, x and y are multiples of 10 as per clue 6.

We also know that the people on board in a segment cannot be more than 200. The only value greater than 190 that is a multiple of 10 is 200. So, B - C segment had 200 seats occupied.

Equating it with the above equation, we get,
Q60 to Q64:
We are also given that among the seats reserved on segment D - E, exactly four-sevenths were from stations before C. The seats reserved on segment D - E before station C are a + 30.

Equating the expressions, we get,
Q60 to Q64:
So, the seats occupied during Q60 to Q64:

We know that this value has to be an integer.
We are given that the number of tickets booked from A to C was higher than that from B to E. This means that the value of a > 30.
We know that a and b are positive multiples of 10, so the possible values of a that are greater than 30 and satisfy the equation (1) are 40, 50 and 60.
The only value of a at which the equation (3) is an integer is when a + 30 is a multiple of 4, and the only value out of the above values that satisfies the condition is when a = 50, as at a = 40 and 60, the value of a + 30 is not a multiple of 4.
We can conclude that the value of a = 50, and substituting in (1), we get the value of b = 30.
Substituting in (3), we get,
Q60 to Q64:

Putting all the values in the table, we get,

Q60 to Q64:
Q60 to Q64:

The number of tickets booked to station C = 50 + 40 = 90

The number of tickets booked to station D = 30 + 20 = 50

Difference = 90 - 50 = 40.

Hence, the correct answer is 40.

Q64: How many tickets were booked to travel in exactly one segment?

Ans: 60
Sol: Assuming the tickets from A - C, A - D, and A - E to be a,b and c, respectively. Also, assuming the tickets from C - D and C - E to be x and y, respectively. We are also given that the number of tickets from A - C is equal to the number of tickets booked from A - E, so the value of a = c. We are also given that 40 tickets were booked from B to C, and 30 tickets were booked from B to E. Other information provided is that no tickets were booked from A to B, from B to D, or from D to E.

Putting all the given information in the table, we get,

Q60 to Q64:

From the above table, the tickets in the segments A - B, B - C, C - D and D - E can be calculated as,

Q60 to Q64:

We are given that segment C - D had an occupancy factor of 95%. We can calculate the number of seats occupied in the segment C - D as,

Seats occupied in segment Q60 to Q64:
 We are given that the B - C segment had more occupancy than the C - D segment. We are also given that a, b, c, x and y are multiples of 10 as per clue 6.

We also know that the people on board in a segment cannot be more than 200. The only value greater than 190 that is a multiple of 10 is 200. So, B - C segment had 200 seats occupied.

Equating it with the above equation, we get,
Q60 to Q64:
We are also given that among the seats reserved on segment D - E, exactly four-sevenths were from stations before C. The seats reserved on segment D - E before station C are a + 30.

Equating the expressions, we get,
Q60 to Q64:
So, the seats occupied during Q60 to Q64:

We know that this value has to be an integer.
We are given that the number of tickets booked from A to C was higher than that from B to E. This means that the value of a > 30.
We know that a and b are positive multiples of 10, so the possible values of a that are greater than 30 and satisfy the equation (1) are 40, 50 and 60.
The only value of a at which the equation (3) is an integer is when a + 30 is a multiple of 4, and the only value out of the above values that satisfies the condition is when a = 50, as at a = 40 and 60, the value of a + 30 is not a multiple of 4.
We can conclude that the value of a = 50, and substituting in (1), we get the value of b = 30.
Substituting in (3), we get,
Q60 to Q64:

Putting all the values in the table, we get,

Q60 to Q64:
Q60 to Q64:

The number of tickets booked for exactly one segment can be calculated using values from the above table as,

Tickets booked for exactly one segment = A - B + B - C + C - D + D - E = 0 + 40 + 20 + 0 = 60.

Hence, the correct answer is 60.

Q65 to Q68:

Alia, Badal, Clive, Dilshan, and Ehsaan played a game in which each asks a unique question to all the others and they respond by tapping their feet, either once or twice or thrice. One tap means "Yes", two taps mean "No", and three taps mean "Maybe". 

A total of 40 taps were heard across the five questions. Each question received at least one "Yes", one "No", and one "Maybe."

The following information is known.

  1. Alia tapped a total of 6 times and received 9 taps to her question. She responded "Yes" to the questions asked by both Clive and Dilshan.
  2. Dilshan and Ehsaan tapped a total of 11 and 9 times respectively. Dilshan responded "No" to Badal.
  3. Badal, Dilshan, and Ehsaan received equal number of taps to their respective questions.
  4. No one responded "Yes" more than twice.
  5. No one's answer to Alia's question matched the answer that Alia gave to that person's question. This was also true for Ehsaan.
  6. Clive tapped more times in total than Badal.

Q65: How many taps did Clive receive for his question?

Ans: 7
Sol: We are given that Alia tapped 6 times, Dilshan tapped 11 times, and Ehsan tapped 9 times. We also know that the total number of taps is 40. So, the sum of taps by Badal and Clive can be calculated as,

6 + Badal + Clive + 11 + 9 = 40

Badal + Clive = 14

We are given that taps by Clive are more than taps by Badal.

So, the possible pairs for taps by Clive and Badal such that the sum is 14 are (8, 6), (9, 5), (10, 4)...(14, 0).

We are given that no one gave more than two 'Yes' answers. We know that yes means one tap. So, the maximum number of 1 taps out of the 4 questions answered can be 2. The minimum possible number of taps for any person for the four questions would be 1 + 1 + 2 + 2 = 6. It is not possible for any person to have fewer than 6 taps as the maximum number of yes is 2.

So, out of all the possibilities, the only possible case for Badal is 6, and Clive is 8, as in all the other cases, the number by Badal was less than 6.

We are given that Alia answered Yes to Clive and Dilshan's questions. We know that the total number of taps by Alia is 6, and she tapped once for both those questions. The number of taps by Alia to the questions by Badal and Ehsan must be greater than 1, as we know that a person must have a maximum of two single taps. The sum of taps by Alia to Badal and Ehsan can be calculated as, 

Badal + 1 + 1 + Ehsan = 6

Badal + Ehsan = 4

We know that both the values are greater than 1 and their sum is 4, so the only possibility is for both of them to be equal to 2.

So, Alia tapped twice for both Badal and Ehsan.

We are given that Dilshan answered no to Badal's question which means he tapped twice. The total number of taps by Dilshan is 11. So, the sum of taps from Alia, Clive and Ehsan's questions can be calculated as,

Alia + 2 + Clive + Ehsan = 11

Alia + Clive + Ehsan = 9

We know that the maximum possibility for each of the values is 3, and for the sum to be 9, all the values must be equal to 3.

We are given that taps received for the questions by Badal, Dilshan and Ehsan are equal, so let us assume the value to be a.

Putting all the calculated values in the table, we get,

Q65 to Q68:

We know that each question received atleast one yes, one no and one maybe as an answer. If we examine the question asked by B, we already have two 'No's, so out of the other two, one must be 'Yes', and the other must be 'Maybe'. The taps received by B can be calculated as 2 + 2 + 1 + 3 = 8. We calculated the value of a to be 8, and the value of taps received by C can be calculated as,

9 + 8 + c + 8 + 8  = 40

c = 7

So, the number of taps received by Clive is 7.

Hence, the correct answer is 7.

Q66: Which two people tapped an equal number of times in total?
(a) Badal and Dilshan 
(b) 
Clive and Ehsaan 
(c) 
Dilshan and Clive 
(d) 
Alia and Badal

Ans: d
Sol: We are given that Alia tapped 6 times, Dilshan tapped 11 times, and Ehsan tapped 9 times. We also know that the total number of taps is 40. So, the sum of taps by Badal and Clive can be calculated as,

6 + Badal + Clive + 11 + 9 = 40

Badal + Clive = 14

We are given that taps by Clive are more than taps by Badal.

So, the possible pairs for taps by Clive and Badal such that the sum is 14 are (8, 6), (9, 5), (10, 4)...(14, 0).

We are given that no one gave more than two 'Yes' answers. We know that yes means one tap. So, the maximum number of 1 taps out of the 4 questions answered can be 2. The minimum possible number of taps for any person for the four questions would be 1 + 1 + 2 + 2 = 6. It is not possible for any person to have fewer than 6 taps as the maximum number of yes is 2.

So, out of all the possibilities, the only possible case for Badal is 6, and Clive is 8, as in all the other cases, the number by Badal was less than 6.

We are given that Alia answered Yes to Clive and Dilshan's questions. We know that the total number of taps by Alia is 6, and she tapped once for both those questions. The number of taps by Alia to the questions by Badal and Ehsan must be greater than 1, as we know that a person must have a maximum of two single taps. The sum of taps by Alia to Badal and Ehsan can be calculated as,

Badal + 1 + 1 + Ehsan = 6

Badal + Ehsan = 4

We know that both the values are greater than 1 and their sum is 4, so the only possibility is for both of them to be equal to 2.

So, Alia tapped twice for both Badal and Ehsan.

We are given that Dilshan answered no to Badal's question which means he tapped twice. The total number of taps by Dilshan is 11. So, the sum of taps from Alia, Clive and Ehsan's questions can be calculated as,

Alia + 2 + Clive + Ehsan = 11

Alia + Clive + Ehsan = 9

We know that the maximum possibility for each of the values is 3, and for the sum to be 9, all the values must be equal to 3.

We are given that taps received for the questions by Badal, Dilshan and Ehsan are equal, so let us assume the value to be a.

Putting all the calculated values in the table, we get,

Q65 to Q68:

Alia and Badal are the only people with an equal number of taps.

Hence, the correct answer is option D.

Q67: What was Clive's response to Ehsaan's question?
(a) No 
(b) 
Maybe 
(c) 
Cannot be determined 
(d) 
Yes

Ans: a
Sol: We are given that Alia tapped 6 times, Dilshan tapped 11 times, and Ehsan tapped 9 times. We also know that the total number of taps is 40. So, the sum of taps by Badal and Clive can be calculated as,

6 + Badal + Clive + 11 + 9 = 40

Badal + Clive = 14

We are given that taps by Clive are more than taps by Badal.

So, the possible pairs for taps by Clive and Badal such that the sum is 14 are (8, 6), (9, 5), (10, 4)...(14, 0).

We are given that no one gave more than two 'Yes' answers. We know that yes means one tap. So, the maximum number of 1 taps out of the 4 questions answered can be 2. The minimum possible number of taps for any person for the four questions would be 1 + 1 + 2 + 2 = 6. It is not possible for any person to have fewer than 6 taps as the maximum number of yes is 2.

So, out of all the possibilities, the only possible case for Badal is 6, and Clive is 8, as in all the other cases, the number by Badal was less than 6.

We are given that Alia answered Yes to Clive and Dilshan's questions. We know that the total number of taps by Alia is 6, and she tapped once for both those questions. The number of taps by Alia to the questions by Badal and Ehsan must be greater than 1, as we know that a person must have a maximum of two single taps. The sum of taps by Alia to Badal and Ehsan can be calculated as,

Badal + 1 + 1 + Ehsan = 6

Badal + Ehsan = 4

We know that both the values are greater than 1 and their sum is 4, so the only possibility is for both of them to be equal to 2.

So, Alia tapped twice for both Badal and Ehsan.

We are given that Dilshan answered no to Badal's question which means he tapped twice. The total number of taps by Dilshan is 11. So, the sum of taps from Alia, Clive and Ehsan's questions can be calculated as,

Alia + 2 + Clive + Ehsan = 11

Alia + Clive + Ehsan = 9

We know that the maximum possibility for each of the values is 3, and for the sum to be 9, all the values must be equal to 3.

We are given that taps received for the questions by Badal, Dilshan and Ehsan are equal, so let us assume the value to be a.

Putting all the calculated values in the table, we get,

Q65 to Q68:

We know that each question received atleast one yes, one no and one maybe as an answer. If we examine the question asked by B, we already have two 'No's, so out of the other two, one must be 'Yes', and the other must be 'Maybe'. The taps received by B can be calculated as 2 + 2 + 1 + 3 = 8. We calculated the value of a to be 8, and the value of taps received by C can be calculated as,

9 + 8 + c + 8 + 8 = 40

c = 7

So, the number of taps received by Clive is 7.

Q65 to Q68:

We are given that the answer by Alia does not match the answers people gave to her question. We know that the taps by Badal have to be 1, 1, 2 and 2 in some order. We know that Alia tapped twice to Badal's question, so Badal cannot tap twice to Alia's question, which means Badal tapped once for Alia's question. Now the sum of Clive and Ehsan's taps for Alia's question has to be 9 - 3 - 1 = 5. So, they have to be 2 and 3 in some order. We also know that Alia's answer to Ehsan's question is 2, so Ehsan has only one option to answer Alia, which is 3, and Clive's answer to Alia's question is 2.

Badal and Ehsan's answer to Clive's question has to be 1 and 2 in some order. Similarly, Badal and Clive's answers to Ehsan's question have to be 1 and 3 in some order.

We can also calculate the sum of taps by Badal, Clive and Ehsan to Dilshan's question is 8 - 1 = 7. So, their taps have to be 2, 2 and 3 in some order as this is the only possibility satisfying the condition of at least one Yes, one No and one Maybe for every question. We know that a tap Badal has to be either one or two, so the only possibility for Badal's answer to Dilshan's question is 2 and the other two has to be two and three in some order.

Q65 to Q68:

We are also given that the answer by Ehsan does not match the answers people gave to his question. Dilshan's answer to Ehsan's question is 3, so the answer by Ehsan to Dilshan's question has to be 2.

The answer by Clive to Badal's question has to be 1, as if it is 3, then the answer to Ehsan's question by Clive becomes 0, which is not possible. With that value, we can determine all the other values and putting the values in the table, we get,

Q65 to Q68:

Clive's answer to Ehsan's question is No, which is denoted by 2.

Hence, the correct answer is option A.

Q68: How many "Yes" responses were received across all the questions?

Ans: 6
Sol: We are given that Alia tapped 6 times, Dilshan tapped 11 times, and Ehsan tapped 9 times. We also know that the total number of taps is 40. So, the sum of taps by Badal and Clive can be calculated as,

6 + Badal + Clive + 11 + 9 = 40

Badal + Clive = 14

We are given that taps by Clive are more than taps by Badal.

So, the possible pairs for taps by Clive and Badal such that the sum is 14 are (8, 6), (9, 5), (10, 4)...(14, 0).

We are given that no one gave more than two 'Yes' answers. We know that yes means one tap. So, the maximum number of 1 taps out of the 4 questions answered can be 2. The minimum possible number of taps for any person for the four questions would be 1 + 1 + 2 + 2 = 6. It is not possible for any person to have fewer than 6 taps as the maximum number of yes is 2.

So, out of all the possibilities, the only possible case for Badal is 6, and Clive is 8, as in all the other cases, the number by Badal was less than 6.

We are given that Alia answered Yes to Clive and Dilshan's questions. We know that the total number of taps by Alia is 6, and she tapped once for both those questions. The number of taps by Alia to the questions by Badal and Ehsan must be greater than 1, as we know that a person must have a maximum of two single taps. The sum of taps by Alia to Badal and Ehsan can be calculated as,

Badal + 1 + 1 + Ehsan = 6

Badal + Ehsan = 4

We know that both the values are greater than 1 and their sum is 4, so the only possibility is for both of them to be equal to 2.

So, Alia tapped twice for both Badal and Ehsan.

We are given that Dilshan answered no to Badal's question which means he tapped twice. The total number of taps by Dilshan is 11. So, the sum of taps from Alia, Clive and Ehsan's questions can be calculated as,

Alia + 2 + Clive + Ehsan = 11

Alia + Clive + Ehsan = 9

We know that the maximum possibility for each of the values is 3, and for the sum to be 9, all the values must be equal to 3.

We are given that taps received for the questions by Badal, Dilshan and Ehsan are equal, so let us assume the value to be a.

Putting all the calculated values in the table, we get,

Q65 to Q68:

We know that each question received atleast one yes, one no and one maybe as an answer. If we examine the question asked by B, we already have two 'No's, so out of the other two, one must be 'Yes', and the other must be 'Maybe'. The taps received by B can be calculated as 2 + 2 + 1 + 3 = 8. We calculated the value of a to be 8, and the value of taps received by C can be calculated as,

9 + 8 + c + 8 + 8 = 40

c = 7

So, the number of taps received by Clive is 7.

Q65 to Q68:

We are given that the answer by Alia does not match the answers people gave to her question. We know that the taps by Badal have to be 1, 1, 2 and 2 in some order. We know that Alia tapped twice to Badal's question, so Badal cannot tap twice to Alia's question, which means Badal tapped once for Alia's question. Now the sum of Clive and Ehsan's taps for Alia's question has to be 9 - 3 - 1 = 5. So, they have to be 2 and 3 in some order. We also know that Alia's answer to Ehsan's question is 2, so Ehsan has only one option to answer Alia, which is 3, and Clive's answer to Alia's question is 2.

Badal and Ehsan's answer to Clive's question has to be 1 and 2 in some order. Similarly, Badal and Clive's answers to Ehsan's question have to be 1 and 3 in some order.

We can also calculate the sum of taps by Badal, Clive and Ehsan to Dilshan's question is 8 - 1 = 7. So, their taps have to be 2, 2 and 3 in some order as this is the only possibility satisfying the condition of at least one Yes, one No and one Maybe for every question. We know that a tap Badal has to be either one or two, so the only possibility for Badal's answer to Dilshan's question is 2 and the other two has to be two and three in some order.

Q65 to Q68:

We are also given that the answer by Ehsan does not match the answers people gave to his question. Dilshan's answer to Ehsan's question is 3, so the answer by Ehsan to Dilshan's question has to be 2.

The answer by Clive to Badal's question has to be 1, as if it is 3, then the answer to Ehsan's question by Clive becomes 0, which is not possible. With that value, we can determine all the other values and putting the values in the table, we get,

Q65 to Q68:

The total number of Yes responses is equal to the number of 1's in the table, which is 6.

Hence, the correct answer is 6.

The document CAT 2025 Slot 1: Past Year Question Paper is a part of the CAT Course CAT Mock Test Series 2026.
All you need of CAT at this link: CAT

FAQs on CAT 2025 Slot 1: Past Year Question Paper

1. What is the format of the VARC section in the CAT exam?
Ans. The VARC (Verbal Ability and Reading Comprehension) section in the CAT exam typically consists of reading comprehension passages, grammar-based questions, and vocabulary-based questions. It assesses candidates' understanding of language and their ability to comprehend written texts.
2. How can candidates prepare effectively for the Quantitative Ability section of the CAT?
Ans. Candidates can prepare effectively for the Quantitative Ability section by regularly practising quantitative problems, focusing on key topics such as arithmetic, algebra, geometry, and data interpretation. They should also take mock tests to improve their speed and accuracy.
3. What types of questions are included in the Logical Reasoning and Data Interpretation (LRDI) section?
Ans. The Logical Reasoning and Data Interpretation (LRDI) section includes questions that require candidates to analyse data presented in various forms, such as tables, charts, and graphs, as well as logical reasoning puzzles. Candidates must demonstrate their ability to interpret data and solve problems logically.
4. What strategies can be used to tackle reading comprehension passages effectively?
Ans. To tackle reading comprehension passages effectively, candidates should first skim the passage to understand the main idea and structure. They should then read the questions carefully, refer back to the relevant sections of the passage, and eliminate incorrect options to enhance their chances of selecting the right answer.
5. How important is time management during the CAT examination?
Ans. Time management is crucial during the CAT examination as each section is timed, and candidates must complete all questions within the allotted time. Effective time management allows candidates to allocate adequate time to each section, ensuring they can attempt all questions and improve their overall score.
Explore Courses for CAT exam
Get EduRev Notes directly in your Google search
Related Searches
CAT 2025 Slot 1: Past Year Question Paper, study material, Objective type Questions, past year papers, mock tests for examination, Viva Questions, Semester Notes, shortcuts and tricks, Sample Paper, Previous Year Questions with Solutions, CAT 2025 Slot 1: Past Year Question Paper, MCQs, Free, CAT 2025 Slot 1: Past Year Question Paper, Exam, ppt, Summary, video lectures, pdf , Extra Questions, Important questions, practice quizzes;