Solution 1:
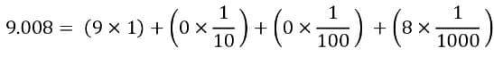
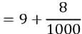
(i) 9.48 = Nine point four eight
(ii) 37.5 = Thirty-seven point five
(iii) 41.643 = Forty-one point six four three
(iv) 23.006 = Twenty-three point zero zero six
(v) 8.062 = Eight point zero six two
(vi) 208.69 = Two hundred eight point six nine
(vii) 20.805 = Twenty point eight zero five
(viii) 10.079 = Ten point zero seven nine
Solution 2:
(i) Sixty-five point eight three = 65.83
(ii) Two hundred four point five seven = 204.57
(iii) Ninety point three two five = 90.325
(iv) Eleven point zero zero four = 11.004
(v) Eight point zero seven nine = 8.079
(vi) Point zero six five = 0.065
(vii) Nine point six zero three = 9.603
(viii) Zero point one nine three = 0.193
(ix) Zero point zero zero eight = 0.08
(x) One point seven zero eight = 1.708
Solution 3:
(i) 26.43
Place value of 2 = 20
Place value of 6 = 6
Place value of 4 = 4/10
Place value of 3 = 3/100
(ii) 84.672
Place value of 8 = 80
Place value of 4 = 4
Place value of 6 = 6/10
Place value of 7 = 7/100
Place value of 2 = 2/1000
(iii) 95.086
Place value of 9 = 90
Place value of 5 = 5
Place value of 0 = 0/10 = 0
Place value of 8 = 8/100
Place value of 6 = 6/1000
(iv) 208.154
Place value of 2 = 200
Place value of 0 = 0
Place value of 8 = 8
Place value of 1 = 1/10
Place value of 5 = 5/100
Place value of 4 = 4/1000
(v) 13.065
Place value of 1 = 10
Place value of 3 = 3
Place value of 0 = 0/10 = 0
Place value of 6 = 6/100
Place value of 5 = 5/1000
(vi) 427.83
Place value of 4 = 400
Place value of 2 = 20
Place value of 7 = 7
Place value of 8 = 8/10
Place value of 3 = 3/100
Solution 4:
(i) 

(ii) 

(iii) 

(iv) 

(v) 

(vi) 

Solution 5:
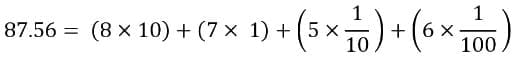
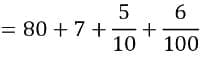
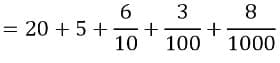
(i)
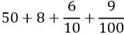
= 50 + 8 + 0.6 + 0.09 = 58.69
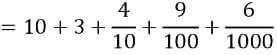
(ii)
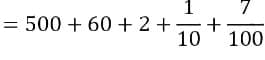
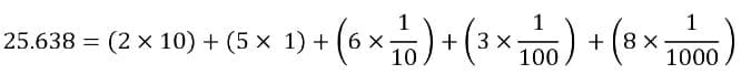
= 300 + 80 + 7 + 0.3 + 0.02 + 0.005 = 387.325
(iii)
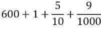
= 600 + 1 + 0.5 + 0.009 = 601.509
(iv)
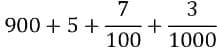
= 900 + 5 + 0.07 + 0.003 = 905.073
(v)
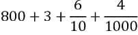
= 800 + 3 + 0.6 + 0.004 = 803.604
(vi)
= 40 + 3 + 0.02 + 0.004 = 43.024
Solution 6:
(i) Here one of the numbers has maximum 3 decimal places. So, we convert the others into numbers having three decimal places by adding suitable number of zeroes to the extreme right of the decimal part.
8.3 = 8.300, 72.64 = 72.640, 2.06 = 2.060
∴ We have 8.300, 72.640, 0.051, 2.060
(ii) Here one of the numbers has maximum 3 decimal places.
∴ Like decimals will be 0.800, 4.783, 6.250, 9.100
(iii) Here numbers have maximum 2 decimal places.
∴ Like decimals will be 2.60, 0.08, 4.30, 6.00, 9.10
(iv) Here one of the numbers has maximum 3 decimal places.
∴ Like decimals will be 5.200, 0.630, 25.040, 1.342
Solution 7:
(i) 70.23 < 71.87
Since 71 is greater than 70. So, 70.23 < 71.87.
(ii) 5.608 < 5.68
Since 8 is greater than 0 at the hundredths place. Therefore, 5.608 is smaller than 5.680.
(iii) 10.34 < 10.43
Since 4 is greater than 3 at the tenths place. Therefore, 10.34 is smaller than 10.43.
(iv) 9.06 > 9.006
Since 6 is greater than 0 at the hundredths place. Therefore, 9.06 is greater than 9.006.
(v) 2.85 > 2.805
Since 5 is greater than 0 at the hundredths place. Therefore, 2.85 is greater than 2.805.
(vi) 0.98 < 1.02
(vii) 34.10 > 34.01 (Convert into like decimals then compare both).
(viii) 63.120 > 63.102 (Convert into like decimals then compare both).
Solution 8:
First of all write them in like decimals,
(i) 5.6, 7.2, 5.42, 7.15, 5.06
= 5.60, 7.20, 5.42, 7.15, 5.06
Arranging in ascending order,
5.06 < 5.42 < 5.60 < 7.15 < 7.20
= 5.06 < 5.42 < 5.6 < 7.15 < 7.20
(ii) 0.6, 6.6, 6.06, 66.6, 0.06
= 0.60, 6.60, 6.06, 66.60, 0.06
Arranging in ascending order,
0.06 < 0.60 < 6.06 < 6.60 < 66.60
= 0.06 < 0.6 < 6.06 < 6.6 < 66.6
(iii) 8.54, 8.45, 8.4, 8.5, 8.05
= 8.54, 8.45, 8.40, 8.50, 8.05
Arranging in ascending order,
8.05 < 8.40 < 8.45 < 8.50 < 8.54
= 8.05 < 8.4 < 8.45 < 8.5 < 8.54
(iv) 0.33, 3.3, 3.303, 3.033, 3.003
= 0.330, 3.300, 3.303, 3.033, 3.003
Arranging in ascending order,
0.330 < 3.003 < 3.033 < 3.300 < 3.303
= 0.33 < 3.003 < 3.033 < 3.3 < 3.303
Solution 9:
Making them in like decimals and then compare
(i) 3.7, 3.37, 3.72, 3.03, 3.07
= 3.700, 3.370, 3.720, 3.030, 3.070
Arranging in descending order
3.720 > 3.700 > 3.370 > 3.070 > 3.030
= 3.72 > 3.7 > 3.37 > 3.07 > 3.03
(ii) 5.5, 5.05, 50.5, 50.05, 5.005
= 5.500, 5.050, 50.500, 50.050, 5.005
Arranging in descending order
50.500 > 50.050 > 5.500 > 5.050 > 5.005
= 50.5 > 50.05 > 5.5 > 5.05 > 5.005
(iii) 7.5, 8.35, 7.05, 8.5, 7.35
= 7.500, 8.350, 7.050, 8.500, 7.350
Arranging in descending order
8.500 > 8.350 > 7.500 > 7.350 > 7.050
= 8.5 > 8.35 > 7.5 > 7.35 > 7.05
(iv) 2.27, 2.7, 2.07, 2.007, 0.27
= 2.270, 2.700, 2.070, 2.007, 0.270
Arranging in descending order,
2.700 > 2.270 > 2.070 > 2.007 > 0.270
= 2.7 > 2.27 > 2.07 > 2.007 > 0.27
| 1. What are decimals? | ![]() |
| 2. How do you add decimals? | ![]() |
| 3. What is the significance of the decimal point? | ![]() |
| 4. How do you subtract decimals? | ![]() |
| 5. How do you multiply decimals? | ![]() |