Solution 1:
(i) We know that 100 paise = ₹ 1
So, 1 paise = ₹ 1/100
∴ 8 paise = ₹ 8/100 = ₹0.08
(ii) We know that 100 paise = ₹ 1
So, 1 paise = ₹ 1/100
∴ 60 paise = ₹ 60/100 = ₹0.60
(iii) We know that 100 paise = ₹ 1
So, 1 paise = ₹ 1/100
∴ 36 paise = ₹ 36/100 = ₹ 0.36
(iv) We know that 100 paise = ₹ 1
So, 1 paise = ₹ 1/100
∴ 425 paise = ₹ 425/100 = ₹ 4.25
(v) 50 rupees 90 paise = ₹ 50 + ₹ 90/100
= ₹ 50 + ₹ 0.90
= ₹ 50.90
(vi) 5 rupees 6 paise = ₹ 5 + ₹ 6/100
= ₹ 5 + ₹ 0.06
= ₹ 5.06
Solution 2:
(i) We know that 10 mm = 1 cm
so, 1 mm = 1/10 cm
∴ 6 mm = 6/10 cm
= 0.6 cm
(ii) We know that 10 mm = 1 cm
so, 1 mm = 1/10 cm
∴ 28 mm = 28/10 cm
= 2.8 cm
(iii) We know that 10 mm = 1 cm
so, 1 mm = 1/10 cm
∴ 173 mm = 173/10 cm
= 17.3 cm
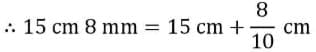
(iv) We know that 10 mm = 1 cm
so, 1 mm = 1/10 cm
= 15 cm + 0.8 cm
= 15.08 cm
Solution 3:
(i) We know that 100 cm = 1 m
So, 1 cm = 1/100 m
∴ 35 cm = 35/100 m
= 0.35 m
(ii) We know that 100 cm = 1 m
So, 1 cm = 1/100 m
∴ 9 cm = 9/100 m
= 0.09 m
(iii) We know that 100 cm = 1 m
So, 1 cm = 1/100 m
∴ 256 cm = 256/100 m
= 2.56 m
(iv) 4 m 50 cm = 4 m + 50/100 m
= 4 m + 0.50 m
= 4.50 m
(v) 4 m 8 cm = 4 m + 8/100 m
= 4 m + 0.08 m
= 4.08 m
Solution 4:
(i) We know that 1000 m = 1 km
So, 1 m = 1/1000 km
∴ 8 m = 8/1000 km
= 0.008 km
(ii) We know that 1000 m = 1 km
So, 1 m = 1/1000 km
∴ 25 m = 25/1000 km
= 0.025 km
(iii) We know that 1000 m = 1 km
So, 1 m = 1/1000 km
∴ 750 m = 750/1000 km
= 0.750 km
(iv) We know that 1000 m = 1 km
So, 1 m = 1/1000 km
∴ 700 m = 700/1000 km
= 0.700 km
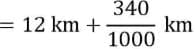
(v) 12 km 340 m
= 12 km + 0.340 km
= 12.340 km
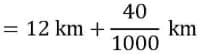
(vi) 12 km 40 m
= 12 km + 0.040 km
= 12.040 km
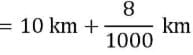
(vii) 10 km 8 m
= 10 km + 0.008 km
= 10.008 km
Solution 5:
(i) We know that 1000 g = 1 kg
So, 1 g = 1/1000 kg
∴ 6 g = 6/1000 kg
= 0.006 kg
(ii) We know that 1000 g = 1 kg
So, 1 g = 1/1000 kg
∴ 100 g = 100/1000 kg
= 0.100 kg
(iii) We know that 1000 g = 1 kg
So, 1 g = 1/1000 kg
∴ 625 g = 625/1000 kg
= 0.625 kg
(iv) We know that 1000 g = 1 kg
So, 1 g = 1/1000 kg
∴ 3650 g = 3650/1000 kg
= 3.650 kg
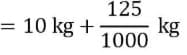
(v) 10 kg 125 g
= 10 kg + 0.125 kg
= 10.125 kg
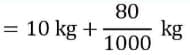
(vi) 10 kg 80 g
= 10 kg + 0.080 kg
= 10.080 kg
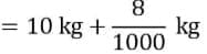
(vii) 10 kg 8 g
= 10 kg + 0.008 kg
= 10.008 kg
| 1. What are decimals? | ![]() |
| 2. How do you add decimal numbers? | ![]() |
| 3. What is the process for subtracting decimals? | ![]() |
| 4. How do you multiply decimals? | ![]() |
| 5. What is the importance of rounding decimals? | ![]() |