Q1: Five jumbled sentences (labelled 1, 2, 3, 4, and 5), related to a topic, are given below. Four of them can be put together to form a coherent paragraph. Identify the odd sentence out and key in the number of that sentence as your answer.
Ans: 3
Sol: The sentences focus on a new scientific discovery: oxygen is being produced on the ocean floor, challenging the common belief that oxygen is produced only through photosynthesis.
We see a link between sentences 5 and 2 - with the structure "dont only" and "they also". These two together introduce the discovery. 4 continues by describing why this discovery is surprising. 1 adds to the discussion in 4 by showing that most oxygen is through photosynthesis making the oxygen production described in 4 an anamoly.
Sentence 3 interrupts this flow because it talks about how the research was done instead of what was discovered, making it the odd one out.
Q2: The passage given below is followed by four summaries.
The return to the tailor is the juxtaposition of three key things for the mindful Indian shopper. The first is the conscious shift away from the homogeneity of fast fashion, the idea of a hundred other people owning exactly the same Zara trench coat or H&M pleated skirt. The second is an actual understanding of the waste behind the fast fashion market, and wanting not to contribute to that anymore. The last is the shift toward customisation and fit-the idea of having imaginations brought to life and to have them fit exactly; without paying exorbitant rates for that bespoke tailoring. For the individual with a keen fashion sense and a genuine desire to move away from the waste and uniformity of fast fashion without paying the premium for it that indie brands would invariably demand, the tailor is the perfect crossover.
Choose the option that best captures the essence of the passage.
(a) The mindful Indian shoppers are returning to the tailor with a genuine desire to wear clothes which are less expensive, fit them well and are yet fashionable.
(b) The mindful Indian shopper is shifting away from convenience and uniformity of clothing, and waste in fashion, to customisation and less exorbitantly priced clothing.
(c) All Indian shoppers are opting for customisation and a shift away from homogeneity over expensive clothing brands like Zara and H&M.
(d) In the Indian retail market, people believe that expensive branded clothes are wasteful and, therefore, are returning to the neighbourhood tailor.
Ans: b
Sol: The passage says people are going back to tailors for three main reasons: they dislike the alike-ness (homogeneity) of fast fashion, are aware of the waste it causes, and want custom clothes that fit well without the high prices of indie or bespoke brands. Option B best sums up these points. It shows a move away from both alike-ness and waste in fashion, and also highlights customisation and affordable clothes. These align with the passage's focus on mindfulness, 'fit', sustainability, and affordability without oversimplifying or exaggerating.
Option A only talks about cheaper and better-fitting clothes, missing the points about waste and sameness. Option C is wrong because the passage refers to a mindful group of shoppers, not everyone in India. Option D oversimplifies by focusing just on rejecting expensive brands, while the passage is about leaving fast fashion and avoiding high prices.
Q3 to Q6:
The passage below is accompanied by four questions. Based on the passage, choose the best answer for each question.
In 1982, a raging controversy broke out over a forest act drafted by the Government of India. This act sought to strengthen the already extensive powers enjoyed by the forest bureaucracy in controlling the extraction, disposal and sale of forest produce. It also gave forest officials greater powers to strictly regulate the entry of any person into reserved forest areas. While forest officials justified the act on the grounds that it was necessary to stop the continuing deforestation, it was bitterly opposed by representatives of grassroots organisations, who argued that it was a major violation of the rights of peasants and tribals living in and around forest areas. . . .
The debate over the draft forest act fuelled a larger controversy over the orientation of state forest policy. It was pointed out, for example, that the draft act was closely modelled on its predecessor, the Forest Act of 1878. The earlier Act rested on a usurpation of rights of ownership by the colonial state which had little precedent in precolonial history. It was further argued that the system of forestry introduced by the British-and continued, with little modification, after 1947 -emphasised revenue generation and commercial exploitation, while its policing orientation excluded villagers who had the most longstanding claim on forest resources. Critics called for a complete overhaul of forest administration, pressing the government to formulate policy and legislation more appropriate to present needs. . . .
That debate is not over yet. The draft act was shelved, though it has not as yet been formally withdrawn. Meanwhile, the 1878 Act (as modified by an amendment in 1927) continues to be in operation. In response to its critics, the government has made some important changes in forest policy, e.g., no longer treating forests as a source of revenue, and stopping ecologically hazardous practices such as the clearfelling of natural forests. At the same time, it has shown little inclination to meet the major demand of the critics of forest policy-namely, abandoning the principle of state monopoly over forest land by handing over areas of degraded forests to
individuals and communities for afforestation.
. . . [The] 1878 Forest Act itself was passed only after a bitter and prolonged debate within the colonial bureaucracy, in which protagonists put forward arguments strikingly similar to those being advanced today. As is well known, the Indian Forest Department owes its origin to the requirements of railway companies. The early years of the expansion of the railway network, c. 1853 onwards, led to tremendous deforestation in peninsular India owing to the railway's requirements of fuelwood and construction timber. Huge quantities of durable timbers were also needed for use as sleepers across the newly laid tracks. Inexperienced in forestry, the British called in German experts to commence systematic forest management. The Indian Forest Department was started in 1864, with Dietrich Brandis, formerly a Lecturer at Bonn, as the first Inspector General of Forests. The new department needed legislative backing to function effectively, and in the following year, 1865, the first forest act was passed. . . .
Q3: Which one of the following best encapsulates the reason for the "raging controversy" developing into a "larger controversy"?
(a) The 1982 draft forest act replicated colonial measures of control and regulation of forest resources.
(b) The 1982 draft forest act was unjustifiably defended by forest officials in the face of bitter opposition by grassroots organisations.
(c) The 1982 draft forest act violated the rights of tribals and peasants who lived in and around forest areas.
(d) The 1982 draft forest act further enabled the commercial exploitation of forest resources by the forest bureaucracy.
Ans: a
Sol: The controversy became "larger" because the 1982 draft act was not seen as an isolated policy mistake, but as a continuation of an older, flawed framework. The passage clearly says that "the draft act was closely modelled on its predecessor, the Forest Act of 1878." This comparison expanded the debate from the immediate provisions of the new act to the entire historical orientation of forest policy. Critics were upset because the 1878 Act was based on "a usurpation of rights of ownership by the colonial state," focused on "revenue generation and commercial exploitation," and left out villagers who had long claimed rights to the forests. Since the 1982 draft act followed this colonial law, it seemed to repeat the same approach of central control and strict rules.
Options (b) and (c) describe why the act was opposed, but they do not explain why the issue widened into a broader historical and structural debate. Option (d) is incomplete, since the larger controversy was not just about commercial exploitation but about how the colonial mechanisms still continued to shape post-Independence forest policy. Hence, option (a) best captures why a raging controversy became a larger one.
Q4: All of the following, if true, would weaken the narrative presented in the passage EXCEPT that:
(a) certain tribal groups in India are responsible for climate change because their sustenance has historically depended on mass scale deforestation.
(b) before British rule, peasants and tribal groups were denied access to forest resources by Indian rulers and their administrations.
(c) the timber requirement for railway works in nineteenth century India was met through import from China, in exchange for spices.
(d) nineteenth century German forestry experts were infamous for violating the rights of indigenous communities that lived in forest regions.
Ans: d
Sol: Let us look at each option one by one.
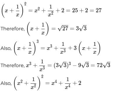
Option (a) would weaken the passage because it shifts responsibility for deforestation onto tribal communities. In the passage, peasants and tribals are presented as groups whose rights were curtailed by forest policy, and not as the primary cause of environmental damage.
Option (b) would weaken the argument too, as it contradicts a key claim made by the author. The passage clearly states that the colonial takeover of forest rights "had little precedent in precolonial history." If Indian rulers had already denied access to forests, this claim would not stand.
Option (c) undermines the historical foundation of the narrative. The passage links the emergence of forest laws to heavy timber demand from railway expansion. If timber was instead imported, the stated reason for creating the forest department would no longer hold.
Option (d) does not weaken the passage because it actually aligns with what the author is already arguing. The passage is critical of colonial forest administration and shows how it sidelined the rights of people living in forest areas. If German forestry experts were known to violate indigenous rights, that would only support this criticism, not challenge it. Hence, option (d) is the correct answer.
Q5: According to the passage, which one of the following is not common to the 1878 Forest Act and the 1982 draft forest act?
(a) Both sparked controversy and debate among the various stakeholders.
(b) Both reflect a colonial mindset.
(c) Both resulted in large scale deforestation.
(d) Both sought to establish the state's monopoly over forest resources.
Ans: c
Sol: Let's compare each option with what the passage actually states.
Option (a) is common to both. The passage says the 1982 draft act led to a "raging controversy," and the 1878 Forest Act was passed after a "bitter and prolonged debate within the colonial bureaucracy." This means both faced debate and opposition.
Option (b) is also shared. The 1982 draft act was criticised for being "closely modelled" on the 1878 Act, which was based on a colonial "usurpation of rights of ownership." This shows both were viewed as following the same colonial-style control.
Option (c) is not common to both. The passage links large-scale deforestation to the nineteenth century, especially railway expansion before the 1878 Act. In contrast, forest officials said the 1982 draft act aimed to "stop the continuing deforestation," not cause it.
Option (d) is clearly common to both. The passage criticises both the colonial act and post-Independence policy for keeping "the principle of state monopoly over forest land," which the government has continued to uphold.
Therefore, option (c) is the feature not shared by both acts.
Q6: According to the passage, which one of the following reforms is yet to happen in India's forest policies?
(a) Recognising the state's claim to forest land use.
(b) A ban on deforestation.
(c) Recognising the significance of forests to ecology.
(d) Involving local people in cultivating forests.
Ans: d
Sol: The passage indicates that some reforms in forest policy have already taken place. It notes that the government no longer treats forests as a source of revenue and has stopped "ecologically hazardous practices such as the clearfelling of natural forests," which rules out option (C) since ecological concerns are clearly being recognised. The continued operation of the 1878 Act and the government's reluctance to abandon state control show that the state's claim to forest land remains recognised, ruling out option (A). There is also no mention of a complete ban on deforestation; rather, the focus is on regulating harmful practices, so option (B) does not fit either.What the passage emphasises as still missing is the government's refusal to accept the main demand of critics: "handing over areas of degraded forests to individuals and communities for afforestation." This directly points to the continued exclusion of local people from forest cultivation and management. Hence, the reform yet to occur is option (D), involving local people in forest cultivation.
Q7: The given sentence is missing in the paragraph below. Decide where it best fits among the options 1, 2, 3, or 4 indicated in the paragraph.
Sentence: In each of the affected males, the genetic defect was located to the X chromosome in the region of p11-12.
Paragraph: The first suggested evidence of a human genetic mutation associated with aggressive behaviour came from a study in 1993. _____(1)____. Genetic and metabolic studies were conducted on a large Dutch family in which several of the males has a syndrome of borderline mental retardation and abnormal behaviour. _____(2)____. The undesirable behaviour included impulsive aggression, arson and exhibitionism. _____(3)____. A point mutation was identified in the eighth exon of the monoamine oxidase A (MAOA) structural gene which changes glutamine to a termination codon. _____(4)____.
(a) Option 3
(b) Option 4
(c) Option 2
(d) Option 1
Ans: a
Sol: The sentence about the defect being "located to the X chromosome in the region of p11-12" fits best after the description of the abnormal behaviour, i.e., at blank (3). The paragraph starts by introducing the study and its context, then says that "Genetic and metabolic studies were conducted on a large Dutch family..." , and next describes "the undesirable behaviour" like "impulsive aggression, arson and exhibitionism." After explaining these behaviours, it makes sense to mention the main genetic finding about the defect's location (the X chromosome, region p11-12), and then go into more detail that "a point mutation was identified in the eighth exon of the monoamine oxidase A (MAOA) structural gene...".
If we put the sentence at blank (1), it would mention the chromosomal location before explaining what kind of study or family was involved. At blank (2), it would break the connection between the study introduction and the explanation that genetic and metabolic studies were done. At blank (4), it would come after the specific point-mutation detail, which should come after the broader chromosomal location. So, the only position that keeps the story moving from study, to methods, to behaviour, to chromosomal location, and then to the precise mutation is blank (3).
Q8: The four sentences (labelled 1, 2, 3, and 4) given below, when properly sequenced, would yield a coherent paragraph. Decide on the proper sequencing of the order of the sentences and key in the sequence of the four numbers as your answer.
Ans: 2143
Sol: This paragraph looks at how photography changes electoral politics. Sentence 2 works best as the opening statement because it introduces the concrete practice: candidates placing their portrait on electoral material, and states that this act "presupposes that photography has a power to convert," setting up the need for explanation. Sentence 1 should come next because it explains how this power works. It shows how the candidate's image (effigy) creates a personal connection and shifts the focus from political judgment to appearance, posture, and daily habits, which helps explain the point made in sentence 2. Sentence 4 follows by showing the political result. If elections focus on personal image, photography "tends to restore the paternalistic nature of elections," which goes against party-based or proportional politics. This outcome builds on what sentences 2 and 1 describe. Sentence 3 should be last because it is the most general and evaluative. It sums up the argument by saying photography replaces politics as a set of problems with a "manner of being," and calls it an anti-intellectual weapon. This makes it a good conclusion, not a starting point.
The ideas should be presented in order: first observation, then analysis, and finally the consequence. So, the best order is 2143.
Q9 to Q12:
The passage below is accompanied by four questions. Based on the passage, choose the best answer for each question.
Once a society accepts a secular mode of creativity, within which the creator replaces God, imaginative transactions assume a self-conscious form. The tribal imagination, on the other hand, is still to a large extent dreamlike and hallucinatory. It admits fusion between various planes of existence and levels of time in a natural and artless manner. In tribal stories, oceans fly in the sky as birds, mountains swim in water as fish, animals speak as humans and stars grow like plants. Spatial order and temporal sequence do not restrict the narrative. This is not to say that tribal creations have no conventions or rules, but simply that they admit the principle of association between emotion and the narrative motif. Thus stars, seas, mountains, trees, men and animals can be angry, sad or happy.
It might be said that tribal artists work more on the basis of their racial and sensory memory than on the basis of a cultivated imagination. In order to understand this distinction, we must understand the difference between imagination and memory. In the animate world, consciousness meets two immediate material realities: space and time. We put meaning into space by perceiving it in terms of images. The image-making faculty is a genetic gift to the human mind-this power of imagination helps us understand the space that envelops us. With regard to time, we make connections with the help of memory; one remembers being the same person today as one was yesterday.
The tribal mind has a more acute sense of time than the sense of space. Somewhere along the history of human civilization, tribal communities seem to have realized that domination over territorial space was not their lot. Thus, they seem to have turned almost obsessively to gaining domination over time. This urge is substantiated in their ritual of conversing with their dead ancestors: year after year, tribals in many parts of India worship terracotta or carved-wood objects representing their ancestors, aspiring to enter a trance in which they can converse with the dead. Over the centuries, an amazingly sharp memory has helped tribals classify material and natural objects into a highly complex system of knowledge. . .
One of the main characteristics of the tribal arts is their distinct manner of constructing space and imagery, which might be described as 'hallucinatory'. In both oral and visual forms of representation, tribal artists seem to interpret verbal or pictorial space as demarcated by an extremely flexible 'frame'. The boundaries between art and non-art become almost invisible. A tribal epic can begin its narration from a trivial everyday event; tribal paintings merge with living space as if the two were one and the same. And within the narrative itself, or within the painted imagery, there is no deliberate attempt to follow a sequence. The episodes retold and the images created take on the apparently chaotic shapes of dreams. In a way, the syntax of language and the grammar of painting are the same, as if literature were painted words and painting were a song of images.
Q9: Non-human living forms exhibit human emotions in tribal narratives because tribal narratives:
(a) have a self-conscious form.
(b) accommodate existential fluidity.
(c) abandon all rules and regulations.
(d) are rudimentary and underdeveloped.
Ans: b
Sol: The passage explains that tribal imagination naturally blends different planes of existence. It mentions that tribal stories "admit fusion between various planes of existence and levels of time in a natural and artless manner," and that "stars, seas, mountains, trees, men and animals can be angry, sad or happy." This means emotions are not limited to humans and can pass across boundaries between living forms. What explains non-human forms having human emotions is the acceptance of fluid boundaries between beings, time, and space. Hence, the correct answer is Option B.
Option A is not correct because the passage contrasts tribal imagination with secular creativity, which is described as "self-conscious." Tribal stories are clearly not self-conscious. Option C is also wrong because the author says tribal creations do have conventions and rules. Option D is incorrect because the passage does not call tribal art undeveloped, but instead says it follows a different kind of imagination.
Q10: On the basis of the passage, which one of the following explains the main difference between imagination and memory?
(a) Imagination is a genetic gift to humans whereas memory is central to human consciousness.
(b) Tribal groups value memory over imagination when it comes to creating art and literature.
(c) Imagination needs to be cultivated whereas memory is more intuitive because it is racial and sensory.
(d) Imagination helps humans make sense of space while memory helps them understand time.
Ans: d
Sol: The passage explains the difference between imagination and memory by linking them to how humans deal with space and time. It says that we "put meaning into space" by forming images, and this image-making ability is imagination. When it comes to time, we rely on memory to make connections, such as recognising ourselves as the same person across different moments. So imagination helps us understand space, while memory helps us understand time, which leads directly to option D.
The other options do not address this main difference. Option A says imagination is a genetic gift, but also claims memory is central to consciousness, which the passage does not mention. Option B talks about tribal art preferences, but the question is about the general difference between imagination and memory. Option C incorrectly says imagination needs to be developed, even though the passage calls it a genetic ability.
Q11: Which one of the following best explains why tribals in India worship their dead ancestors?
(a) For tribals, conversing with the dead becomes a way of seeking control over time.
(b) Tribals show respect to their ancestors through terracotta and carved-wood objects.
(c) Tribals possess a sophisticated knowledge system that is based on memory.
(d) Tribals seek territorial domination over the spaces that they inhabit.
Ans: a
Sol: The passage explains ancestor worship in the context of how tribal communities relate to time rather than space, stating that the tribals realised they could not dominate territorial space, and as a result, they "turned almost obsessively to gaining domination over time." This idea is directly connected to the ritual of conversing with dead ancestors, where tribals aspire to enter a trance and communicate with those from the past. Worship is therefore not just reverence, but a way of overcoming temporal limits. This reasoning clearly leads to option A, which explains ancestor worship as a means of seeking control over time.
Option B only explains the way ancestors are worshipped, not the reason for it. Option C talks about the result of strong memory over time but does not address the main motivation for ancestor worship. Option D is the opposite of what the passage says, since it states that tribals did not try to control land.
Q12: All of the following, if true, would weaken the passage's claims about the hallucinatory tribal imagination EXCEPT that:
(a) tribal art excludes the depiction of the mundane reality of everyday life and objects.
(b) tribal narratives exhibit a chronological beginning, middle, and end.
(c) tribal stories depict the natural world in accordance with rational scientific knowledge.
(d) shamanic rituals involving conversing with the dead often feature in tribal stories.
Ans: d
Sol: Let us look at each option one by one.
Option (a) would weaken the passage. The author explains that tribal art can start with "a trivial everyday event" and that art blends into daily life. If tribal art left out ordinary reality, the idea of mixing everyday life with imagination would not make sense.
Option (b) would also weaken the argument. The passage points out more than once that there is no strict order, saying "spatial order and temporal sequence do not restrict the narrative" and that episodes have "the chaotic shapes of dreams." Having a clear timeline would go against this idea.
Option (c) also directly weakens the passage. The hallucinatory nature of tribal imagination is shown by images that break rational or scientific logic, like oceans flying and mountains swimming. If tribal stories followed scientific rules, this key feature would be lost.
Option (d) does not weaken the passage. The text mentions the ritual of talking with dead ancestors as proof that tribal people engage with time and trance-like states. So, shamanic rituals actually support the idea of a hallucinatory imagination.
So, the correct answer is option (d).
Q13: Five jumbled sentences (labelled 1, 2, 3, 4, and 5), related to a topic, are given below. Four of them can be put together to form a coherent paragraph. Identify the odd sentence out and key in the number of that sentence as your answer.
Ans: 1
Sol: The sentences largely describe music as a universal, complex part of human life. They focus on how music appears in all cultures and is deeply connected to how people think and experience the world.
Sentences 2, 4, 3, and 5 follow a logical order. Sentence 2 starts the paragraph by saying music is universal and based in the brain. Sentence 4 adds to this discussion that making and enjoying music is common in all societies and daily life. Sentence 3 connects this idea to human identity and experience. Sentence 5 supports the point by showing that engaging with music requires complex thinking and is found in many cultures.
Sentence 1 does not fit in with the others. Instead of describing what music is or how it works everywhere, it talks about research inspired by music's emotional effects. This brings in a discussion about science, not about music itself. Therefore, the odd sentence out is 1.
Q14: The four sentences (labelled 1, 2, 3, and 4) given below, when properly sequenced, would yield a coherent paragraph. Decide on the proper sequencing of the order of the sentences and key in the sequence of the four numbers as your answer.
Ans: 4312
Sol: All four sentences discuss how labels for a community have changed over time, focusing on the shift to gender-neutral terms, the debates about language, and how people actually use these labels. The sequence starts with sentence 4, which introduces the newest change: activists created the term Latinx to make the name gender-neutral and more inclusive of LGBTQ people. Sentence 3 comes next, adding that grammatical gender exists in many languages and is different from social or sexual gender. This helps explain why the term "Latinx" was introduced. Sentence 1 then gives a personal response, showing Cherie Moraga's choice to use Latina and Xicana instead of Latinx, which makes the discussion more personal. Sentence 2 is best as the conclusion because it transitions from the individual example to data showing that few people use Latinx compared with other terms. So, the best order for the sentences is 4312.
Q15: The given sentence is missing in the paragraph below. Decide where it best fits among the options 1, 2, 3, or 4 indicated in the paragraph.
Sentence: Productivity gains, once expected to feed through to broader living standards, now primarily serve to enhance returns to wealth.
Paragraph: Economists now argue that inequality is no longer a by-product of growth but a condition of it. ____ (1) ____. Unlike wages, wealth reflects not just income but also access to assets, favourable institutional conditions - such as low interest rates - and public policies like low taxes and housing shortages. ____ (2) ____. In other words, wealth depends on political choices in ways that income currently does not. It's not just the inequality itself that is the issue but the erosion of mechanisms that once constrained it. ____ (3) ____. Wealth and income inequality are linked, but where wages have stagnated and collective bargaining has weakened, capital income - derived from profits, rents and interest - has been boosted by design. ____ (4) ____.
(a) Option 1
(b) Option 4
(c) Option 3
(d) Option 2
Ans: b
Sol: The paragraph argues that inequality is a feature of modern growth. It explains that because wealth is shaped by assets, institutions, and policy decisions, it grows differently from wages. The paragraph then demonstrates how capital income has been purposefully raised while the mechanisms that once restricted inequality have weakened.
The provided sentence works best at blank 4 because it summarizes the point made immediately before it. The sentence explains the result after claiming that capital income has been "boosted by design" and wages have stagnated: productivity gains now primarily flow to wealth rather than raising living standards. This serves as the argument's obvious conclusion.
Inserting at blank 1 would be premature, as the paragraph hasn't yet explained the distinction between wealth and wages, which the given sentence talks about. Inserting the sentence in blank 2 would interrupt the explanation of how institutions and policy affect wealth. Inserting at blank 3 would interfere with the transition from explanation to consequence because blank 3 comes at a transition point. Therefore, blank 4 is the most appropriate.
Q16 to Q19:
The passage below is accompanied by four questions. Based on the passage, choose the best answer for each question.
Over the course of the twentieth century, humans built, on average, one large dam a day, hulking structures of steel and concrete designed to control flooding, facilitate irrigation, and generate electricity. Dams were also lucrative contracts, large-scale employers, and the physical instantiation of a messianic drive to conquer territories and control nature. Some of the results of that drive were charismatic mega-infrastructure-the Hoover on the Colorado River or the Aswan on the Nile-but most of the tens of thousands of dams that dot the Earth's landscape have drawn little attention. These are the smaller, though not inconsequential, barriers that today impede the flow of water on nearly two-thirds of the world's large waterways. Chances are, what your map calls a "lake" is actually a reservoir, and that thin blue line that emerges from it once flowed very differently.
Damming a river is always a partisan act. Even when explicit infrastructure goals- irrigation, flood control, electrification-were met, other consequences were significant and often deleterious. Across the world, river control displaced millions of people, threatening livelihoods, foodways, and cultures. In the western United States, dams were often an instrument of colonialism, used to dispossess Indigenous people and subsidize settler agriculture. And as dams slowed the flow of water, inhibited the movement of nutrients, and increased the amount of toxic algae and other parasites, they snuffed out entire river ecologies. Declining fish populations are the most evident effect, but dams also threaten a host of other animals-from birds and reptiles to fungi and plants-with extinction. Every major dam, then, is also a sacrifice zone, a place where lives, livelihoods, and ways of life are eliminated so that new sorts of landscapes can support water-intensive agriculture and cities that sprout downstream of new reservoirs.
Such sacrifices have been justified as offerings at the temples of modernity. Justified by-and for-whom, though? Over the course of the twentieth century, rarely were the costs and benefits weighed thoughtfully and decided democratically. As Kader Asmal, chair of the landmark 2000 World Commission on Dams, concluded, "There have been precious few, if any, comprehensive, independent analyses as to why dams came about, how dams perform over time, and whether we are getting a fair return from our $2 trillion investment." A quarter- century later, Asmal's words ring ever truer. A litany of dams built in the mid- twentieth century are approaching the end of their expected lives, with worrying prospects for their durability. Droughts, magnified and multiplied by the effects of climate change, have forced more and more to run below capacity. If ever there were a time to rethink the mania for dams, it would be now.
There is some evidence that a combination of opposition, alternative energy sources, and a lack of viable projects has slowed the construction of major dams. But a wave of recent and ongoing construction, from India and China to Ethiopia and Canada, continues to tilt the global balance firmly in favor of water impoundment.
Q16: Which one of the following sets of terms is closest to mapping the key arguments of the passage?
(a) Partisan act - Threatened livelihoods - Toxic algae - Quarter century
(b) Lucrative contracts - Sacrifice zone - Expected lives - Global balance
(c) Mega-infrastructure - Sacrifice zone - Worshipping modernity - Water impoundment
(d) Physical instantiation - Partisan act - Decided democratically - Alternative energy
Ans: c
Sol: There is a distinct argumentative arc in the passage. Using examples of well-known and pervasive mega-infrastructure, the passage begins by portraying dams as symbols of ambition and extensive control over nature. It then demonstrates how every significant dam serves as a sacrifice zone, uprooting people, devastating ecosystems, and eradicating lifestyles. These losses have been justified as offerings at the "temples of modernity" or in the name of progress. Lastly, the passage notes that global trends continue to favour water impoundment despite mounting evidence of harm and the aging of existing dams.
Option (c), which maps motivation, consequence, justification, and the current trajectory of dam building, best captures this progression. The other options do not represent this overall argument; instead, they list isolated terms or partial effects.
Q17: What does the author wish to communicate by referring to the Hoover and Aswan dams in the first paragraph?
(a) The Colorado and Nile rivers may be seen as thin blue lines on a map.
(b) By building dams like the Hoover and Aswan dams, large-scale employers became messianic figures.
(c) The designers and builders of these mega-structures were highly charismatic individuals.
(d) The drive to control nature is evident not only in mega-infrastructures like the Hoover and Aswan dams, but in smaller dams as well.
Ans: d
Sol: The Aswan and Hoover dams are referred to in the passage as "charismatic mega-infrastructure," instances that clearly reflect the human desire to dominate land and the natural world. However, the author immediately draws a comparison between these well-known projects and the tens of thousands of smaller dams that collectively alter rivers worldwide but receive far less attention. The goal is to demonstrate that the same mindset that underlies large dams is present at all scales rather than to exalt them. This larger pattern is easier to see thanks to the identifiable symbols of the Hoover and Aswan dams. This leads to option D, which accurately conveys the idea that the desire to control nature is present in both the numerous smaller dams that currently dominate waterways worldwide and the famous mega-dams.
Option A misreads the reference; the "thin blue line" refers to rivers altered by dams, not specifically to the Colorado or Nile. Option B confuses employers and contracts with dams themselves being symbolic structures. Option C wrongly shifts attention to the personal charisma of designers or builders, which the passage never suggests.
Q18: The word "instantiation" is used in the first paragraph. Which one of the following pairs of terms would be the best substitute for it in the context of its usage in the paragraph?
(a) Exemplification and manifestation
(b) Concreteness and viability
(c) Durability and timeliness
(d) Development and construction
Ans: a
Sol: In the first paragraph, dams are called "the physical instantiation of a messianic drive to conquer territories and control nature." Here, instantiation means turning an abstract idea into something real. In this case, it is the idea of dominating nature, shown in the form of steel and concrete dams. The dams are more than just buildings; they make that drive real.This meaning is best captured by "exemplification and manifestation," which together convey the sense of something abstract being shown or realised in a tangible form. Hence, option (A) is the correct answer.
The other choices do not fit as well. "Concreteness and viability" (Option B) are about whether something can be done, not about showing an idea. "Durability and timeliness" (Option C) are about how long something lasts and when it happens, which is not the point here. "Development and construction" (Option D) are about building things, but the passage is more about the meaning behind the dams, not how they were built.
Q19: All of the following statements may be considered valid inferences from the passage EXCEPT that:
(a) despite increasing evidence of opposition to dams as well as alternatives to them, they continue to be built.
(b) smaller, though not inconsequential, dams are safer than large dam projects.
(c) processes of colonisation have used dam-building to make people vacate their territories.
(d) dam-building has proved to be an extremely costly enterprise that may not be justifiable.
Ans: b
Sol: Let us evaluate each option one by one.
Option A can be inferred from the passage. The author notes that "a combination of opposition, alternative energy sources, and a lack of viable projects has slowed the construction of major dams," but immediately adds that "a wave of recent and ongoing construction... continues to tilt the global balance firmly in favor of water impoundment." This clearly supports the idea that dams continue to be built despite resistance and alternatives.
Option B cannot be inferred from the passage. While the author refers to "smaller, though not inconsequential, barriers," this phrase is used to stress their cumulative impact on rivers, not their safety. There is no comparison anywhere in the passage suggesting that smaller dams are safer than large ones. The text discusses ecological damage and displacement caused by dams in general, without ranking them by safety.
Option C is supported by the passage. It explicitly states that "in the western United States, dams were often an instrument of colonialism, used to dispossess Indigenous people and subsidize settler agriculture." This directly implies that dam-building was used to force people off their land.
Option D is also a valid inference. The passage quotes the World Commission on Dams questioning whether we are getting "a fair return from our $2 trillion investment," and points out that many dams are ageing, running below capacity, and facing durability issues. Together, this supports the idea that dam-building has been extremely costly and may not be justifiable.
Since option B introduces a claim that the passage does not support, it is the correct answer.
Q20: The passage given below is followed by four summaries.
In investigating memory-beliefs, there are certain points which must be borne in mind. In the first place, everything constituting a memory-belief is happening now, not in that past time to which the belief is said to refer. It is not logically necessary to the existence of a memory-belief that the event remembered should have occurred, or even that the past should have existed at all. There is no logical impossibility in the hypothesis that the world sprang into being five minutes ago, exactly as it then was, with a population that "remembered" a wholly unreal past. There is no logically necessary connection between events at different times; therefore nothing that is happening now or will happen in the future can disprove the hypothesis that the world began five minutes ago. Hence the occurrences which are CALLED knowledge of the past are logically independent of the past; they are wholly analysable into present contents, which might, theoretically, be just what they are even if no past had existed.
Choose the option that best captures the essence of the passage.
(a) When we discuss the concept of memory-beliefs, we must understand that it is not logically impossible for the event remembered to have never happened at all; it could just be a figment of our imagination.
(b) Memory-beliefs depend wholly on what is remembered in the present, and not on anything else; just as it is not logically impossible that the world came into being five minutes ago, and that everyone now just remembers a wholly imaginary past for it.
(c) When investigating memory beliefs, we must keep in mind that an actual past event is not a prerequisite for a memory-belief to exist, and that what we know of the past could theoretically not need a past at all.
(d) That which we call 'knowledge of the past' is logically independent of the past, since the act of remembering which forms memory-beliefs happens in the present, and does not need to be based in real past occurrences, or even need a past at all.
Ans: d
Sol: The passage explains that memory-beliefs exist only in the present and do not require an actual past. It notes that remembering takes place now, and there is no logical reason the remembered event must have happened. The example of the world starting "five minutes ago" shows that our knowledge of the past cannot dismiss this idea. This means memory and knowledge of the past are logically separate from whether the past really happened. Option D addresses the entire argument. It states that knowledge of the past is logically separate from the past itself, links memory-beliefs to what happens in our minds now, and includes the idea that real past events, or even a past at all, are not logically necessary.
The other options do not fully capture the argument. Option A only discusses imagination and misses the logical independence of the past. Option B focuses too much on the five-minute example and leaves out the main point about memory-beliefs. Option C comes close, but it does not clearly state that our knowledge of the past is logically separate from the past itself.
Q21 to Q24:
The passage below is accompanied by four questions. Based on the passage, choose the best answer for each question.
Imagine a world in which artificial intelligence is entrusted with the highest moral responsibilities: sentencing criminals, allocating medical resources, and even mediating conflicts between nations. This might seem like the pinnacle of human progress: an entity unburdened by emotion, prejudice or inconsistency, making ethical decisions with impeccable precision. . . .
Yet beneath this vision of an idealised moral arbiter lies a fundamental question: can a machine understand morality as humans do, or is it confined to a simulacrum of ethical reasoning? AI might replicate human decisions without improving on them, carrying forward the same biases, blind spots and cultural distortions from human moral judgment. In trying to emulate us, it might only reproduce our limitations, not transcend them. But there is a deeper concern. Moral judgment draws on intuition, historical awareness and context - qualities that resist formalisation. Ethics may be so embedded in lived experience that any attempt to encode it into formal structures risks flattening its most essential features. If so, AI would not merely reflect human shortcomings; it would strip morality of the very depth that makes ethical reflection possible in the first place.
Still, many have tried to formalise ethics, by treating certain moral claims not as conclusions, but as starting points. A classic example comes from utilitarianism, which often takes as a foundational axiom the principle that one should act to maximise overall wellbeing. From this, more specific principles can be derived, for example, that it is right to benefit the greatest number, or that actions should be judged by their consequences for total happiness. As computational resources increase, AI becomes increasingly well-suited to the task of starting from fixed ethical assumptions and reasoning through their implications in complex situations.
But what, exactly, does it mean to formalise something like ethics? The question is easier to grasp by looking at fields in which formal systems have long played a central role. Physics, for instance, has relied on formalisation for centuries. There is no single physical theory that explains everything. Instead, we have many physical theories, each designed to describe specific aspects of the Universe: from the behaviour of quarks and electrons to the motion of galaxies. These theories often diverge. Aristotelian physics, for instance, explained falling objects in terms of natural motion toward Earth's centre; Newtonian mechanics replaced this with a universal force of gravity. These explanations are not just different; they are incompatible. Yet both share a common structure: they begin with basic postulates - assumptions about motion, force or mass - and derive increasingly complex consequences. . . .
Ethical theories have a similar structure. Like physical theories, they attempt to describe a domain - in this case, the moral landscape. They aim to answer questions about which actions are right or wrong, and why. These theories also diverge and, even when they recommend similar actions, such as giving to charity, they justify them in different ways. Ethical theories also often begin with a small set of foundational principles or claims, from which they reason about more complex moral problems.
Q21: Choose the one option below that comes closest to being the opposite of "utilitarianism".
(a) The committee adopted a non-egoist framework, ranking policies by their contribution to overall social welfare and treating self-interest as a derivative concern within institutional evaluation.
(b) The authors advocated an absolutist stance, following exceptionless rules regardless of outcomes and evaluating choices by broadest societal benefit.
(c) The council followed a prioritarian approach, assigning greater moral weight to improvements for the worst-off rather than to maximising total welfare across the affected population.
(d) The policy was cast as deontological ethics, selecting the option that delivered the highest total benefit to citizens while presenting duty as a secondary consideration in public decision-making.
Ans: c
Sol: The question asks which position is most opposite to utilitarianism. According to the passage, utilitarianism is about acting to maximize overall wellbeing or total welfare. The main concern is the total amount of benefit, not who receives it or if some people are worse off, as long as the total outcome is greater.Seen against that, option C moves in the opposite direction. A prioritarian approach does not aim to maximize total welfare. Instead, it gives more importance to helping those who are worst off, even if this does not lead to the highest overall well-being. This challenges the utilitarian focus on total outcomes, making it the closest opposite.
The other options do not match. Option A ranks policies by "overall social welfare," which is still utilitarian. Option B seems rule-based, but it also talks about "broadest societal benefit," so it still uses utilitarian thinking. Option D focuses on "highest total benefit," even though it calls itself deontological, so it is not truly the opposite of utilitarianism.Therefore, the correct answer is option C.
Q22: Which one of the options below best summarises the passage?
(a) The passage rejects formal methods in principle. It holds that moral judgement cannot be expressed in disciplined terms and concludes that AI should not serve in courts, medicine, or diplomacy under any conditions.
(b) The passage weighs the appeal of an impersonal AI judge against doubts about moral grasp. It claims codified schemes retain case nuance at scale and uses a physics analogy to predict convergence on a unified framework.
(c) The passage weighs the appeal of an impersonal AI judge against doubts about moral grasp. It warns that codification can erode case-sensitive judgement, allow axiom-led reasoning at scale, and use a physics analogy to model structured plurality.
(d) The passage highlights administrative gains from automation. It treats reproducing human moral judgement as progress and argues that, as computational resources increase, AI can be responsible for decision-making across varied institutional settings.
Ans: c
Sol: The passage makes three main points. First, it explains why people find an impersonal AI moral judge appealing. Next, it raises a key concern: moral judgment relies on intuition, history, and context, so turning ethics into rules might remove that depth. The passage also notes that ethics has always included some formal structure, using examples like utilitarianism. It explains with a physics analogy that formal systems can exist together without merging into one final theory. The main idea is not to reject or endorse these systems, but to highlight the tension and variety among them. Option C sums this up best. It shows why an impersonal AI judge is appealing, points out the risk that making rules can "erode case-sensitive judgement," and still recognizes that reasoning based on principles can be applied widely. By mentioning the physics analogy to explain structured variety, it matches the passage's idea that ethical systems, like physical theories, can be formal but still different from each other.
Option A goes further than the passage by saying it "rejects formal methods in principle" and that AI should never be used in courts, medicine, or diplomacy "under any conditions." The passage does not do this; it talks about formal ethical systems and why AI might work for them. Option B misunderstands by saying that codified systems keep case details and that the physics analogy means we will end up with one main framework. In fact, the passage warns about losing nuance and uses the physics example to show that different theories can exist together, not that they will merge. Option D is also not accurate because it treats copying human moral judgment with AI as clear progress. The passage keeps questioning whether copying without depth is really better, so this option is too one-sided.
Q23: The passage compares ethics to physics, where different theories apply to different aspects of a domain and says AI can reason from fixed starting points in complex cases. Which one of the assumptions below must hold for that comparison to guide practice?
(a) There is a principled way to decide which ethical framework applies to which class of cases, so the system can select the relevant starting points before deriving a recommendation.
(b) Real cases never straddle different areas, so a case always fits exactly one framework without any overlap whatsoever.
(c) A single master framework replaces all others after translation into one code, so domain boundaries disappear in application.
(d) Once formalised, all ethical frameworks yield the same recommendation in every case, so selection among them is unnecessary.
Ans: a
Sol: The passage says that, like physics, ethics has multiple formal theories, each starting from basic principles, and that AI can reason from such fixed starting points in complex cases. For this comparison to be practically useful, there has to be some way to decide which ethical starting point applies in a given situation. Let us look at each option one by one.
Option A fits the passage. If different ethical frameworks apply to different kinds of cases, then there must be a principled way to decide which framework is relevant before reasoning begins. Otherwise, AI would not know which "starting points" to use. This matches the physics analogy, where different theories apply to different domains.
Option B does not fit. The passage never suggests that real cases fall neatly into one framework with no overlap. In fact, it stresses complexity and divergence across ethical theories, not clean separation.
Option C directly contradicts the passage. The physics analogy is used to show that multiple theories can coexist without being unified into one master framework. This option assumes exactly the opposite.
Option D also conflicts with the text. The passage explicitly notes that ethical theories can diverge and justify similar actions in different ways, so it cannot be assumed that they all produce the same recommendation.Hence, the assumption that must hold is option (A).
Q24: All of the following can reasonably be inferred from the passage EXCEPT:
(a) by analogy with physics, compact postulates can yield broad predictions across incompatible theories and ethics can likewise share structure while continuing to diverge rather than close on a single comprehensive framework.
(b) encoding ethics into fixed structures risks stripping away intuition, history, and context and, if that occurs, the depth that enables reflective judgement disappears. So, machines would mirror our limits rather than exceed them.
(c) the appeal of an AI judge rests on immunity to bribery, partiality, and fatigue; yet the text questions whether procedural cleanliness amounts to moral understanding without lived context and interpretive depth.
(d) with fixed moral starting points and expanding computational resources, the argument forecasts convergence on one ethical system and treats contextual judgement as unnecessary once formal reasoning scales across domains and cultures.
Ans: d
Sol: Let us evaluate each option individually.
Option A follows from the passage. The author explains that in physics, different theories are "incompatible" yet share a common structure of starting from basic postulates and reasoning outward. The passage then says ethical theories are similar and also diverge. This supports the idea that ethics can remain plural rather than "close on a single comprehensive framework."
Option B is also supported. The passage warns that moral judgement draws on "intuition, historical awareness and context" and that formalising ethics risks "flattening its most essential features." It even says AI could "strip morality of the very depth that makes ethical reflection possible." This matches the claim that machines would mirror human limits instead of exceeding them.
Option C can reasonably be inferred as well. At the start, AI is described as appealing because it seems "unburdened by emotion, prejudice or inconsistency." But the passage immediately questions whether this amounts to real moral understanding without "lived experience." That is exactly the tension this option describes.
Option D does not follow from the passage. The author never predicts convergence on one ethical system. In fact, the physics analogy is used to show that even with formalisation, multiple theories can coexist. The passage also repeatedly insists that context remains central to ethics, not unnecessary.
So the statement that cannot be inferred from the passage is option (D)
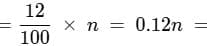
Q25: The monthly sales of a product from January to April were 120, 135, 150 and 165 units, respectively. The cost price of the product was Rs. 240 per unit, and a fixed marked price was used for the product in all the four months. Discounts of 20%, 10% and 5% were given on the marked price per unit in January, February and March, respectively, while no discounts were given in April. If the total profit from January to April was Rs. 138825, then the marked price per unit, in rupees, was
(a) 520
(b) 525
(c) 510
(d) 515
Ans: b
Sol: The total number of products is 120 + 135 + 150 + 165 = 570. Therefore, the total cost must have been 570 × 240 = 136800
Let the marked price for the products be X. The January, February, March, and April, selling prices would respectively be 0.8X, 0.9X, 0.95X, and X; based on the discounts given on each of the months.
The revenue earned from selling the products in each of the months would be: 120∗0.8X+135∗0.9X+150∗0.95X+165∗X = 525X
The profit earned would be: Revenue - Cost, and therefore,
525X - 136800 = 138825
525X = 275625
The correct answer is option B, Rs. 525.
Q26: Teams A, B, and C consist of five, eight, and ten members, respectively, such that every member within a team is equally productive. Working separately, teams A, B, and C can complete a certain job in 40 hours, 50 hours, and 4 hours, respectively. Two members from team A, three members from team B, and one member from team C together start the job, and the member from team C leaves after 23 hours. The number of additional member(s) from team B, that would be required to replace the member from team C, to finish the job in the next one hour, is
(a) 4
(b) 2
(c) 1
(d) 3
Ans: b
Sol: Let the per hour productivity of each member from teams A, B, and C, be a, b, and c units respectively.
Let W be the total units of work that each of the teams does. We have:
When two members from team A, three members from team B, and one member from team C together start the job, the total per hour productivity for the first 23 hours will be;
The current per hour efficiency of the group that comprises members from only teams A and B, isIn the next hour, the members from A and B will finish
units of work and
![]()
units of work would remain.
This work has to be finished by newly added members from team B in one hour, therefore, the number of new members required from team B would be
Option B is the correct answer.
Q27: In a school with 1500 students, each student chooses any one of the streams out of science, arts, and commerce, by paying a fee of Rs 1100, Rs 1000, and Rs 800, respectively. The total fee paid by all the students is Rs 15,50,000. If the number of science students is not more than the number of arts students, then the maximum possible number of science students in the school is
Ans: 700
Sol: Let the total number of students who chose science, arts, and commerce streams be S, A, and C, respectively.
We have,
S + A + C = 1500, such that, C = 1500 - S - A.....(1)
Also, 1100S + 1000A + 800C = 15,50,000, which can be simplified by dividing by 100100;
11S + 10A + 8C = 15500 .....(2)
Substituting the value of C from equation (1) in equation (2), we have
Since S ≤ A, the maximum value of S (if possible), would occur when S = A, therefore,
5S = 35005, or S = 700.
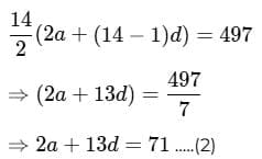
Q28: In an arithmetic progression, if the sum of fourth, seventh and tenth terms is 99, and the sum of the first fourteen terms is 497, then the sum of first five terms is
Ans: 65
Sol: Let the first term of the arithmetic progression be a, and the common difference be d.
We have:
We are also told that the sum of the first fourteen terms is 497,
Solving equations (1) and (2), we get;
a = 3 and d = 5The first five terms would therefore be: 3, 8, 13, 18, 23 and their sum would be 3 + 8 + 13 + 18 + 23 = 65.
Q29: Ankita walks from A to C through B, and runs back through the same route at a speed that is 40% more than her walking speed. She takes exactly 3 hours 30 minutes to walk from B to C as well as to run from B to A. The total time, in minutes, she would take to walk from A to B and run from B to C, is
Ans: 444
Sol: Let the walking speed of Ankita be 5x, implying that her running speed (which is 40% more than her walking speed), is 1.4 × 5x = 7x.
Thus, the ratio of her walking and running speeds is 5:7. Therefore, the ratio of the time taken by Ankita to cover a fixed distance walking and running would by 7:5.
She takes 3 hours 30 minutes, or 3.5 hours to walk from B to C. Since Ankita is running from B to C in the second scenario, her time will reduce inversely to the ratio of her speed. The time taken by her to run from B to C would be
.
She takes 3 hours 30 minutes, or 3.5 hours to run from A to B. Since Ankita is walking from A to B in the second scenario, her time will increase inversely to the ratio of her speed. The time taken by her to walk from A to B would be
![]()
Therefore, the total time it takes for Ankita in the second scenario is 4.9 + 2.5 = 7.4 hours. This gives 7.4∗60 = 444 minutes.
Q30: For a 4-digit number (greater than 1000), sum of the digits in the thousands, hundreds, and tens places is 15. Sum of the digits in the hundreds, tens, and units places is 16. Also, the digit in the tens place is 6 more than the digit in the units place. The difference between the largest and smallest possible value of the number is
(a) 811
(b) 3289
(c) 735
(d) 4078
Ans: a
Sol: Let the thousands, hundreds, tens, and units digits of the number be a, b, c, and d, respectively.
The sum of the digits in the thousands, hundreds, and tens places is 15; a + b + c = 15 .....(1)
The sum of the digits in the hundreds, tens, and units places is 16; b + c + d = 16 .....(2)
Solving equations (1) and (2), we get d = a + 1.
The digit in the tens place is 6 more than the digit in the units place; c = d + 6 = a + 1 + 6 = a + 7 .....(3)
Substituting the value of cc in terms of aa in equation (1), we get; a + b + a +7 = 15 or b = 8 - 2a
Thus, the number is:
We know that since the number is a four digit number, a ≥ 1. But all the four digits have to be less than or equal to 9 but greater than or equal to 0, thus,
8 - 2a ≥ 0 gives a ≤ 4 and a + 7 ≤ 9 gives a ≤ 2.
Thus, a can be 1 or 2.
The two possible values for the number, therefore, are, 1682 and 2493, when we put a = 1 and a = 2, respectively.
The difference between the only two possible values is, 2493 - 1682 = 811
Option A is the correct answer.
Q31: Rahul starts on his journey at 5 pm at a constant speed so that he reaches his destination at 11 pm the same day. However, on his way, he stops for 20 minutes, and after that, increases his speed by 3 km per hour to reach on time. If he had stopped for 10 minutes more, he would have had to increase his speed by 5 km per hour to reach on time. His initial speed, in km per hour, was
(a) 12
(b) 15
(c) 18
(d) 20
Ans: b
Sol: Let the initial speed of Rahul be x kilometres per hour. Since he travels the distance usually in 6 hours, (5 pm to 11 pm), the total distance should be 6 × x = 6x kilometres.
Let the distance after which Rahul stops for some duration in both scenarios be y kilometres.
In the first scenario, he stops for 20 minutes or 1/3 hours, therefore, the travel time would be
hours. We have,
Similarly, in the second scenario, he stops for 20 + 10 = 30 minutes or 1/2 hours, therefore, the travel time would be
hours. We have,
Substituting the value of k in equation (1), we have
x2 = 51x - 36x or, since xx is positive, x = 15. Therefore, option B is the correct answer.
Q32: The rate of water flow through three pipes A, B and C are in the ratio 4 : 9 : 36. An empty tank can be filled up completely by pipe A in 15 hours. If all the three pipes are used simultaneously to fill up this empty tank, the time, in minutes, required to fill up the entire tank completely is nearest to
(a) 73
(b) 78
(c) 76
(d) 71
Ans: a
Sol: Let the rate of flow of water from pipe A be 4x units per hour. From the ratio of the rates of flow of water (4:9:36), we have that the rate of flow of water from pipe B should be 9x units per hour, and from pipe C should be 36x units per hour.
Since pipe A fills the empty tank in 15 hours, the capacity of the tank must be 15 × 4x = 60x units.
When all three pipes work together, their combined capacity would be 4x + 9x + 36x = 49x units per hour.
Therefore, the time it would take for the three pipes to fill the empty tank working together is: 60x/49x hours
In minutes, this time is equivalent to
minutes.
Option A is the closest, and is the correct answer.
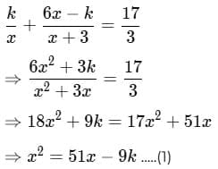
Q33: If f(x) = (x2 + 3x)(x2 + 3x + 2) then the sum of all real roots of the equation
is
(a) -6
(b) 6
(c) 3
(d) -3
Ans: d
Sol: Let (x2 + 3x) be equal to k. We have,
Since x is real, the discriminant of the above quadratic has to be greater than or equal to zero.We find that 32 + 4 ∗ 9700 ≥ 0 and therefore the quadratic has real roots.
The sum of the roots will be
Option D is the correct answer.
Q34: For real values of x, the range of the function
is
(a) 
(b) 
(c) 
(d) 
Ans: c
Sol:
Equation (1) is a quadratic in x, where x is real. Therefore, the discriminant of the quadratic has to be greater than or equal to zero.
Since the coefficient of y2 is positive, the quadratic will be less than zero in the range
The quadratic will be greater than or equal to zero otherwise.Therefore, the domain the quadratic, or possible values of y, which is the range of f(x), will be,
Option C is the correct answer.
Q35: The sum of all the digits of the number (1050 + 1025 - 123), is
(a) 212
(b) 221
(c) 324
(d) 255
Ans: b
Sol:
And so on.
Considering 10n-123, which has a total of n digits; in general, of the nn total digits; the digit 7 is repeating 2 times, digit 8 is repeating 1 time, and digit 9 is repeating (n-3) times.
Also, when added to 1050, the cumulative increase in the sum of the digits of the resultant number would be 1, which would come from the leftmost digit of the result. All other newly added digits will be zero.
Thus, the sum of the digits of the result will be given by;
[7∗2] + [1∗8] + [(25-3)∗9] + [25∗0] + [1∗1] = 14 + 8 + 198 + 1 = 221
The correct answer is option B.
Q36: A triangle ABC is formed with AB = AC = 50 cm and BC = 80 cm. Then, the sum of the lengths, in cm, of all three altitudes of the triangle ABC is
Ans: 126
Sol:
The altitudes CM and BN will be equal as the triangle △ABC is isosceles.
Further, in △AOB, using Pythagoras Theorem, we have
We know that the ratio of altitudes in a triangle is the inverse of the ratio of sides; therefore, the ratio of altitudes of the triangle will be;
Since 5x = 30, we have x = 6, and the sum of altitudes, in centimetres, will be 8x + 8x + 5x = 21x = 21∗6 = 126.
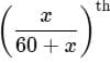
Q37: If
and x > 0, then the value of
is
(a) 44853√3
(b) 44856√3
(c) 44859√3
(d) 44850√3
Ans: a
Sol:
Option A is the correct answer.
Q38: In a class of 150 students, 75 students chose physics, 111 students chose mathematics and 40 students chose chemistry. All students chose at least one of the three subjects and at least one student chose all three subjects. The number of students who chose both physics and chemistry is equal to the number of students who chose both chemistry and mathematics, and this is half the number of students who chose both physics and mathematics. The maximum possible number of students who chose physics but not mathematics, is
(a) 30
(b) 35
(c) 40
(d) 55
Ans: b
Sol: Based on the information provided, we can make the following diagram;
We know that the sum of all entries in the Venn diagram should be 150. Therefore,
111 + 75 - 2k + 40 - (k - x) - k + 0 = 150
76 = 4k - x, where x ≥ 1
We must maximise the number of students who chose Physics but not Mathematics. This number is equal to 75 - 2k. To maximise this we must minimise k.
We have
Since x and k are both integers, x should be divisible by 4. To minimise k, we will take the minimum value of x, which is 4.
Thus, the maximum possible number of students who chose physics but not mathematics, is 75 - 2 ∗ 20 = 35.
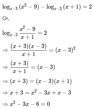
Q39: The sum of all possible real values of x for which logx-3(x2 - 9) = logx-3(x + 1) + 2, is
(a) -3
(b) 
(c) 3
(d) 
Ans: d
Sol: Since the base of the logarithm has to be greater than zero and cannot be 1, x has to be greater than 3 and cannot be 4. Also, since x2 - 9 > 0, x will be greater than 3.The equation can be rewritten as;
The roots of the quadratic above are
The negative value of x will not be possible, the positive value that satisfies
The correct answer is option D.
Q40: The average salary of 5 managers and 25 engineers in a company is 60000 rupees. If each of the managers received 20% salary increase while the salary of the engineers remained unchanged, the average salary of all 30 employees would have increased by 5%. The average salary, in rupees, of the engineers is
(a) 45000
(b) 50000
(c) 54000
(d) 40000
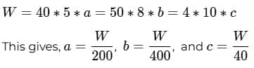
Ans: c
Sol: Let the average salary of managers be x and let the average salary of engineers be y. The total salary of all the employees will be (5+25)∗60000 = 1800000We have, 5x + 25y = 1800000 .... (1)
If the average salary of all the employees increases by 5%, the total salary of all the employees will also increase by 5%, because the total number of employees remains the same. The new total salary will be, 1800000×1.05=1890000
Also, the average salary of all the managers has increased by 20% and has become 1.2x, we have
5 ∗ 1.2x + 25y = 1890000 or 6x+25y =1890000.... (2)
Subtracting equation (1) from equation (2), we get,
x = 90000
Therefore, the correct answer is option C.
Q41: ABCD is a trapezium in which AB is parallel to DC, AD is perpendicular to AB, and AB = 3DC. If a circle inscribed in the trapezium touching all the sides has a radius of 3 cm , then the area, in sq. cm, of the trapezium is
(a) 48
(b) 30√3
(c) 36√2
(d) 54
Ans: a
Sol: We extend BC and AD to meet at E, and based on the information provided, can construct the diagram as follows:
DC = AT = x and BT = 2x such that AB = 3DC. ∠A = 90∘ and triangles ABE and DCE are similar.
Since AD is equal to the diameter of the circle, and AE = 3DE, we get DE = 3.
The radius of the incircle of a right-angled triangle is given by
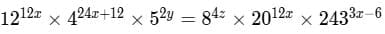
Q42: If 1212x × 424x+12 × 52y = 84z × 2012x × 2433x-6, where x , y and z are natural numbers, then x + y + z equals
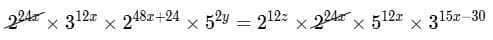
Ans: 112
Sol:
On rewriting after prime factorisation, we get,
Since LHS = RHS, the corresponding powers must be equal. We have,
Q43: In △ABC, AB = AC = 12 cm and D is a point on side BC such that AD = 8 cm. If AD is extended to a point E such that ∠ ACB =∠ AEB, then the length, in cm, of AE is
(a) 20
(b) 16
(c) 18
(d) 14
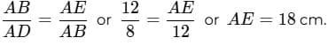
Ans: c
Sol: Based on the information provided, we can construct the following diagram;
We have AB = AC = 12 cm, and AD = 8cm. And ∠ACB=∠AEB
Since the triangle is isosceles, ∠ACB = ∠AEB = ∠ABC (or ∠ABD∠ABD)
In △ABE and △ADB,
∠BAE = ∠DAB and ∠AEB =∠ABD. Therefore, by A similarity criterion, △ABE∼ △ADB
Hence, we get,
Q44: Vessels A and B contain 60 litres of alcohol and 60 litres of water, respectively. A certain volume is taken out from A and poured into B. After stirring, the same volume is taken out from B and poured into A. If the resultant ratio of alcohol and water in A is 15 : 4, then the volume, in litres, initially taken out from A is
Ans: 16
Sol: Vessel A contains 60 litres of pure alcohol, and Vessel B contains 60 litres of pure water. Let the amount taken out from vessel A be x litres. The contents in Vessel A now are 60-x litres of alcohol, and in Vessel B now are 60 litres of water and x litres of alcohol.After mixing, when the same quantity x is taken out from Vessel B, the alcohol that would be taken out would be
of x, which is
litres.
The initial total quantity of 60 litres has been restored in A after replacement. The total amount of alcohol in Vessel A after the process is complete is:
The total quantity in vessel A is 60 litres where the ratio of alcohol to total quantity is
Therefore,
Thus, the quantity taken out and replaced in the two iterations is 16 litres
Q45: The ratio of the number of coins in boxes A and B was 17:7. After 108 coins were shifted from box A to box B, this ratio became 37:20. The number of coins that needs to be shifted further from A to B, to make this ratio 1:1, is
Ans: 272
Sol: Let the initial total number of coins in box A be 17x, since the ratio of the number of coins in boxes A and B is 17:7, the initial total number of coins in box B would be 7x.
After 108 coins are shifted from box A to box B, the number of coins in box A would be 17x - 108 and in box B would be 7x+108. We have,Therefore, the total number of coins in the two boxes combined are (17 + 7)∗76 = 1824, half of which is 912. The number of coins in box B currently is 7 ∗ 76 + 108 = 640. The number of coins needed to make the coins equal in both the boxes is, 912 - 640 = 272.
Thus, 272 coins will be transferred from box A to box B to make the number of coins equal (1:1) in both the boxes.
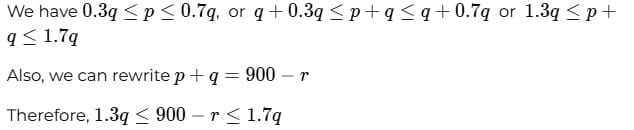
Q46: Let p, q and r be three natural numbers such that their sum is 900, and r is a perfect square whose value lies between 150 and 500. If p is not less than 0.3q and not more than 0.7q, then the sum of the maximum and minimum possible values of p is
Ans: 397
Sol: We have p + q + r = 900, and r is a perfect square lying between 150 and 500.
Let q be a non-variable number that does not have a range.
Since the extreme values (maximum and minimum) of p depend on the value of qq (0.3q and 0.7q), we can maximise or minimise r to find the extreme values of p.
Since 1.3q ≤ 900 - r, the minimum possible value of q would be when 1.3q = 900 - r and when r is maximum. The maximum value of r is 484. We get, 1.3q = 900-484, or q = 320.
This gives the minimum possible value of p as 0.3 × 320 = 96.
Since 900 - r ≤ 1.7q. the maximum possible value of q would be when 900 - r = 1.7q and when r is minimum. The minimum value of r is 169. We get 1.7q = 900 - 169 or q = 430
This gives the maximum possible value of pp as 0.7 × 430 = 301
The sum of the maximum and minimum values of p is 96 + 301 = 397.
Q47 to Q50:
Seven children, Aarav, Bina, Chirag, Diya, Eshan, Farhan, and Gaurav, are sitting in a circle facing inside (not necessarily in the same order) and playing a game of 'Passing the Buck'.
The game is played over 10 rounds. In each round, the child holding the Buck must pass it directly to a child sitting in one of the following positions:
The game starts with Bina passing the Buck and ends with Chirag receiving the Buck. The table below provides some information about the pass types and the child receiving the Buck. Some information is missing and labelled as '?'.
Q47: Who is sitting immediately to the right of Bina?
(a) Aarav
(b) Eshan
(c) Farhan
(d) Chirag
Ans: b
Sol: Let us place Bina at position 1 and arrange the numbers in a clockwise direction for better understanding, and then position the rest of the people on the table.
Round 1: The holder of the buck is Bina. The buck is passed immediately to the left, which means it is given to position 2 from 1, and it is received by Aarav. So, Aarav's position is 2.
Round 2: The holder of the buck is Aarav. The buck is passed second to the right, which means it is given to the position 7 from 2, and the person receiving it is unknown.
Round 3: The holder of the buck is unknown, but it is at position 7. The buck is passed immediately to the right, which means it is given to the position 6 from 7, and the person receiving it is Diya. Therefore, Diya's position is 6.
Round 4 and 5:
The buck is at position 6 at the start of round 4 with Diya, and the pass types of rounds 4 and 5 are not provided to us. The only information known to us is that after round 5, the buck is with Aarav, who is at position 2.
The possible ways for Aarav to receive the buck after rounds 4 and 5 are:
1) Passing the buck second to the right in round 4 and second to the right in round 5.
2) Passing the buck second to the left in round 4 and to the left in round 5.
3) Passing the buck to the left in round 4 and second to the left in round 5.These are the only possible ways for the buck to reach Aarav after round 6.
Round 6:The holder of the buck is Aarav. The buck is passed second to the left, which means it is given to the position 4 from 2, and the person receiving it is unknown.
Round 7:
The holder of the buck is unknown, but it is at position 4. The buck is passed immediately to the left, which means it is given to position 5 from 4, and the person receiving it is Gaurav. Therefore, Gaurav's position is 5.
Round 8:
The holder of the buck is Gaurav. The buck is passed immediately to the left, which means it is given to position 6 from 5, and the person receiving it is unknown. But we know that the person in position 6 is Diya. So, the buck is currently at position 6 with Diya.
Round 9 and 10:
The pass types of rounds 9 and 10 are unknown to us, but we are told that the buck is passed to Farhan in round 9 and to Chirag in round 10. The positions of Farhan and Chirag are currently not assigned, and they are out of 3, 4, and 7. From position 6, the only positions that Buck can reach out of the three are 4 or 7.
If the buck is passed to position 7 in round 9, then it has to reach either 3 or 4 in round 10 to get to Chirag, but it is not possible to pass the buck from 7 to 3 or 4 in a single round. So, we can eliminate the case of Buck going to 7 in round 9.
The only case left is for the buck to go to position 4 in round 9 and to position 3 in round 10, as from 4, the buck can only be passed to 3 out of 3 and 7 in one round. Hence, we can conclude that Farhan is placed at position 4 and Chirag is placed at position 3. This leaves out only position 7 and the only person left to be assigned is Eshan making the person at position 7 to be Eshan.
This is the final arrangement.
The person immediately to the right of Bina is Eshan.
Hence, the correct answer is option B.
Q48: Who is sitting third to the left of Eshan?
(a) Gaurav
(b) Divya
(c) Chirag
(d) Aarav
Ans: c
Sol: Let us place Bina at position 1 and arrange the numbers in a clockwise direction for better understanding, and then position the rest of the people on the table.
Round 1: The holder of the buck is Bina. The buck is passed immediately to the left, which means it is given to position 2 from 1, and it is received by Aarav. So, Aarav's position is 2.
Round 2: The holder of the buck is Aarav. The buck is passed second to the right, which means it is given to the position 7 from 2, and the person receiving it is unknown.
Round 3: The holder of the buck is unknown, but it is at position 7. The buck is passed immediately to the right, which means it is given to the position 6 from 7, and the person receiving it is Diya. Therefore, Diya's position is 6.
Round 4 and 5:
The buck is at position 6 at the start of round 4 with Diya, and the pass types of rounds 4 and 5 are not provided to us. The only information known to us is that after round 5, the buck is with Aarav, who is at position 2.The possible ways for Aarav to receive the buck after rounds 4 and 5 are:
1) Passing the buck second to the right in round 4 and second to the right in round 5.
2) Passing the buck second to the left in round 4 and to the left in round 5.
3) Passing the buck to the left in round 4 and second to the left in round 5.These are the only possible ways for the buck to reach Aarav after round 6.
Round 6: The holder of the buck is Aarav. The buck is passed second to the left, which means it is given to the position 4 from 2, and the person receiving it is unknown.Round 7: The holder of the buck is unknown, but it is at position 4. The buck is passed immediately to the left, which means it is given to position 5 from 4, and the person receiving it is Gaurav. Therefore, Gaurav's position is 5.
Round 8: The holder of the buck is Gaurav. The buck is passed immediately to the left, which means it is given to position 6 from 5, and the person receiving it is unknown. But we know that the person in position 6 is Diya. So, the buck is currently at position 6 with Diya.
Round 9 and 10:
The pass types of rounds 9 and 10 are unknown to us, but we are told that the buck is passed to Farhan in round 9 and to Chirag in round 10. The positions of Farhan and Chirag are currently not assigned, and they are out of 3, 4, and 7. From position 6, the only positions that Buck can reach out of the three are 4 or 7.
If the buck is passed to position 7 in round 9, then it has to reach either 3 or 4 in round 10 to get to Chirag, but it is not possible to pass the buck from 7 to 3 or 4 in a single round. So, we can eliminate the case of Buck going to 7 in round 9.
The only case left is for the buck to go to position 4 in round 9 and to position 3 in round 10, as from 4, the buck can only be passed to 3 out of 3 and 7 in one round. Hence, we can conclude that Farhan is placed at position 4 and Chirag is placed at position 3. This leaves out only position 7, and the only person left to be assigned is Eshan, making the person at position 7 Eshan.
This is the final arrangement.
The person third to the left of Eshan is Chirag.
Hence, the correct answer is option C.
Q49: For which of the following pass types can the total number of occurrences be uniquely determined?
(a) Immediately to the left
(b) Second to the right
(c) Immediately to the right
(d) Second to the left
Ans: c
Sol: Let us place Bina at position 1 and arrange the numbers in a clockwise direction for better understanding, and then position the rest of the people on the table.
Round 1: The holder of the buck is Bina. The buck is passed immediately to the left, which means it is given to position 2 from 1, and it is received by Aarav. So, Aarav's position is 2.
Round 2: The holder of the buck is Aarav. The buck is passed second to the right, which means it is given to the position 7 from 2, and the person receiving it is unknown.
Round 3: The holder of the buck is unknown, but it is at position 7. The buck is passed immediately to the right, which means it is given to the position 6 from 7, and the person receiving it is Diya. Therefore, Diya's position is 6.
Round 4 and 5:
The buck is at position 6 at the start of round 4 with Diya, and the pass types of rounds 4 and 5 are not provided to us. The only information known to us is that after round 5, the buck is with Aarav, who is at position 2.The possible ways for Aarav to receive the buck after rounds 4 and 5 are:
1) Passing the buck second to the right in round 4 and second to the right in round 5.
2) Passing the buck second to the left in round 4 and to the left in round 5.
3) Passing the buck to the left in round 4 and second to the left in round 5.These are the only possible ways for the buck to reach Aarav after round 6.
Round 6: The holder of the buck is Aarav. The buck is passed second to the left, which means it is given to the position 4 from 2, and the person receiving it is unknown.Round 7: The holder of the buck is unknown, but it is at position 4. The buck is passed immediately to the left, which means it is given to position 5 from 4, and the person receiving it is Gaurav. Therefore, Gaurav's position is 5.
Round 8: The holder of the buck is Gaurav. The buck is passed immediately to the left, which means it is given to position 6 from 5, and the person receiving it is unknown. But we know that the person in position 6 is Diya. So, the buck is currently at position 6 with Diya.
Round 9 and 10:
The pass types of rounds 9 and 10 are unknown to us, but we are told that the buck is passed to Farhan in round 9 and to Chirag in round 10. The positions of Farhan and Chirag are currently not assigned, and they are out of 3, 4, and 7. From position 6, the only positions that Buck can reach out of the three are 4 or 7.
If the buck is passed to position 7 in round 9, then it has to reach either 3 or 4 in round 10 to get to Chirag, but it is not possible to pass the buck from 7 to 3 or 4 in a single round. So, we can eliminate the case of Buck going to 7 in round 9.
The only case left is for the buck to go to position 4 in round 9 and to position 3 in round 10, as from 4, the buck can only be passed to 3 out of 3 and 7 in one round. Hence, we can conclude that Farhan is placed at position 4 and Chirag is placed at position 3. This leaves out only position 7, and the only person left to be assigned is Eshan, making the person at position 7 Eshan.
In rounds 4 and 5, the possibilities were
1) Passing the buck second to the right in round 4 and second to the right in round 5.
2) Passing the buck second to the left in round 4 and to the left in round 5.
3) Passing the buck to the left in round 4 and second to the left in round 5.Here, Buck could have been passed second to the right, second to the left or immediately to the left in rounds 4 and 5, which is unknown to us. The only pass type that we are certain to have happened is immediately to the right.
Hence, the correct answer is option C.
Q50: For which of the following children is it possible to determine how many times they received the Buck?
(a) Farhan
(b) Eshan
(c) Bina
(d) Gaurav
Ans: d
Sol: Let us place Bina at position 1 and arrange the numbers in a clockwise direction for better understanding, and then position the rest of the people on the table.
Round 1: The holder of the buck is Bina. The buck is passed immediately to the left, which means it is given to position 2 from 1, and it is received by Aarav. So, Aarav's position is 2.
Round 2: The holder of the buck is Aarav. The buck is passed second to the right, which means it is given to the position 7 from 2, and the person receiving it is unknown.
Round 3: The holder of the buck is unknown, but it is at position 7. The buck is passed immediately to the right, which means it is given to the position 6 from 7, and the person receiving it is Diya. Therefore, Diya's position is 6.
Round 4 and 5:
The buck is at position 6 at the start of round 4 with Diya, and the pass types of rounds 4 and 5 are not provided to us. The only information known to us is that after round 5, the buck is with Aarav, who is at position 2.The possible ways for Aarav to receive the buck after rounds 4 and 5 are:
1) Passing the buck second to the right in round 4 and second to the right in round 5.
2) Passing the buck second to the left in round 4 and to the left in round 5.
3) Passing the buck to the left in round 4 and second to the left in round 5.These are the only possible ways for the buck to reach Aarav after round 6.
Round 6: The holder of the buck is Aarav. The buck is passed second to the left, which means it is given to the position 4 from 2, and the person receiving it is unknown.Round 7: The holder of the buck is unknown, but it is at position 4. The buck is passed immediately to the left, which means it is given to position 5 from 4, and the person receiving it is Gaurav. Therefore, Gaurav's position is 5.
Round 8:
The holder of the buck is Gaurav. The buck is passed immediately to the left, which means it is given to position 6 from 5, and the person receiving it is unknown. But we know that the person in position 6 is Diya. So, the buck is currently at position 6 with Diya.Round 9 and 10:
The pass types of rounds 9 and 10 are unknown to us, but we are told that the buck is passed to Farhan in round 9 and to Chirag in round 10. The positions of Farhan and Chirag are currently not assigned, and they are out of 3, 4, and 7. From position 6, the only positions that Buck can reach out of the three are 4 or 7.
If the buck is passed to position 7 in round 9, then it has to reach either 3 or 4 in round 10 to get to Chirag, but it is not possible to pass the buck from 7 to 3 or 4 in a single round. So, we can eliminate the case of Buck going to 7 in round 9.
The only case left is for the buck to go to position 4 in round 9 and to position 3 in round 10, as from 4, the buck can only be passed to 3 out of 3 and 7 in one round. Hence, we can conclude that Farhan is placed at position 4 and Chirag is placed at position 3. This leaves out only position 7, and the only person left to be assigned is Eshan, making the person at position 7 Eshan.
In rounds 4 and 5, the possibilities were
1) Passing the buck second to the right in round 4 and second to the right in round 5. Here, the buck would have gone to Farhan in round 4.
2) Passing the buck second to the left in round 4 and to the left in round 5. Here, the buck would have gone to Bina in round 4.
3) Passing the buck to the left in round 4 and second to the left in round 5. Here, the buck would have gone to Eshan in round 4.In round 4, the buck might have gone to either Farhan, Bina or Eshan, which is not known to us. Therefore, the count of the number of times the buck was received by them cannot be determined uniquely, whereas it can be uniquely determined in the case of Gaurav, which is 1 in round 7.
Hence, the correct answer is option D.
Q51 to Q55:
Aurevia, Brelosia, Cyrenia and Zerathania are four countries with their currencies being Aurels, Brins, Crowns, and Zentars, respectively. The currencies have different exchange values. Crown's currency exchange rate with Zentars = 0.5, i.e., 1 Crown is worth 0.5 Zentars.
Three travelers, Jano, Kira, and Lian set out from Zerathania visiting exactly two of the countries. Each country is visited by exactly two travelers. Each traveler has a unique Flight Cost, which represents the total cost of airfare in traveling to both the countries and back to Zerathania. The Flight Cost of Jano was 4000 Zentars, while that of the other two travelers were 5000 and 6000 Zentars, not necessarily in that order. When visiting a country, a traveler spent either 1000, 2000 or 3000 in the country's local currency. Each traveler had different spends (in the country's local currency) in the two countries he/she visited. Across all the visits, there were exactly two spends of 1000 and exactly one spend of 3000 (in the country's local currency).
The total "Travel Cost" for a traveler is the sum of his/her Flight Cost and the money spent in the countries visited.
The citizens of the four countries with knowledge of these travels made a few observations, with spends measured in their respective local currencies:
i. Aurevia citizen: Jano and Kira visited our country, and their Travel Costs were 3500 and 8000, respectively.
ii. Brelosia citizen: Kira and Lian visited our country, spending 2000 and 3000, respectively. Kira's Travel Cost was 4000.
iii. Cyrenia citizen: Lian visited our country and her Travel Cost was 36000.
Q51: What is the sum of Travel Costs for all travelers in Zentars?
Ans: 41000
Sol: Let us assume units of Aurels, Brins, Crowns, and Zentars to be A, B, C and D, respectively.
We are given the travel cost of Jano to be 3500A in Statement 1.
We are also given the travel cost of Kira to be 8000A in Statement 1 and 4000B in Statement 2.
We are also given the travel cost of Lian to be 36000C in statement 3.
We know that the travel cost has to be constant throughout, so by equating the travel costs of Kira, we get,
8000A = 4000B
B = 2A ---(1)
We are also given the value of C to be 0.5 Z.
C = 0.5Z ---(2)
So, the travel cost of Lian = 36000C = 36000*0.5Z = 18000Z
Let us put the known information in the table, and we get,
We are given that the spending cost of any individual is different in different cities.
We are given that the spending amounts are amongst {1000, 2000, 3000} in their local currencies and also told that there were two spends of 1000 and one spend of 3000, which makes the total spending amount 2000, to be 3 because there are 6 spending amounts in total.
One 2000 and one 3000 are already assigned in the above table, so we will be left with two spends of 1000 and two spends of 2000 to be assigned.
Kira has already spent 2000, so the only amount that she must have spent is 1000, as she cannot spend 2000 twice in different countries.
Lian has already spent 3000, so the only amount that she must have spent is 2000. If she spent 1000, then Jano will be left with two 2000s, which is not possible.
We can also conclude that Jano spend 1000 and 2000 in some order in the two countries.
The flight costs are given as 4000Z, 5000Z, and 6000Z, out of which 4000Z is for Jano and 5000Z and 6000Z are for Kira and Lian, in some order.
Filling up the table with these values, we get,
Travel Cost = Spending Cost + Flight Cost
For Kira,
Travel Cost = 8000A
Spending Cost = 1000A + 4000A = 5000A
Flight Cost = 5000Z/6000Z
CASE 1: Flight cost of Kira = 5000Z and Flight cost of Lian = 6000Z
If we assume the Flight cost to be 5000Z, then we get,
8000A = 5000A + 5000Z
3000A = 5000Z
A = 5335Z
For Lian,
Travel Cost = 18000Z
Spending Cost = 6000A + 1000Z = 6000× 53× 35Z + 1000Z = 11000Z
Flight Cost = Travel Cost - Spending Cost = 18000Z - 11000Z = 7000Z
But in our assumption, the Flight Cost of Lian is 6000Z, which does not match the above answer.
So, we can eliminate this case.
CASE 2: Flight cost of Kira = 6000Z and Flight cost of Lian = 5000Z
If we assume the Flight cost to be 6000Z, then we get,
8000A = 5000A + 6000Z
3000A = 6000Z
A = 2Z
For Lian,
Travel Cost = 18000Z
Spending Cost = 6000A + 1000Z = 6000*2Z + 1000Z = 13000Z
Flight Cost = Travel Cost - Spending Cost = 18000Z - 13000Z = 5000Z
In our assumption, the Flight Cost of Lian is 5000Z, which matches the above answer.
So, Flight cost of Kira = 6000Z, Flight cost of Lian = 5000Z and A = 2Z.
Filling the table with calculated values all in the currency of Z, we get,
In the case of Zano,
Spending Cost = Travel Cost - Flight Cost = 7000Z - 4000Z = 3000Z
In the first case, the Spending Cost = 2000Z + 1000Z = 3000Z
In the second case, the Spending Cost = 4000Z + 500Z = 4500Z
We obtained a spending cost of 3000Z only in the first case, so we can eliminate the second case.
The final table looks like,
The total Travel Cost = 7000Z + 16000Z + 18000Z = 41000Z
Hence, the correct answer is 41000.
Q52: How many Zentars did Lian spend in the two countries he visited?
Ans: 13000
Sol: Let us assume units of Aurels, Brins, Crowns, and Zentars to be A, B, C and D, respectively.We are given the travel cost of Jano to be 3500A in Statement 1.
We are also given the travel cost of Kira to be 8000A in Statement 1 and 4000B in Statement 2.
We are also given the travel cost of Lian to be 36000C in statement 3.
We know that the travel cost has to be constant throughout, so by equating the travel costs of Kira, we get,
8000A = 4000B
B = 2A ---(1)
We are also given the value of C to be 0.5 Z.
C = 0.5Z ---(2)
So, the travel cost of Lian = 36000C = 36000*0.5Z = 18000Z
Let us put the known information in the table, and we get,
We are given that the spending cost of any individual is different in different cities.
We are given that the spending amounts are amongst {1000, 2000, 3000} in their local currencies and also told that there were two spends of 1000 and one spend of 3000, which makes the total spending amount 2000, to be 3 because there are 6 spending amounts in total.
One 2000 and one 3000 are already assigned in the above table, so we will be left with two spends of 1000 and two spends of 2000 to be assigned.
Kira has already spent 2000, so the only amount that she must have spent is 1000, as she cannot spend 2000 twice in different countries.
Lian has already spent 3000, so the only amount that she must have spent is 2000. If she spent 1000, then Jano will be left with two 2000s, which is not possible.
We can also conclude that Jano spent 1000 and 2000 in some order in the two countries.
The flight costs are given as 4000Z, 5000Z, and 6000Z, out of which 4000Z is for Jano and 5000Z and 6000Z are for Kira and Lian, in some order.
Filling up the table with these values, we get,
Travel Cost = Spending Cost + Flight Cost
For Kira,
Travel Cost = 8000A
Spending Cost = 1000A + 4000A = 5000A
Flight Cost = 5000Z/6000Z
CASE 1: Flight cost of Kira = 5000Z and Flight cost of Lian = 6000Z
If we assume the Flight cost to be 5000Z, then we get,
8000A = 5000A + 5000Z
3000A = 5000Z
A = 5335Z
For Lian,
Travel Cost = 18000Z
Spending Cost = 6000A + 1000Z = 6000× 53× 35Z + 1000Z = 11000Z
Flight Cost = Travel Cost - Spending Cost = 18000Z - 11000Z = 7000Z
But in our assumption, the Flight Cost of Lian is 6000Z, which does not match the above answer.
So, we can eliminate this case.
CASE 2: Flight cost of Kira = 6000Z and Flight cost of Lian = 5000Z
If we assume the Flight cost to be 6000Z, then we get,
8000A = 5000A + 6000Z
3000A = 6000Z
A = 2Z
For Lian,
Travel Cost = 18000Z
Spending Cost = 6000A + 1000Z = 6000*2Z + 1000Z = 13000Z
Flight Cost = Travel Cost - Spending Cost = 18000Z - 13000Z = 5000Z
In our assumption, the Flight Cost of Lian is 5000Z, which matches the above answer.
So, Flight cost of Kira = 6000Z, Flight cost of Lian = 5000Z and A = 2Z.
Filling the table with calculated values all in the currency of Z, we get,
In the case of Zano,
Spending Cost = Travel Cost - Flight Cost = 7000Z - 4000Z = 3000Z
In the first case, the Spending Cost = 2000Z + 1000Z = 3000Z
In the second case, the Spending Cost = 4000Z + 500Z = 4500Z
We obtained a spending cost of 3000Z only in the first case, so we can eliminate the second case.
The final table looks like,
Spending Cost of Lian = 12000Z + 1000Z = 13000Z
Hence, the correct answer is 13000.
Q53: What was Jano's total spend in the two countries he visited, in Aurels?
Ans: 1500
Sol: Let us assume units of Aurels, Brins, Crowns, and Zentars to be A, B, C and D, respectively.We are given the travel cost of Jano to be 3500A in Statement 1.
We are also given the travel cost of Kira to be 8000A in Statement 1 and 4000B in Statement 2.
We are also given the travel cost of Lian to be 36000C in statement 3.
We know that the travel cost has to be constant throughout, so by equating the travel costs of Kira, we get,
8000A = 4000B
B = 2A ---(1)
We are also given the value of C to be 0.5 Z.
C = 0.5Z ---(2)
So, the travel cost of Lian = 36000C = 36000*0.5Z = 18000Z
Let us put the known information in the table, and we get,
We are given that the spending cost of any individual is different in different cities.
We are given that the spending amounts are amongst {1000, 2000, 3000} in their local currencies and also told that there were two spends of 1000 and one spend of 3000, which makes the total spending amount 2000, to be 3 because there are 6 spending amounts in total.
One 2000 and one 3000 are already assigned in the above table, so we will be left with two spends of 1000 and two spends of 2000 to be assigned.
Kira has already spent 2000, so the only amount that she must have spent is 1000, as she cannot spend 2000 twice in different countries.
Lian has already spent 3000, so the only amount that she must have spent is 2000. If she spent 1000, then Jano will be left with two 2000s, which is not possible.
We can also conclude that Jano spend 1000 and 2000 in some order in the two countries.
The flight costs are given as 4000Z, 5000Z, and 6000Z, out of which 4000Z is for Jano and 5000Z and 6000Z are for Kira and Lian, in some order.
Filling up the table with these values, we get,
Travel Cost = Spending Cost + Flight Cost
For Kira,
Travel Cost = 8000A
Spending Cost = 1000A + 4000A = 5000A
Flight Cost = 5000Z/6000Z
CASE 1: Flight cost of Kira = 5000Z and Flight cost of Lian = 6000Z
If we assume the Flight cost to be 5000Z, then we get,
8000A = 5000A + 5000Z
3000A = 5000Z
A = 5335Z
For Lian,
Travel Cost = 18000Z
Spending Cost = 6000A + 1000Z = 6000× 53× 35Z + 1000Z = 11000Z
Flight Cost = Travel Cost - Spending Cost = 18000Z - 11000Z = 7000Z
But in our assumption, the Flight Cost of Lian is 6000Z, which does not match the above answer.
So, we can eliminate this case.
CASE 2: Flight cost of Kira = 6000Z and Flight cost of Lian = 5000Z
If we assume the Flight cost to be 6000Z, then we get,
8000A = 5000A + 6000Z
3000A = 6000Z
A = 2Z
For Lian,
Travel Cost = 18000Z
Spending Cost = 6000A + 1000Z = 6000*2Z + 1000Z = 13000Z
Flight Cost = Travel Cost - Spending Cost = 18000Z - 13000Z = 5000Z
In our assumption, the Flight Cost of Lian is 5000Z, which matches the above answer.
So, Flight cost of Kira = 6000Z, Flight cost of Lian = 5000Z and A = 2Z.
Filling the table with calculated values all in the currency of Z, we get,
In the case of Zano,
Spending Cost = Travel Cost - Flight Cost = 7000Z - 4000Z = 3000Z
In the first case, the Spending Cost = 2000Z + 1000Z = 3000Z
In the second case, the Spending Cost = 4000Z + 500Z = 4500Z
We obtained a spending cost of 3000Z only in the first case, so we can eliminate the second case.
The final table looks like,
Total Spending Cost of Jano = 2000Z + 1000Z = 3000Z
We know that A = 2Z, so the above value in A can be calculated as,
3000Z = 3000*A/2 = 1500A
So, the spending of Jano in Aurels is 1500A.
Hence, the correct answer is 1500.
Q54: One Brin is equivalent to how many Crowns?
(a) 8
(b) 0.125
(c) 0.5
(d) 4
Ans: a
Sol: Let us assume units of Aurels, Brins, Crowns, and Zentars to be A, B, C and D, respectively.
We are given the travel cost of Jano to be 3500A in Statement 1.
We are also given the travel cost of Kira to be 8000A in Statement 1 and 4000B in Statement 2.
We are also given the travel cost of Lian to be 36000C in statement 3.
We know that the travel cost has to be constant throughout, so by equating the travel costs of Kira, we get,8000A = 4000B
B = 2A ---(1)
We are also given the value of C to be 0.5 Z.
C = 0.5Z ---(2)
So, the travel cost of Lian = 36000C = 36000*0.5Z = 18000Z
Let us put the known information in the table, and we get,
We are given that the spending cost of any individual is different in different cities.
We are given that the spending amounts are amongst {1000, 2000, 3000} in their local currencies and also told that there were two spends of 1000 and one spend of 3000, which makes the total spending amount 2000, to be 3 because there are 6 spending amounts in total.
One 2000 and one 3000 are already assigned in the above table, so we will be left with two spends of 1000 and two spends of 2000 to be assigned.
Kira has already spent 2000, so the only amount that she must have spent is 1000, as she cannot spend 2000 twice in different countries.
Lian has already spent 3000, so the only amount that she must have spent is 2000. If she spent 1000, then Jano will be left with two 2000s, which is not possible.
We can also conclude that Jano spent 1000 and 2000 in some order in the two countries.
The flight costs are given as 4000Z, 5000Z, and 6000Z, out of which 4000Z is for Jano and 5000Z and 6000Z are for Kira and Lian, in some order.
Filling up the table with these values, we get,
Travel Cost = Spending Cost + Flight Cost
For Kira,
Travel Cost = 8000A
Spending Cost = 1000A + 4000A = 5000A
Flight Cost = 5000Z/6000Z
CASE 1: Flight cost of Kira = 5000Z and Flight cost of Lian = 6000Z
If we assume the Flight cost to be 5000Z, then we get,
8000A = 5000A + 5000Z
3000A = 5000Z
A = 5335Z
For Lian,
Travel Cost = 18000Z
Spending Cost = 6000A + 1000Z = 6000× 53× 35Z + 1000Z = 11000Z
Flight Cost = Travel Cost - Spending Cost = 18000Z - 11000Z = 7000Z
But in our assumption, the Flight Cost of Lian is 6000Z, which does not match the above answer.
So, we can eliminate this case.
CASE 2: Flight cost of Kira = 6000Z and Flight cost of Lian = 5000Z
If we assume the Flight cost to be 6000Z, then we get,
8000A = 5000A + 6000Z
3000A = 6000Z
A = 2Z
For Lian,
Travel Cost = 18000Z
Spending Cost = 6000A + 1000Z = 6000*2Z + 1000Z = 13000Z
Flight Cost = Travel Cost - Spending Cost = 18000Z - 13000Z = 5000Z
In our assumption, the Flight Cost of Lian is 5000Z, which matches the above answer.
So, Flight cost of Kira = 6000Z, Flight cost of Lian = 5000Z and A = 2Z.
Filling the table with calculated values all in the currency of Z, we get,
In the case of Zano,
Spending Cost = Travel Cost - Flight Cost = 7000Z - 4000Z = 3000Z
In the first case, the Spending Cost = 2000Z + 1000Z = 3000Z
In the second case, the Spending Cost = 4000Z + 500Z = 4500Z
We obtained a spending cost of 3000Z only in the first case, so we can eliminate the second case.
The final table looks like,
We know that B = 2A and A = 2Z, so the value of B in terms of Z is
B = 2*2Z = 4Z --(3)
We also know that
C = 0.5Z --(4)
Dividing (3) by (4), we get,
B = 8CSo, one Brin is equivalent to 8 crowns.
Hence, the correct answer is option A.
Q55: Which of the following statements is NOT true about money spent in the local currency?
(a) Jano spent 2000 in Aurevia
(b) Lian spent 2000 in Cyrenia
(c) Jano spent 2000 in Cyrenia
(d) Kira spent 1000 in Aurevia
Ans: a
Sol: Let us assume units of Aurels, Brins, Crowns, and Zentars to be A, B, C and D, respectively.We are given the travel cost of Jano to be 3500A in Statement 1.
We are also given the travel cost of Kira to be 8000A in Statement 1 and 4000B in Statement 2.
We are also given the travel cost of Lian to be 36000C in statement 3.
We know that the travel cost has to be constant throughout, so by equating the travel costs of Kira, we get,
8000A = 4000B
B = 2A ---(1)
We are also given the value of C to be 0.5 Z.
C = 0.5Z ---(2)
So, the travel cost of Lian = 36000C = 36000*0.5Z = 18000Z
Let us put the known information in the table, and we get,
We are given that the spending cost of any individual is different in different cities.
We are given that the spending amounts are amongst {1000, 2000, 3000} in their local currencies and also told that there were two spends of 1000 and one spend of 3000, which makes the total spending amount 2000, to be 3 because there are 6 spending amounts in total.
One 2000 and one 3000 are already assigned in the above table, so we will be left with two spends of 1000 and two spends of 2000 to be assigned.
Kira has already spent 2000, so the only amount that she must have spent is 1000, as she cannot spend 2000 twice in different countries.
Lian has already spent 3000, so the only amount that she must have spent is 2000. If she spent 1000, then Jano will be left with two 2000s, which is not possible.
We can also conclude that Jano spend 1000 and 2000 in some order in the two countries.
The flight costs are given as 4000Z, 5000Z, and 6000Z, out of which 4000Z is for Jano and 5000Z and 6000Z are for Kira and Lian, in some order.
Filling up the table with these values, we get,
Travel Cost = Spending Cost + Flight Cost
For Kira,
Travel Cost = 8000A
Spending Cost = 1000A + 4000A = 5000A
Flight Cost = 5000Z/6000Z
CASE 1: Flight cost of Kira = 5000Z and Flight cost of Lian = 6000Z
If we assume the Flight cost to be 5000Z, then we get,
8000A = 5000A + 5000Z
3000A = 5000Z
A = 5335Z
For Lian,
Travel Cost = 18000Z
Spending Cost = 6000A + 1000Z = 6000× 53× 35Z + 1000Z = 11000Z
Flight Cost = Travel Cost - Spending Cost = 18000Z - 11000Z = 7000Z
But in our assumption, the Flight Cost of Lian is 6000Z, which does not match the above answer.
So, we can eliminate this case.
CASE 2: Flight cost of Kira = 6000Z and Flight cost of Lian = 5000Z
If we assume the Flight cost to be 6000Z, then we get,
8000A = 5000A + 6000Z
3000A = 6000Z
A = 2Z
For Lian,
Travel Cost = 18000Z
Spending Cost = 6000A + 1000Z = 6000*2Z + 1000Z = 13000Z
Flight Cost = Travel Cost - Spending Cost = 18000Z - 13000Z = 5000Z
In our assumption, the Flight Cost of Lian is 5000Z, which matches the above answer.
So, Flight cost of Kira = 6000Z, Flight cost of Lian = 5000Z and A = 2Z.
Filling the table with calculated values all in the currency of Z, we get,
In the case of Zano,
Spending Cost = Travel Cost - Flight Cost = 7000Z - 4000Z = 3000Z
In the first case, the Spending Cost = 2000Z + 1000Z = 3000Z
In the second case, the Spending Cost = 4000Z + 500Z = 4500Z
We obtained a spending cost of 3000Z only in the first case, so we can eliminate the second case.
The final table looks like,
Statement 1) Jano spent 2000 in Aurevia
Jano spent 2000Z in Aurevia = 1000A in Aurevia.
So, this option is incorrect.
Statement 2) Lian spent 2000 in Cyrenia
Lian spent 1000Z in Cyrenia = 2000C in Cyrenia.
So, this option is correct.
Statement 3) Jano spent 2000 in Cyrenia
Jano spent 1000Z in Cyrenia = 2000C in Cyrenia.
So, this option is correct.
Statement 4) Kira spent 1000 in Aurevia
Kira spent 2000Z in Aurevia = 1000A in Aurevia.
So, this option is correct.
Hence, the correct answer is option A.
Q56 to Q59:
Anirbid, Chandranath, Koushik, and Suranjan participated in a puzzle solving competition. The competition comprised 10 puzzles that had to be solved in the same sequence, i.e., a competitor got access to a puzzle as soon as they solved the previous puzzle. Some of the puzzles were visual puzzles and the others were number-based puzzles. The winner of the competition was the one who solved all puzzles in the least time.
The following charts describe their progress in the competition. The chart on the left shows the number of puzzles solved by each competitor at a given time (in minutes) after the start of the competition. The chart on the right shows the number of visual puzzles solved by each competitor at a given time (in minutes) after the start of the competition.

Q56: Who had solved the largest number of puzzles by the 20-th minute from the start of the competition?
(a) Chandranath
(b) Koushik
(c) Suranjan
(d) Anirbid
Ans: b
Sol: The left plot shows, for each competitor, a step (staircase) curve whose height at any time t equals the number of puzzles that competitor has completed by minute t.To find who solved the most puzzles by the 20th minute, draw a vertical line at t=20 (or simply read the height of each competitor's colored stair at the vertical line x=20).
Reading the four curves at t=20:
The green staircase (Koushik) is at the highest horizontal level at t=20.
The yellow (Chandranath) and red (Anirbid) staircases are lower than the green ones at that time.
The blue (Suranjan) staircase is the lowest of the four at t=20.
Since Koushik's value is greater than every other competitor's at t=20, Koushik has solved the largest number of puzzles by the 20th minute.
Hence, the correct answer is option B.
Q57: How many minutes did Suranjan take to solve the third visual puzzle in the competition?
Ans: 2
Sol: Comparing the 1st and 2nd graphs, we should be able to determine the type of puzzle.From the second graph, we can say that there are 4 visual-based puzzles in total, which makes the number-based puzzles 6.
Let us follow the green line in both graphs:
The 1st visual-based puzzle was completed by Green in 2 minutes from the 2nd graph. From the 1st graph at the 2nd minute, the puzzle that was solved by Green was 1. So, we can say that 1 is a visual-based puzzle.
The 2nd visual-based puzzle was completed by Green in 12 minutes from the 2nd graph. From the 1st graph at the 12th minute, the puzzle that was solved by Green was 4. So, we can say that 4 is a visual-based puzzle.
The 3rd visual-based puzzle was completed by Green in 25 minutes from the 2nd graph. From the 1st graph at the 25th minute, the puzzle that was solved by Green was 8. So, we can say that 8 is a visual-based puzzle.
The 4th visual-based puzzle was completed by Green in 29 minutes from the 2nd graph. From the 1st graph at the 29th minute, the puzzle that was solved by Green was 9. So, we can say that 9 is a visual-based puzzle.
We can conclude that puzzles 1, 4, 8, and 9 are visual-based, while puzzles 2, 3, 5, 6, 7, and 10 are number-based.
So, the third visual puzzle is 8, and the time taken by Suranjan(blue) to complete the 3rd visual-based puzzle, which is the 8th puzzle, can be calculated as,
The time taken by Suranjan to solve the 8th puzzle from graph 1 = 28 - 26 = 2 minutes.
Hence, the correct answer is 2.
Q58: At what number in the sequence was the fourth number-based puzzle?
Ans: 6
Sol: Comparing the 1st and 2nd graphs, we should be able to determine the type of puzzle.From the second graph, we can say that there are 4 visual-based puzzles in total, which makes the number-based puzzles 6.
Let us follow the green line in both graphs:
The 1st visual-based puzzle was completed by Green in 2 minutes from the 2nd graph. From the 1st graph at the 2nd minute, the puzzle that was solved by Green was 1. So, we can say that 1 is a visual-based puzzle.
The 2nd visual-based puzzle was completed by Green in 12 minutes from the 2nd graph. From the 1st graph at the 12th minute, the puzzle that was solved by Green was 4. So, we can say that 4 is a visual-based puzzle.
The 3rd visual-based puzzle was completed by Green in 25 minutes from the 2nd graph. From the 1st graph at the 25th minute, the puzzle that was solved by Green was 8. So, we can say that 8 is a visual-based puzzle.
The 4th visual-based puzzle was completed by Green in 29 minutes from the 2nd graph. From the 1st graph at the 29th minute, the puzzle that was solved by Green was 9. So, we can say that 9 is a visual-based puzzle.
We can conclude that puzzles 1, 4, 8, and 9 are visual-based, while puzzles 2, 3, 5, 6, 7, and 10 are number-based.
The fourth number-based puzzle is 6th puzzle in the order.
Hence, the correct answer is 6.
Q59: Which of the following is the closest to the average time taken by Anirbid to solve the number-based puzzles in the competition?
(a) 3.3 minutes
(b) 2.5 minutes
(c) 3.8 minutes
(d) 4.0 minutes
Ans: d
Sol: Comparing the 1st and 2nd graphs, we should be able to determine the type of puzzle.From the second graph, we can say that there are 4 visual-based puzzles in total, which makes the number-based puzzles 6.
Let us follow the green line in both graphs:
The 1st visual-based puzzle was completed by Green in 2 minutes from the 2nd graph. From the 1st graph at the 2nd minute, the puzzle that was solved by Green was 1. So, we can say that 1 is a visual-based puzzle.
The 2nd visual-based puzzle was completed by Green in 12 minutes from the 2nd graph. From the 1st graph at the 12th minute, the puzzle that was solved by Green was 4. So, we can say that 4 is a visual-based puzzle.
The 3rd visual-based puzzle was completed by Green in 25 minutes from the 2nd graph. From the 1st graph at the 25th minute, the puzzle that was solved by Green was 8. So, we can say that 8 is a visual-based puzzle.
The 4th visual-based puzzle was completed by Green in 29 minutes from the 2nd graph. From the 1st graph at the 29th minute, the puzzle that was solved by Green was 9. So, we can say that 9 is a visual-based puzzle.
We can conclude that puzzles 1, 4, 8, and 9 are visual-based, while puzzles 2, 3, 5, 6, 7, and 10 are number-based.
The average time taken by Anirbid to solve the number-based puzzles can be calculated as,
Time for 1st number-based puzzle(2nd puzzle) from 1st graph = 9 - 4 = 5 minutes.
Time for 2nd number-based puzzle(3rd puzzle) from 1st graph = 11 - 9 = 2 minutes.
Time for 3rd number-based puzzle(5th puzzle) from 1st graph = 19 - 14 = 5 minutes.
Time for 4th number-based puzzle(6th puzzle) from 1st graph = 22 - 19 = 3 minutes.
Time for 5th number-based puzzle(7th puzzle) from 1st graph = 27 - 22 = 5 minutes.
Time for 6th number-based puzzle(10th puzzle) from 1st graph = 37 - 33 = 4 minutes.
The average time taken by Anirbid to solve the number-based puzzles is 4 minutes.
Hence, the correct answer is option D.
Q60 to Q65:
Three countries - Pumpland (P), Xiland (X) and Cheeseland (C) - trade among themselves and with the (other countries in) Rest of World (ROW). All trade volumes are given in IC (international currency). The following terminology is used:
The following information is known.
Q60: How much is exported from C to X, in IC?
Ans: 48
Sol: In clue 5, we are given that export volumes of P, in IC, to X and C are 600 and 1200, respectively, and P is the only country that exports to C. So, the export from X to C and ROW to C is 0.
In clue 1, we are given that normalised trade balances of P, X and C are 0%, 10%, and -20%, respectively.
For P, since the normalised trade balance is 0% the exports have to be equal to the imports according to the given formula. So, let us assume them to be 10a and 10a.
For X,
So, let us assume export to be 11b and import to be 9b.For C,
So, let us assume export to be 2c and import to be 3c.
In clue 2, we are given that 40% of exports of X are to P and 22% of imports of P are from X.
40% of the exports of
exports from X to P
22% of the imports of
imports to P from X
Equating both, we get,
4.4b = 2.2a
a = 2b.
We are also given that imports for C are only from P, and we can set the rest of the imports for C to 0.
The total imports for C = 3c = 1200
c = 400
This makes the exports for C = 2c = 800
In clue 3, we are given that 90% of exports of C are to P and 4% are to ROW.
90% of the exports of
exports from C to P
4% of the exports of Cexports from C to ROW
The exports from C to X = 800 - 720 - 32 = 48
In clue 4, we are given that 12% of exports of ROW are to X, 40% are to P.
If we assume that Imports of ROW are m and exports of ROW are n.
12% of the exports of ROW
exports from ROW to X
40% of the exports of ROWexports from ROW to P
Placing all the values in the table, we get,
Equating the imports of P and X to the Totals, we get,
For P,
4.4b + 720 + 0.4n = 20b
15.6b = 720 + 0.4n --(1)
For X,
600 + 48 + 0.12n = 9b
9b = 648 + 0.12n --(2)
Solving (1) and (2), we get
From (1),15.6b = 720 + 0.4(2100)
15.6b = 1560
b = 100
Exports of P to ROW = 20b - 600 - 1200 = 2000 - 1800 = 200
Exports of X to ROW = 11b - 4.4b = 6.6b = 660
Substituting the values of b and n, we can figure out all the values except for Imports and Exports of ROW to ROW.
The value of exports and imports of ROW to ROW has to be equal.
We calculated the value of n to be 2100.
The exports of ROW to ROW can be calculated as,
Exports of ROW to ROW = 2100 - 840 - 252 = 1008 = Imports of ROW to ROW.
The value of m can be calculated as,
m = 200 + 660 + 32 + 1008 = 1900.
Filling up the table with all the values, we get,
Exports from C to X are 48 IC.
Hence, the correct answer is 48.
Q61: How much is exported from P to ROW, in IC?
Ans: 200
Sol: In clue 5, we are given that export volumes of P, in IC, to X and C are 600 and 1200, respectively, and P is the only country that exports to C. So, the export from X to C and ROW to C is 0.
In clue 1, we are given that normalised trade balances of P, X and C are 0%, 10%, and -20%, respectively.
For P, since the normalised trade balance is 0% the exports have to be equal to the imports according to the given formula. So, let us assume them to be 10a and 10a.
For X,
So, let us assume export to be 11b and import to be 9b.For C,
So, let us assume export to be 2c and import to be 3c.
In clue 2, we are given that 40% of exports of X are to P and 22% of imports of P are from X.
40% of the exports of
exports from X to P
22% of the imports of
imports to P from X
Equating both, we get,
4.4b = 2.2a
a = 2b.
We are also given that imports for C are only from P, and we can set the rest of the imports for C to 0.
The total imports for C = 3c = 1200
c = 400
This makes the exports for C = 2c = 800
In clue 3, we are given that 90% of exports of C are to P and 4% are to ROW.
90% of the exports of
exports from C to P
4% of the exports of Cexports from C to ROW
The exports from C to X = 800 - 720 - 32 = 48
In clue 4, we are given that 12% of exports of ROW are to X, 40% are to P.
If we assume that Imports of ROW are m and exports of ROW are n.
12% of the exports of ROW
exports from ROW to X
40% of the exports of ROWexports from ROW to P
Placing all the values in the table, we get,
Equating the imports of P and X to the Totals, we get,
For P,
4.4b + 720 + 0.4n = 20b
15.6b = 720 + 0.4n --(1)
For X,
600 + 48 + 0.12n = 9b
9b = 648 + 0.12n --(2)
Solving (1) and (2), we get
From (1),15.6b = 720 + 0.4(2100)
15.6b = 1560
b = 100
Exports of P to ROW = 20b - 600 - 1200 = 2000 - 1800 = 200
Exports of X to ROW = 11b - 4.4b = 6.6b = 660
Substituting the values of b and n, we can figure out all the values except for Imports and Exports of ROW to ROW.
The value of exports and imports of ROW to ROW has to be equal.
We calculated the value of n to be 2100.
The exports of ROW to ROW can be calculated as,
Exports of ROW to ROW = 2100 - 840 - 252 = 1008 = Imports of ROW to ROW.
The value of m can be calculated as,
m = 200 + 660 + 32 + 1008 = 1900.
Filling up the table with all the values, we get,
The exports from P to ROW 200 IC.
Hence, the correct answer is 200.
Q62: How much is exported from ROW to ROW, in IC?
Ans: 1008
Sol: In clue 5, we are given that export volumes of P, in IC, to X and C are 600 and 1200, respectively, and P is the only country that exports to C. So, the export from X to C and ROW to C is 0.
In clue 1, we are given that normalised trade balances of P, X and C are 0%, 10%, and -20%, respectively.
For P, since the normalised trade balance is 0% the exports have to be equal to the imports according to the given formula. So, let us assume them to be 10a and 10a.
For X,
So, let us assume export to be 11b and import to be 9b.For C,
So, let us assume export to be 2c and import to be 3c.
In clue 2, we are given that 40% of exports of X are to P and 22% of imports of P are from X.
40% of the exports of
exports from X to P
22% of the imports of
imports to P from X
Equating both, we get,
4.4b = 2.2a
a = 2b.
We are also given that imports for C are only from P, and we can set the rest of the imports for C to 0.
The total imports for C = 3c = 1200
c = 400
This makes the exports for C = 2c = 800
In clue 3, we are given that 90% of exports of C are to P and 4% are to ROW.
90% of the exports of
exports from C to P
4% of the exports of Cexports from C to ROW
The exports from C to X = 800 - 720 - 32 = 48
In clue 4, we are given that 12% of exports of ROW are to X, 40% are to P.
If we assume that Imports of ROW are m and exports of ROW are n.
12% of the exports of ROW
exports from ROW to X
40% of the exports of ROWexports from ROW to P
Placing all the values in the table, we get,
Equating the imports of P and X to the Totals, we get,
For P,
4.4b + 720 + 0.4n = 20b
15.6b = 720 + 0.4n --(1)
For X,
600 + 48 + 0.12n = 9b
9b = 648 + 0.12n --(2)
Solving (1) and (2), we get
From (1),15.6b = 720 + 0.4(2100)
15.6b = 1560
b = 100
Exports of P to ROW = 20b - 600 - 1200 = 2000 - 1800 = 200
Exports of X to ROW = 11b - 4.4b = 6.6b = 660
Substituting the values of b and n, we can figure out all the values except for Imports and Exports of ROW to ROW.
The value of exports and imports of ROW to ROW has to be equal.
We calculated the value of n to be 2100.
The exports of ROW to ROW can be calculated as,
Exports of ROW to ROW = 2100 - 840 - 252 = 1008 = Imports of ROW to ROW.
The value of m can be calculated as,
m = 200 + 660 + 32 + 1008 = 1900.
Filling up the table with all the values, we get,
The exports from ROW to ROW are 1008 IC.
Hence, the correct answer is 1008.
Q63: What is the trade balance of ROW?
(a) 0
(b) -200
(c) 100
(d) 200
Ans: d
Sol: In clue 5, we are given that export volumes of P, in IC, to X and C are 600 and 1200, respectively, and P is the only country that exports to C. So, the export from X to C and ROW to C is 0.In clue 1, we are given that normalised trade balances of P, X and C are 0%, 10%, and -20%, respectively.
For P, since the normalised trade balance is 0% the exports have to be equal to the imports according to the given formula. So, let us assume them to be 10a and 10a.
For X,
So, let us assume export to be 11b and import to be 9b.For C,
So, let us assume export to be 2c and import to be 3c.
In clue 2, we are given that 40% of exports of X are to P and 22% of imports of P are from X.
40% of the exports of
exports from X to P
22% of the imports of
imports to P from X
Equating both, we get,
4.4b = 2.2a
a = 2b.
We are also given that imports for C are only from P, and we can set the rest of the imports for C to 0.
The total imports for C = 3c = 1200
c = 400
This makes the exports for C = 2c = 800
In clue 3, we are given that 90% of exports of C are to P and 4% are to ROW.
90% of the exports of
exports from C to P
4% of the exports of Cexports from C to ROW
The exports from C to X = 800 - 720 - 32 = 48
In clue 4, we are given that 12% of exports of ROW are to X, 40% are to P.
If we assume that Imports of ROW are m and exports of ROW are n.
12% of the exports of ROW
exports from ROW to X
40% of the exports of ROWexports from ROW to P
Placing all the values in the table, we get,
Equating the imports of P and X to the Totals, we get,
For P,
4.4b + 720 + 0.4n = 20b
15.6b = 720 + 0.4n --(1)
For X,
600 + 48 + 0.12n = 9b
9b = 648 + 0.12n --(2)
Solving (1) and (2), we get
From (1),15.6b = 720 + 0.4(2100)
15.6b = 1560
b = 100
Exports of P to ROW = 20b - 600 - 1200 = 2000 - 1800 = 200
Exports of X to ROW = 11b - 4.4b = 6.6b = 660
Substituting the values of b and n, we can figure out all the values except for Imports and Exports of ROW to ROW.
The value of exports and imports of ROW to ROW has to be equal.
We calculated the value of n to be 2100.
The exports of ROW to ROW can be calculated as,
Exports of ROW to ROW = 2100 - 840 - 252 = 1008 = Imports of ROW to ROW.
The value of m can be calculated as,
m = 200 + 660 + 32 + 1008 = 1900.
Filling up the table with all the values, we get,
Trade balance of ROW = Exports - Imports = 2100 - 1900 = 200.
Hence, the correct answer is option D.
Q64: Which among the countries P, X, and C has/have the least total trade?
(a) Only X
(b) Only C
(c) Both X and C
(d) Only p
Ans: c
Sol: In clue 5, we are given that export volumes of P, in IC, to X and C are 600 and 1200, respectively, and P is the only country that exports to C. So, the export from X to C and ROW to C is 0.In clue 1, we are given that normalised trade balances of P, X and C are 0%, 10%, and -20%, respectively.
For P, since the normalised trade balance is 0% the exports have to be equal to the imports according to the given formula. So, let us assume them to be 10a and 10a.
For X,
So, let us assume export to be 11b and import to be 9b.For C,
So, let us assume export to be 2c and import to be 3c.
In clue 2, we are given that 40% of exports of X are to P and 22% of imports of P are from X.
40% of the exports of
exports from X to P
22% of the imports of
imports to P from X
Equating both, we get,
4.4b = 2.2a
a = 2b.
We are also given that imports for C are only from P, and we can set the rest of the imports for C to 0.
The total imports for C = 3c = 1200
c = 400
This makes the exports for C = 2c = 800
In clue 3, we are given that 90% of exports of C are to P and 4% are to ROW.
90% of the exports of
exports from C to P
4% of the exports of Cexports from C to ROW
The exports from C to X = 800 - 720 - 32 = 48
In clue 4, we are given that 12% of exports of ROW are to X, 40% are to P.
If we assume that Imports of ROW are m and exports of ROW are n.
12% of the exports of ROW
exports from ROW to X
40% of the exports of ROWexports from ROW to P
Placing all the values in the table, we get,
Equating the imports of P and X to the Totals, we get,
For P,
4.4b + 720 + 0.4n = 20b
15.6b = 720 + 0.4n --(1)
For X,
600 + 48 + 0.12n = 9b
9b = 648 + 0.12n --(2)
Solving (1) and (2), we get
From (1),15.6b = 720 + 0.4(2100)
15.6b = 1560
b = 100
Exports of P to ROW = 20b - 600 - 1200 = 2000 - 1800 = 200
Exports of X to ROW = 11b - 4.4b = 6.6b = 660
Substituting the values of b and n, we can figure out all the values except for Imports and Exports of ROW to ROW.
The value of exports and imports of ROW to ROW has to be equal.
We calculated the value of n to be 2100.
The exports of ROW to ROW can be calculated as,
Exports of ROW to ROW = 2100 - 840 - 252 = 1008 = Imports of ROW to ROW.
The value of m can be calculated as,
m = 200 + 660 + 32 + 1008 = 1900.
Filling up the table with all the values, we get,
Total trade of P = 2000 + 2000 = 4000
Total trade of X = 900 + 1100 = 2000
Total trade of C = 1200 + 800 = 2000
So, both countries X and C have the least total trade.
Hence, the correct answer is option C.
Q65 to Q68:
Anu, Bijay, Chetan, Deepak, Eshan, and Faruq are six friends. Each of them uses a mobile number from exactly one of the two mobile operators - Xitel and Yocel. During the last month, the six friends made several calls to each other. Each call was made by one of these six friends to another. The table below summarizes the number of minutes of calls that each of the six made to (outgoing minutes) and received from (incoming minutes) these friends, grouped by the operators. Some of the entries are missing.

It is known that the duration of calls from Faruq to Eshan was 200 minutes. Also, there were no calls from:
i. Bijay to Eshan,
ii. Chetan to Anu and Chetan to Deepak,
iii. Deepak to Bijay and Deepak to Faruq,
iv. Eshan to Chetan and Eshan to Deepak.
Q65: What was the duration of calls (in minutes) from Bijay to Anu?
Ans: 50
Sol: This is the table given in the question with unknown values of a, b, c, d and e.
We are told that Anu and Bijay use the Xitel operator, and Chetan, Deepak, Esthan and Faruq use the Yocel operator.
The outgoing call from Anu to the Xitel operator has to be the incoming call from Xitel to Bijay because there are only two friends using Xitel, and if one of the Xitel users is calling another Xitel user, then those two have to be Anu and Bijay.
The outgoing to Xitel by Anu = 100
The incoming from Xitel for Bijay = c = The outgoing to Xitel by Anu = 100
So, the value of c in the above table is 100.
The outgoing to Xitel by Bijay = b
The incoming from Xitel for Anu = 50 = The outgoing to Xitel by Bijay = b
So, the value of b in the above table is 50.
The sum of Outgoing from Anu and Bijay to operator Yocel must be equal to the sum of Incoming minutes from Xitel for Chetan, Deepak, Esthan and Faruq.
The sum of Outgoing from Anu and Bijay to operator Yocel = a + 200
The sum of Incoming minutes from Xitel for Chetan, Deepak, Esthan and Faruq = 250 + 275 + 100 + 100 = 725
Equating them, we get,
a + 200 = 725
a = 525
So, the value of a in the above table is 525.
The sum of outgoing minutes from Chetan, Deepak, Esthan, and Faruq to operator Xitel must be equal to the sum of Incoming minutes from Yocel for Anu and Bijay.
The sum of outgoing minutes from Chetan, Deepak, Esthan, and Faruq to operator Xitel = 50 + 100 + d + 0 = 150 + d
The sum of Incoming minutes from Yocel for Anu and Bijay = 225 + 125 = 350
Equating them, we get,
150 + d = 350
d = 200
So, the value of d in the above table is 200.
The sum of outgoing minutes from Chetan, Deepak, Esthan, and Faruq to operator Yocel must be equal to the sum of Incoming minutes from Yocel for Chetan, Deepak, Esthan, and Faruq.
The sum of outgoing minutes from Chetan, Deepak, Esthan, and Faruq to operator Yocel = 175 + 150 + 100 + e = 425 + e
The sum of Incoming minutes from Yocel for Chetan, Deepak, Esthan, and Faruq = 150 + 100 + 375 + 150 = 775
Equating them, we get,
425 + e = 775
e = 350
So, the value of e in the above table is 350.
The final table is,
The duration of calls from Bijay to Ajay is 50 minutes, which is the outgoing minutes to operator Xitel of Bijay.
Hence, the correct answer is 50.
Q66: What was the total duration of calls (in minutes) made by Anu to friends having mobile numbers from Operator Yocel?
Ans: 525
Sol: This is the table given in the question with unknown values of a, b, c, d and e.
We are told that Anu and Bijay use the Xitel operator, and Chetan, Deepak, Esthan and Faruq use the Yocel operator.
The outgoing call from Anu to the Xitel operator has to be the incoming call from Xitel to Bijay because there are only two friends using Xitel, and if one of the Xitel users is calling another Xitel user, then those two have to be Anu and Bijay.
The outgoing to Xitel by Anu = 100
The incoming from Xitel for Bijay = c = The outgoing to Xitel by Anu = 100
So, the value of c in the above table is 100.
The outgoing to Xitel by Bijay = b
The incoming from Xitel for Anu = 50 = The outgoing to Xitel by Bijay = b
So, the value of b in the above table is 50.
The sum of Outgoing from Anu and Bijay to operator Yocel must be equal to the sum of Incoming minutes from Xitel for Chetan, Deepak, Esthan and Faruq.
The sum of Outgoing from Anu and Bijay to operator Yocel = a + 200
The sum of Incoming minutes from Xitel for Chetan, Deepak, Esthan and Faruq = 250 + 275 + 100 + 100 = 725
Equating them, we get,
a + 200 = 725
a = 525
So, the value of a in the above table is 525.
The sum of outgoing minutes from Chetan, Deepak, Esthan, and Faruq to operator Xitel must be equal to the sum of Incoming minutes from Yocel for Anu and Bijay.
The sum of outgoing minutes from Chetan, Deepak, Esthan, and Faruq to operator Xitel = 50 + 100 + d + 0 = 150 + d
The sum of Incoming minutes from Yocel for Anu and Bijay = 225 + 125 = 350
Equating them, we get,
150 + d = 350
d = 200
So, the value of d in the above table is 200.
The sum of outgoing minutes from Chetan, Deepak, Esthan, and Faruq to operator Yocel must be equal to the sum of Incoming minutes from Yocel for Chetan, Deepak, Esthan, and Faruq.
The sum of outgoing minutes from Chetan, Deepak, Esthan, and Faruq to operator Yocel = 175 + 150 + 100 + e = 425 + e
The sum of Incoming minutes from Yocel for Chetan, Deepak, Esthan, and Faruq = 150 + 100 + 375 + 150 = 775
Equating them, we get,
425 + e = 775
e = 350
So, the value of e in the above table is 350.
The final table is,
The total duration of calls made by Anu to friends having mobile numbers from Operator Yocel is Anu's outgoing minutes to Operator Yocel, which is 525 minutes.
Hence, the correct answer is 525.
Q68: What was the total duration of calls (in minutes) made by Faruq to friends having mobile numbers from Operator Yocel?
Ans: 350
Sol: This is the table given in the question with unknown values of a, b, c, d and e.
We are told that Anu and Bijay use the Xitel operator, and Chetan, Deepak, Esthan and Faruq use the Yocel operator.
The outgoing call from Anu to the Xitel operator has to be the incoming call from Xitel to Bijay because there are only two friends using Xitel, and if one of the Xitel users is calling another Xitel user, then those two have to be Anu and Bijay.
The outgoing to Xitel by Anu = 100
The incoming from Xitel for Bijay = c = The outgoing to Xitel by Anu = 100
So, the value of c in the above table is 100.
The outgoing to Xitel by Bijay = b
The incoming from Xitel for Anu = 50 = The outgoing to Xitel by Bijay = b
So, the value of b in the above table is 50.
The sum of Outgoing from Anu and Bijay to operator Yocel must be equal to the sum of Incoming minutes from Xitel for Chetan, Deepak, Esthan and Faruq.
The sum of Outgoing from Anu and Bijay to operator Yocel = a + 200
The sum of Incoming minutes from Xitel for Chetan, Deepak, Esthan and Faruq = 250 + 275 + 100 + 100 = 725
Equating them, we get,
a + 200 = 725
a = 525
So, the value of a in the above table is 525.
The sum of outgoing minutes from Chetan, Deepak, Esthan, and Faruq to operator Xitel must be equal to the sum of Incoming minutes from Yocel for Anu and Bijay.
The sum of outgoing minutes from Chetan, Deepak, Esthan, and Faruq to operator Xitel = 50 + 100 + d + 0 = 150 + d
The sum of Incoming minutes from Yocel for Anu and Bijay = 225 + 125 = 350
Equating them, we get,
150 + d = 350
d = 200
So, the value of d in the above table is 200.
The sum of outgoing minutes from Chetan, Deepak, Esthan, and Faruq to operator Yocel must be equal to the sum of Incoming minutes from Yocel for Chetan, Deepak, Esthan, and Faruq.
The sum of outgoing minutes from Chetan, Deepak, Esthan, and Faruq to operator Yocel = 175 + 150 + 100 + e = 425 + e
The sum of Incoming minutes from Yocel for Chetan, Deepak, Esthan, and Faruq = 150 + 100 + 375 + 150 = 775
Equating them, we get,
425 + e = 775
e = 350
So, the value of e in the above table is 350.
The final table is,
The total duration of calls made by Faruq to friends having mobile numbers from Operator Yocel is the outgoing minutes from Faruq to Operator Yocel, which is 350 minutes.
Hence, the correct answer is 350.
Q68: What was the duration of calls (in minutes) from Deepak to Chetan?
(a) 100
(b) 125
(c) 50
(d) 0
Ans: a
Sol: This is the table given in the question with unknown values of a, b, c, d and e.
We are told that Anu and Bijay use the Xitel operator, and Chetan, Deepak, Esthan and Faruq use the Yocel operator.
The outgoing call from Anu to the Xitel operator has to be the incoming call from Xitel to Bijay because there are only two friends using Xitel, and if one of the Xitel users is calling another Xitel user, then those two have to be Anu and Bijay.
The outgoing to Xitel by Anu = 100
The incoming from Xitel for Bijay = c = The outgoing to Xitel by Anu = 100
So, the value of c in the above table is 100.
The outgoing to Xitel by Bijay = b
The incoming from Xitel for Anu = 50 = The outgoing to Xitel by Bijay = b
So, the value of b in the above table is 50.
The sum of Outgoing from Anu and Bijay to operator Yocel must be equal to the sum of Incoming minutes from Xitel for Chetan, Deepak, Esthan and Faruq.
The sum of Outgoing from Anu and Bijay to operator Yocel = a + 200
The sum of Incoming minutes from Xitel for Chetan, Deepak, Esthan and Faruq = 250 + 275 + 100 + 100 = 725
Equating them, we get,
a + 200 = 725
a = 525
So, the value of a in the above table is 525.
The sum of outgoing minutes from Chetan, Deepak, Esthan, and Faruq to operator Xitel must be equal to the sum of Incoming minutes from Yocel for Anu and Bijay.
The sum of outgoing minutes from Chetan, Deepak, Esthan, and Faruq to operator Xitel = 50 + 100 + d + 0 = 150 + d
The sum of Incoming minutes from Yocel for Anu and Bijay = 225 + 125 = 350
Equating them, we get,
150 + d = 350
d = 200
So, the value of d in the above table is 200.
The sum of outgoing minutes from Chetan, Deepak, Esthan, and Faruq to operator Yocel must be equal to the sum of Incoming minutes from Yocel for Chetan, Deepak, Esthan, and Faruq.
The sum of outgoing minutes from Chetan, Deepak, Esthan, and Faruq to operator Yocel = 175 + 150 + 100 + e = 425 + e
The sum of Incoming minutes from Yocel for Chetan, Deepak, Esthan, and Faruq = 150 + 100 + 375 + 150 = 775
Equating them, we get,
425 + e = 775
e = 350
So, the value of e in the above table is 350.
The final table is,
Label the unknown value we need as
x = minutes from Deepak to ChetanUse the operator groups from the table:
Xitel users: Anu, Bijay.
Yocel users: Chetan, Deepak, Eshan, Faruq.
Chetan's incoming from Yocel = 150 minutes.
Yocel→Chetan can come only from Deepak, Eshan, or Faruq. But the problem states Eshan → Chetan = 0, so
(Deepak → Chetan) + (Faruq → Chetan)=150
Hence
x + (Faruq → Chetan) = 150 (1)
Faruq's outgoing to Yocel = 350 minutes (table). Those 350 minutes are split among Yocel recipients Chetan, Deepak and Eshan. We are told Faruq → Eshan = 200 (given). So
(Faruq → Chetan) +(Faruq → Deepak) + 200 = 350,
hence
(Faruq → Chetan) + (Faruq → Deepak) = 150 (2)
Consider Deepak's incoming from Yocel (table) = 100 minutes. The ones in Yocel that can call Deepak are Chetan, Eshan, and Faruq. But we are told Chetan → Deepak = 0 and Eshan → Deepak = 0, so the only Yocel caller to Deepak is Faruq. Therefore
(Faruq → Deepak) = 100 (3)
Substitute (3) into (2):
(Faruq → Chetan) + 100 = 150 ⇒ (Faruq → Chetan) = 50
Now use (1):
x + (Faruq → Chetan) = 150x
With Faruq → Chetan = 50, we get,
x + 50 = 150
x = 100
Thus Deepak → Chetan = 100 minutes.
Hence, the correct answer is option A.
| 1. What is the CAT exam and its significance? | ![]() |
| 2. What are the main sections of the CAT exam? | ![]() |
| 3. How is the CAT exam structured in terms of scoring? | ![]() |
| 4. What strategies should candidates adopt for effective preparation for the CAT exam? | ![]() |
| 5. How does the CAT exam differ from other management entrance exams? | ![]() |