CAT Exam  >  CAT Notes  >  Quantitative Aptitude (Quant)  >  CAT Previous Year Questions with Solutions: Boats and Streams

CAT Previous Year Questions with Solutions: Boats and Streams

2025

Q1: Rita and Sneha can row a boat at 5 km/h and 6 km/h in still water, respectively. In a river flowing with a constant velocity, Sneha takes 48 minutes more to row 14 km upstream than to row the same distance downstream. If Rita starts from a certain location in the river, and returns downstream to the same location, taking a total of 100 minutes, then the total distance, in km, Rita will cover is

Ans: 8

Sol: Let the river speed be v km/h. For Sneha still-water speed = 6 km/h:

Upstream speed = (6-v), downstream speed = (6+v).
2025

We get v = 1

Thus, the river speed is 1 km/h. For Rita, the still water speed is 5 km/h:
Upstream speed = 5 - 1 = 4 km/h, Downstream Speed = (5 + 1 = 6) km/h.

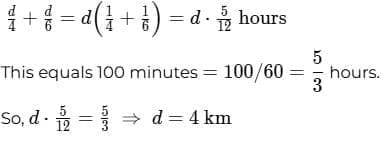
If she rows d km upstream and returns d km downstream, the total time
2025

Total distance covered 2d = 8 km.

The document CAT Previous Year Questions with Solutions: Boats and Streams is a part of the CAT Course Quantitative Aptitude (Quant).
All you need of CAT at this link: CAT

FAQs on CAT Previous Year Questions with Solutions: Boats and Streams

1. What are boats and streams in the context of CAT exam questions?
Ans. In the context of CAT exam questions, boats and streams refer to problems that involve the movement of boats in water currents. These problems typically require understanding concepts such as speed of the boat in still water, speed of the stream, and how these speeds affect the overall speed of the boat when travelling upstream or downstream.
2. How do you calculate the speed of a boat in still water?
Ans. The speed of a boat in still water can be calculated using the formula: Speed of boat in still water = (Speed downstream + Speed upstream) / 2. Here, the speed downstream is the speed of the boat moving with the current, while the speed upstream is the speed against the current.
3. What is the difference between downstream and upstream in boat problems?
Ans. In boat problems, downstream refers to the direction in which the boat is moving along with the current of the stream, resulting in a higher effective speed. Conversely, upstream indicates the direction against the current, leading to a lower effective speed. The speed calculations differ based on these directions due to the added or subtracted influence of the stream's speed.
4. Can you provide a simple example of a boats and streams problem?
Ans. A simple example of a boats and streams problem is as follows: If a boat's speed in still water is 10 km/h and the speed of the stream is 2 km/h, the speed downstream is 10 + 2 = 12 km/h, while the speed upstream is 10 - 2 = 8 km/h. This allows for the calculation of time taken for a journey in either direction based on distance.
5. What strategies are effective for solving boats and streams problems in the CAT exam?
Ans. Effective strategies for solving boats and streams problems include: 1) Clearly defining the speeds involved (upstream and downstream), 2) Using the relationship between the speeds to form equations, 3) Practising different types of problems to become familiar with variations, and 4) Drawing diagrams to visualise the problem, which can aid in understanding the movement of the boat relative to the stream.
Explore Courses for CAT exam
Get EduRev Notes directly in your Google search
Related Searches
Free, pdf , Previous Year Questions with Solutions, Sample Paper, CAT Previous Year Questions with Solutions: Boats and Streams, study material, Important questions, Extra Questions, Summary, past year papers, Exam, ppt, video lectures, Objective type Questions, practice quizzes, Semester Notes, CAT Previous Year Questions with Solutions: Boats and Streams, Viva Questions, MCQs, mock tests for examination, shortcuts and tricks, CAT Previous Year Questions with Solutions: Boats and Streams;