CBSE Class 9  >  Class 9 Notes  >  Chapter Notes - Motion

Chapter Notes - Motion

MOTION

If we look around us, we find that there are number of objects which are in motion. An object is said to be in motion if it change its position with the passage of time. In other  words, the movement of an object is known as the motion of the object.
Now observe the following bodies or objects and we will be able to understand the meaning of the term "motion". Cars, cycles, motorcycles, scooters, buses, rickshaws, trucks etc. running on the road, Birds flying in the sky, Fish swimming in water. All these objects are in motion. Very small objects like atoms and molecules and very large objects like planets, stars and galaxies are in motion.
Thus, all objects ranging from a smallest atom to the largest galaxy are in continuous motion.

Types of Motion :

(A) Linear motion :  A body has linear motion if it moves in a straight line or path.

Ex.

(i) Motion of a moving car on a straight road.
(ii) Motion of a ball dropped from the roof of a building.

(B) Circular (or rotational) Motion : A body has circular motion if it moves around a fixed point.
A vertical passing through the fixed point around which the body moves is known as axis of rotation.

Class 9, Projectile Motion, Acceleration, Speed, Velocity
Ex.

(i) Motion of an electric fan.       
(ii) Motion of merry-go-round
(iii) Motion of a spinning top.
 

(C) Vibratory motion : 
A body has vibratory motion if it moves to and fro about a fixed point.      

Class 9, Projectile Motion, Acceleration, Speed, Velocity

Ex. (i) Motion of a pendulum of a wall clock.
         (ii) Motion of a simple pendulum.

MOTION IN LIVING AND NON-LIVING OBJECTS :

It is a common observation that all living objects, whether plants or animals can move in some way or the other.  The motion in animals is more apparent than the motion in plants. 
The motion in animals is called LOCOMOTION.
Plants also move but their motion is not apparent as they cannot move from place to place. Their motion takes place in parts. As a plant grows so does its roots and its leaves.
 

MECHANICS :
The branch of physics which deals with the motion of non-living objects in everyday life is called mechanics or Classical mechanics. It is of two types.

i) Statics and (ii) Dynamics

STATICS : Statics deals with bodies at rest under the effect of different forces.
 

DYNAMICS : Dynamics deals with the bodies in motion. It is further of two types : 

(i) Kinematics : Kinematics, which is derives from a Greek word kinema meaning motion,is a branch of Physics, which deals with the motion of a body without taking into account the cause of motion.
(ii) Dynamics proper : Dynamics proper, which is derived from a Greek word dyna meaning power it is a branch of Physics, which deals with the motion of bodies by taking into account the cause of motion (force).  

Concept of a point object, Rest and motion

Point object : An extended object can be treated as a point object when the distance travelled by the object is much greater than its own size.
"A point object is one, which has no linear dimensions but possesses mass." 

Ex.

(i) Study of motion of a train travelling from Kota to New Delhi.
(ii) Revolution of earth around the sun for one complete revolution.

Rest :– A body is said to be at rest when its position does not change with time respect to the observer.
Motion :– A body is said to be in motion when its position changes with time respect to the observer.

Describe motion

When a tree, is observed by an observer A sitting on a bench, the tree is at rest. This is because position of the tree is not changing with respect to the observer A.

Class 9, Projectile Motion, Acceleration, Speed, Velocity

Now, When the same tree T is observed by an observer sitting in a superfast train moving with a velocity  n, then the tree is moving with respect to the observer because the position of tree is changing with respect to the observer B.

Rest and motion are relative terms : There is nothing like absolute rest. This means that an object can be at rest and also in motion at the same time i.e. all objects, which are stationary on earth, are said to be at rest with respect to each other, but with respect to the sun are making revolutions at 30 kmh–1. In order to study motion, therefore, we have to choose a fixed position or point with respect to which the motion has to be studied. Such a point or fixed position is called a reference point or the origin. In order to describe the motion of an object we need to keep in mind three things;
(i) The distance of the body from a reference point. This reference point is called the origin of the motion of the body.
(ii) The direction of motion of the body.
(iii) The time of motion.

Scalar and vector quantities

Scalar Quantity :– A quantity that has only magnitude no direction is called a scalar quantity.

Ex. mass, time, distance, speed, work, power, energy, charge, area, volume, density, pressure, potential, temperature etc. 

Vector Quantity :– The physical quantity that has magnitude as well as direction are called vector quantity. 

Ex.velocity, acceleration, force, displacement, momentum, weight, electric field etc.

Differece between scalar & vector quantities :

 Scalar quantitiesVector quantities
1These are completely specified by their magnitude only.These are completely specified by their magnitude as well as direction
2These change by change of their magnitude onlyThese change by change of either their
magnitude or direction or both
3These are added or subtracted by laws of
ordinary algebra like 4m+5m=9m.
These are added or subtracted by laws of
vector addition.

 

DISTANCE AND DISPLACEMENT

Distance : The length of the actual path between the initial and the final position of a moving object in the given time interval is known as the distance travelled by the object.

Class 9, Projectile Motion, Acceleration, Speed, Velocity
Distance = Length of path I (ACB)  
Distance is a scalar quantity.

Unit   In SI system : metre (m)
In CGS system : centimetre (cm)
Large unit Kilometre (km)
 

Displacement:– The shortest distance between the initial position and the final position of a moving object in the given interval of time from initial to the final position of the object is known as the displacement of the object.
Displacement of an object may also be defined as the change in position of the object in a particular direction. That is, 

Displacement of an object = Final position – Initial position of the object.
Displacement of an object may be zero but the distance travelled by the object in never zero.
Distance travelled by an object is either equal or greater than the magnitude of displacement of the object. 
Displacement = Length of path II (AB) A to B,
displacement is vector quantities.
Units In SI system : metre (m)

In CGS system : centimetre (cm)

Ex. A train goes from station A to station B as shown in figure. Calculate
(i) the distance travelled by the train and
(ii) the magnitude of the displacement of the train on reaching station B.

Class 9, Projectile Motion, Acceleration, Speed, Velocity

Sol. (i) Distance travelled by the train = 50 100 200 400 = 750 km.
(ii) Magnitude of the displacement in going from station A to station B = 400 km.

DIFFERENCES BETWEEN DISTANCE AND DISPLACEMENT

Distance

Displacement

1

It is defined as the actual path traversed by a body.

It is the shortest distance between two points which the body moves.

2

It is a scalar quantity

It is a vector quantity'

3

It can never be negative or zero

It can be negative, zero or positive.

 

 

 

4

Distance can be equal to or greater than displacement

Displacement can be equal to or less than distance.

5

Distance travelled is not a unique path between two points.

Displacement is a unique path between two points.

6

The distance between two points gives full information of the type of path followed by the body.

Displacement between two points does not give full information of the type of path followed by the body.

'

Distance never decreases with tune, for a moving body it is never zero.

Displacement can decrease with time for a moving body it canbe zero.

S

Distance in SI is measured in metre

Displacement in SI is measured in metre.


Distance > |displacement|

Uniform and non-uniform motion

A moving body may cover equal distances in equal intervals of time or different distances in equal intervals of time. On the basis of above assumption, the motion of a body can be classified as uniform motion and non-uniform motion.

Uniform motion:

 

Time Cm second)

0

1

2

3

4

5

6

Distance covered (in metre)

0

10

20

30

40

50

60

 

When a body covers equal distances in equal intervals of time, however, small may be time intervals, the body is said to describe a uniform motion.

Chapter Notes - Motion
Chapter Notes - Motion

Example of uniform motion –
(i)  An aeroplane flying at a speed of 600 km/h
(ii)  A train running at a speed of 120 km/h
(iii) Light energy travelling at a speed of 3 × 108 m/s
(iv)  A spaceship moving at a speed of 100 km/s
  

Non-uniform motion:

Time (in second)

0

1

2

3

4

Distance (in metre)

0

1

4

9

16

 

When a body covers unequal distances in equal intervals of time, the body is said to be moving with a non-uniform motion.

Example of non-uniform motion –

(i) An aeroplane running on a runway before taking off.
(ii) A freely falling stone under the action of gravity.
(iii) An object thrown vertically upward.
(iv) When the brakes are applied to a moving car.

Speed

Speed of a body is the distance travelled by the body per unit time. or The rate of change of motion is called speed.

(speed = (distance travelled / time taken))

If a body covers a distance S in time t then speed,

(v = S/t)

Unit : In SI system : m/s or ms–1
In CGS system : cm/s or cms–1
Other km/h or kmh–1

Important note : While comparing the speed of different bodies we must convert all speeds into same units. Speed is a scalar quantity, because it has the magnitude but no direction.

Uniform speed :- When a body covers equal distance in equal intervals of time, the body is to be moving with a uniform speed or constant speed.

Ex.

(i)  A train running with a speed of 120 km/h
(ii) An aeroplane flying with a speed of 600 km/h

Non-uniform speed :- When a body covers unequal distances in equal intervals of time, the body is said to be moving with non-uniform speed or variable speed.

Ex.

(i) A car running on busy road.
(ii) An aeroplane landing on runway.

Average speed :- The average speed of the body in a given time interval is defined as the total distance travelled, divided by the time interval.

Class 9, Projectile Motion, Acceleration, Speed, Velocity

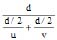
Ex. A car travels first half distance with a uniform u and next half distance travels with a uniform speed v. Find its average speed.

Class 9, Projectile Motion, Acceleration, Speed, Velocity

Sol. Total distances = + = d

Total time = t1 + t2 = t

t1 = Class 9, Projectile Motion, Acceleration, Speed, Velocity ...(i)

t2 = Class 9, Projectile Motion, Acceleration, Speed, Velocity ...(ii)

Vav = Putting the value of equation (i) and (ii)

Vav = Class 9, Projectile Motion, Acceleration, Speed, Velocity = Class 9, Projectile Motion, Acceleration, Speed, Velocity= Class 9, Projectile Motion, Acceleration, Speed, Velocity Class 9, Projectile Motion, Acceleration, Speed, Velocity

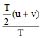
Ex. A car travels first half time with a uniform speed u and next half time with a uniform speed v. Find its average speed.

Sol. Class 9, Projectile Motion, Acceleration, Speed, Velocity Class 9, Projectile Motion, Acceleration, Speed, Velocity

Total distances d = + Class 9, Projectile Motion, Acceleration, Speed, Velocity

d = Class 9, Projectile Motion, Acceleration, Speed, Velocity

Total time = T

Average speed = Class 9, Projectile Motion, Acceleration, Speed, Velocity

Vav = Class 9, Projectile Motion, Acceleration, Speed, Velocity= Class 9, Projectile Motion, Acceleration, Speed, Velocity Class 9, Projectile Motion, Acceleration, Speed, Velocity

Instantaneous speed

The speed of a body at any particular instant of time during its motion is called the instantaneous speed of the body.

It is measured by speedometer in vehicles.

 ___________________________________

Competitive Window

Comment : It can be very easily argued that

(a) The relative speed between two bodies A and B moving in the same direction with speed |VA| and |VB| i.e.

|Vsame| = difference in the speeds of two bodies A and B = |VA| |VB| or |VB| |VA| ... (A)

depending upon the fact whether |VA| > |VB| or |VB| > |VA|

(b) The relative speed between the two bodies A and B moving in the opposite direction with speed |VA| and |VB| i.e.

|Vopposite| = sum of the speed of the two bodies A and B = |VA| + |VB| ... (B)

It should be carefully noted that equation A and B are valid only for one-dimensional motion and not in two and three dimension motion.

___________________________________

Velocity

The velocity of a body is the displacement of a body per unit time.

Class 9, Projectile Motion, Acceleration, Speed, Velocity

The displacement covered by a body per unit time or the speed of a body in specified direction is called the velocity.

Unit: In SI system : m/s or ms_1

In CGS system : cm/s or cms_1

Other km/h or kmh_1, km/min.

Uniform velocity

Class 9, Projectile Motion, Acceleration, Speed, Velocity

When a body covers equal displacement in equal interval of time, the body is said to be moving with a uniform velocity.

Conditions for uniform velocity :_

(i) The body must cover equal displacement in equal intervals of time.

(ii) The direction of motion of the body should not change.

Ex. (i) A train running towards south with a speed of 120 km/h.

(ii) A aeroplane flying due north-east with a speed of 600 km/h.

Very important note :_

Direction of velocity represent direction of motion of body.

OR

Sign of velocity represent the direction of motion of body.

Non-uniform velocity/variable velocity :

Class 9, Projectile Motion, Acceleration, Speed, Velocity

When a body covers unequal displacement in equal intervals of time, the body is said to be moving with variable velocity.

Class 9, Projectile Motion, Acceleration, Speed, Velocity

When a body covers equal distance in equal intervals of time, but its direction changes, then the body is said to be moving with variable velocity.

Conditions for variable velocity :_

(i) It should cover unequal displacement in equal intervals of time.

(ii) It should cover equal distances in equal intervals of time but its direction must change.

Ex. (i) A car running towards north on a busy road has a variable velocity as the displacement covered by it per unit time changes with change in the road condition.

(ii) The blades of a rotating ceiling fan, a person running around a circular track with constant speed etc. are the example of variable velocity, as the direction of the moving body changes in each case.

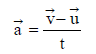
Average velocity :

Total displacement divided by total time is called an average velocity.

Class 9, Projectile Motion, Acceleration, Speed, Velocity

Vav = Class 9, Projectile Motion, Acceleration, Speed, Velocity

OR

The arithmetic mean of initial velocity and final velocity for a given time period, is called average velocity.

Class 9, Projectile Motion, Acceleration, Speed, Velocity

vav = Class 9, Projectile Motion, Acceleration, Speed, Velocity where u = initial velocity, v = final velocity

Memorise : When a body moves with constnat velocity, the average velocity is equal to instantaneous velocity. The body is said to be in uniform motion.

Difference between Speed and Velocity:

SpeedVelocity
It is defined as the rate of change of distanceIt is the shortest distance between two points
between which the body moves.
It is a scalar quantityIt is a vector quantity
It can never be negative or zeroIt can be negative, zero or positive
Speed is velocity without direction.Velocity is directed speed
Speed may or may not be equal to velocity.A body mass possess different velocities but the same speed.
Speed never decreases with time. For a
moving body it is never zero.
Velocity can decrease with time. For a
moving body it can be zero.
Speed in SI is measured in ms–1Velocity in SI, is measured in ms–1.

Acceleration

The rate of change of velocity of a moving body with time is called acceleration.

Class 9, Projectile Motion, Acceleration, Speed, Velocity

but change in velocity = final velocity - initial velocity.

Class 9, Projectile Motion, Acceleration, Speed, Velocity

Class 9, Projectile Motion, Acceleration, Speed, Velocity

If body moves with uniform velocity, then v = u and then acceleration is zero i.e. a = o.

Unit of accelration

Acceleration = Class 9, Projectile Motion, Acceleration, Speed, Velocity, Acceleration = Class 9, Projectile Motion, Acceleration, Speed, Velocity, Acceleration = = m/s2

In SI system is m/s2 or ms-2

In CGS system is cm/s2 or cms-2

Positive Acceleration : If the velocity of an object increases with time in the direction of the motion of the object, then the acceleratin of the body is known as positive acceleration.

In this case, the object pick up the speed in a particular direction (i.e., velocity). For example, if an object starts from rest and its velocity goes on increasing with time in the direction of its motion, then the object has positive acceleration. The direction of positive acceleration is in the direction of motion of the object.

Negative Acceleration : If the velocity of an object decreases with time, then the acceleration of the object is known as negative acceleration.

It is written as - Class 9, Projectile Motion, Acceleration, Speed, Velocity

For example, if an object moving with certain velocity is brought to rest then the object is said to have negative acceleration.

Acceleration without changing speed :

When an object moves in a circular path with constant speed, then its velocity changes due to the change in the direction of motion of the object. hence, the object is accelerated without changing its speed.

In this case, the direction of acceleration is towards the centre of the circular path.

  • Positive or negative sign of acceleration always shows the direction of acceleration or direction of force but not represent direction of motion of body.
  • Acceleration which oppose the motion of a body is called retardation or negative acceleration.
  • If sign of velocity and acceleration are same it means speed of body will always increase.
  • If both are opposite sign it means speed of body will always decrease.

Uniform acceleration :

Class 9, Projectile Motion, Acceleration, Speed, Velocity

When a body undergoes equal changes in velocity in equal intervals of time, the body is said to be moving with a uniform acceleration

Ex. (i) Motion of a freely falling body.

(ii) Motion of a ball rolling down on an inclined plane.

Non-uniform acceleration or variable acceleration :

Class 9, Projectile Motion, Acceleration, Speed, Velocity

When a body describes unequal change in velocity in equal intervals of time, the body is said to be moving with non-uniform acceleration.

Ex. (i) The motion of a bus leaving or entering the bus stop.

(ii) The motion of a train leaving or entering the platform.

(iii) A car moving on a busy road has non-uniform acceleration.

Equations of uniformly accelerated motion

These equations give relationship between initial velocity, final velocity, time taken, acceleration and distnace travelled by the bodies.

 First equation of motion :

A body having an initial velocity 'u' acted upon by a uniform acceleration 'a' for time 't' such that final velocity of the body is 'v'.

Acceleration = Class 9, Projectile Motion, Acceleration, Speed, Velocity Acceleration = Class 9, Projectile Motion, Acceleration, Speed, Velocity

a = Class 9, Projectile Motion, Acceleration, Speed, Velocity v _ u = at Class 9, Projectile Motion, Acceleration, Speed, Velocity

Where ; v = final velocity of the body u = initial velocity of the body

a = Acceleration t = time taken

Second equation of motion :

It gives the distance travelled by a body in time t.

A body having an initial velocity 'u' acted upon by a uniform acceleration 'a' for time 't' such that final velocity of the body is 'v' and the distance covered is 's'.

The average velocity is given by :-

Average velocity = Class 9, Projectile Motion, Acceleration, Speed, Velocity Vav = Class 9, Projectile Motion, Acceleration, Speed, Velocity

distance covered = average velocity × time s = Class 9, Projectile Motion, Acceleration, Speed, Velocity× t

but v = u + at (from first equation of motion)

Thus, s = Class 9, Projectile Motion, Acceleration, Speed, Velocity× t = Class 9, Projectile Motion, Acceleration, Speed, Velocity× t

Class 9, Projectile Motion, Acceleration, Speed, Velocity

Where ; s = distance travelled by the body in time t

u = initial velocity of the body

a = Acceleration

t = time taken

Third equation of motion :

A body having an initial velocity 'u' moving with a uniform acceleration 'a' for time 't' such that final velocity 'v' and the distance covered is 's'. the third equation of motion is v2 = u2 + 2 at. it gives the velocity acquired by a body in travelling a distance s.

v = u + at .....(i)

s = ut + Class 9, Projectile Motion, Acceleration, Speed, Velocity .....(ii)

Squaring eq. (i), we have

v2 = (u + at)2

v2 = u2 + 2uat + a2t2

v2 = u2 + 2aClass 9, Projectile Motion, Acceleration, Speed, Velocity .....(iii)

Substituting the value of eq (ii) in eq.(iii), we get. Class 9, Projectile Motion, Acceleration, Speed, Velocity

Ncert questions with solution

Important note:_

Velocity in m/s = × velocity in km/h.

36 km h_1 = 36000 m h_1

= ms_1 = 10 ms_1

1 km h_1 = Class 9, Projectile Motion, Acceleration, Speed, Velocity or 1 km h_1 =Class 9, Projectile Motion, Acceleration, Speed, Velocity

To convert km h_1 to ms_1, multiply by 5/18.

To convert ms_1 to km h_1 , multiply by 18/5.

1 km = 1000 m

1m = 100 cm = 1000 mm

· Distance in kilometres should be converted into metre.

· Before solving problems, asure that the data provided have the same system of unit, i.e. either they should be in SI system or CGS system.

· If a body start from rest, its initial velocity (u) is zero, (u =0)

· If a moving body comes to rest/stops, its final velocity (v) is zero, (v =0)

· If a body is moving with uniform velocity, its acceleration is zero, (a =0)

Graphical representation of motion

Graph :

A graph is a line, straight line or curved, showing the relation between two variable quantities of which one varies as a result of the change in the other.

The quantity which changes independently is called independent variable and the one which changes as a result of the change in the other is called dependent variable.

Plotting a graph :

  • Take independent varibale along X-axis and dependent variable along Y-axis.
  • Choose convenient scale so that more than 2/3rd of graph is filled.
  • Draw free hand curve to join them.

Uses of graph :

  • It gives a bird's eye view of the changes.
  • It is used to show dependence of one quantity on the other e.g., distance or velocity on time.
  • We can find distance covered in a given time.
  • Slope of velocity-time graph gives acceleration.
  • We can find position or velocity of body at any instant.

_________________________________ 

Compititive Window

  • A graph gives not only the relation between two variable quantities in a pictorial form but also enable us to study of nature of motion.
  • Speed = slope of distance time graph.
  • If distance-time graph is parallel to time axis, then the body is stationary.
  • If distance-time graph is a straight line having constant gradient or slope, then the body has uniform motion.
  • If distance-time graph is a curve with increasing gradient or slope, then the body has non-uniform motion
  • If slope of distance-time graph increases, the speed of the body increases.
  • If slope of distance-time graph of non-uniform motion decreases, the speed of the body decreases.

 _________________________________

Distance/Displacement-Time graph :

This graph is plotted between the time taken and the distance covered, the time is taken along the x-axis and the distance covered is taken along the y-axis.

Speed = Class 9, Projectile Motion, Acceleration, Speed, Velocity

  • The slope of the distance-time graph gives the speed of the body.
  • The slope of the displacement-time graph gives the velocity of the body.

When the body is at rest :

When position of the body does not change with time then it is said to be stationary, the distance-time graph of such a body is a straight line parallel to x-axis.

Class 9, Projectile Motion, Acceleration, Speed, Velocity

distance-time graph for a stationary body.

When the body is in uniform speed:

When the position of the body changes by equal intervals of time then body is said to be moving with uniform speed. The distance-time graph of such a body is a straight line, inclined to x-axis.

Class 9, Projectile Motion, Acceleration, Speed, Velocity

Slope = Class 9, Projectile Motion, Acceleration, Speed, Velocity

Slope = Class 9, Projectile Motion, Acceleration, Speed, Velocity

Class 9, Projectile Motion, Acceleration, Speed, Velocity = velocity V =  Δx/Δt OR (distance/ time)= speed

Special case-I

Class 9, Projectile Motion, Acceleration, Speed, Velocity

In uniform motion along a straight line the position x of the body at any time t is related to the constant velocity as,

xA = vt Starting form zero

xB = x0 + vt starting from x0

Special case-II

Slope of line A = tanqA = tan0 (Q qA = 0) Class 9, Projectile Motion, Acceleration, Speed, Velocity

= zero velocity

Slope of line B = tanθB = positive velocity

Slope of line C = tanθc = more positive velocity

θC > θB (tanθC > θB )

Then vC > vB

Slope of line D = tan (_ θD) = negative velocity.

When the body is in motion with a non-uniform (variable) speed.

Class 9, Projectile Motion, Acceleration, Speed, Velocity

Distance-Time graph for a body moving with non-unifrom speed.

The position-time graph is not a straight line, but is a curve.

The speed of the body at any point is known as instantaneous speed and can be calculated by finding the slope at that point.

So instantaneous speed of the body at point A.

Slope at point A = tanqA = Class 9, Projectile Motion, Acceleration, Speed, Velocity

instantaneous speed of the body at point B

Slope at point B = tanqB = Class 9, Projectile Motion, Acceleration, Speed, Velocity

qB > qA so slope at point B is greater than the slope at point A.

Hence speed of body at point B is a greater than, the speed of body at point A.

When the speed decreases with passage of time:

Slope at point A > slope at point B (θA > θB)

So, speed at point A > speed at point B

Important note : A distance time graph can never be parallel to y-axis (representing distance) because this line has slope of 90° and slope = tanq = tan90° = infinite, which means infinite speed. It is impossible.

Acceleration from displacement-time graph.

Class 9, Projectile Motion, Acceleration, Speed, Velocity

For line A : A straight line displacement-time graph represents a

uniform velocity and zero acceleration

for line B : A curved displacement-time graph rising upward represents an increasing velocity and positive acceleration

For line C : A curved displacement-time graph falling downwards, represents a decreasing velocity and negative acceleration.

Velocity-time graph :

The variation in velocity with time for an object moving in a straight line can be represented by a velocity-time graph. In this graph, time is represented along the x-axis and velocity is represented along the y-axis.

Acceleration = (speed or velocity/ time)

hence the slope of the speed/velocity-time graph, gives the acceleration of the body.

Distance = speed × time

hence, area enclosed between the speed-time graph line and x-axis (time axis) gives the distance covered by the body. Similarly area enclosed between the velocity-time graph line and the x-axis (time axis) gives the displacement of the body.

Note: Since the graph takes into account, only the magnitude hence velocity-time graph is not different from speed-time graph.

When the body is moving with constant velocity :

When the body moves with constant velocity i.e. its motion is uniform.

Class 9, Projectile Motion, Acceleration, Speed, Velocity

The speed or velocity of the body is uniform hence the magnitude remains same. The graph is a straight line parallel to x-axis (time-axis). Since the velocity is uniform. Its acceleration is zero. The slope of the graph in this case is zero.

Conclusion : Velocity-time graph of a body moving with constant velocity is a straight line parallel to time axis.

When the body is moving with a uniform acceleration.

Class 9, Projectile Motion, Acceleration, Speed, Velocity

Time

The speed or velocity is changing by equal amounts in equal interval of time, the speed or velocity time graph of such a body is a straight line inclined to x-axis (time-axis).

When the body is moving with a non-uniform (variable) acceleration.

The speed or velocity-time graph is not a straight line but is a curve.

Class 9, Projectile Motion, Acceleration, Speed, Velocity

The line has different slopes at different times, its acceleration is variable. At point A, slope is less hence acceleratoin is less. At point B slope is more hence acceleration is more.

Note: Speed or velocity-time graph line can never be paralled to y-axis (speed axis), because slope angle becomes 90° than tan90° is infinite it is impossible.

Distance or displacement from speed or velocity-time graph.

As distance or displacement = speed or velocity x time, hence the distance or displacement can be calculated from speed or velocity-time graph.

When speed or velocity is uniform (constant)

Class 9, Projectile Motion, Acceleration, Speed, Velocity

Distance/displacement = Area of rectangle ABCD = AB × AD

Thus, We find that the area enclosed by velocity-time graph and the time axis gives the distance travelled by the body.

When acceleration is uniform (constant)

Class 9, Projectile Motion, Acceleration, Speed, Velocity

distance or displacement = area of right triangle OAB =  Class 9, Projectile Motion, Acceleration, Speed, Velocity  

When speed or velocity as well as acceleration is non-uniform (variable).

Class 9, Projectile Motion, Acceleration, Speed, Velocity

The speed-time graph of a body moving irregularly with variable speed and acceleration. For a small interval of time Dt, as there is not much change in speed, hence the speed can be taken as constant.

For this small time interval.

Distance Ds = vDt = Area of the blackened strip.

For whole time interval between t1 and t2, distance = sum of areas of all the strips, between t1 and t2 = area of shaded figure ABCD.

Application of Velocity- time Graphs :

A number of useful results can be deduced from velocity time graph.

  • Slope of velocity-time graph gives the acceleration.
  • Area below velocity-time graph and the time axis gives the distance covered.
  • Using the above two results, we can derive all equations of motion.

Natre of slope :- Competitive Window

 

Class 9, Projectile Motion, Acceleration, Speed, Velocity Class 9, Projectile Motion, Acceleration, Speed, Velocity Class 9, Projectile Motion, Acceleration, Speed, Velocity Class 9, Projectile Motion, Acceleration, Speed, Velocity Class 9, Projectile Motion, Acceleration, Speed, Velocity

Class 9, Projectile Motion, Acceleration, Speed, Velocity Class 9, Projectile Motion, Acceleration, Speed, Velocity

 

Graphical represantation of equation of motion :

Class 9, Projectile Motion, Acceleration, Speed, Velocity

Represents a velocity-time graph BC, in which AB represents the initial velocity u, CE represents final velocity v, such that the change in velocity is represented by CD, which takes place in time t, represented by AE.

Derivation of v = u + at

Acceleration = slope of the graph line BC.

a = Class 9, Projectile Motion, Acceleration, Speed, Velocity=Class 9, Projectile Motion, Acceleration, Speed, Velocity OR a = Class 9, Projectile Motion, Acceleration, Speed, Velocity Class 9, Projectile Motion, Acceleration, Speed, Velocity

v _ u = at

Class 9, Projectile Motion, Acceleration, Speed, Velocity

Derivation of s = ut + 1/2at2

Distance travelled = Area of trapezium ABCE

= Area of rectangle ABDE + Area of triangle BCD

= AB × AE + (BD × CD) = t × u + [t × (v_u)] Class 9, Projectile Motion, Acceleration, Speed, Velocity

Q v = u + at = u × t + [t × (u + at _ u)]

Class 9, Projectile Motion, Acceleration, Speed, Velocity

Derivation of  v2= u2+2as

From the velocity-time graph distance covered = Area of trapezium ABCE

Þ S = (AB + CE) × AE S = Class 9, Projectile Motion, Acceleration, Speed, Velocity(u + v) × t ...(i)

Acceleration = Class 9, Projectile Motion, Acceleration, Speed, Velocity

a = Class 9, Projectile Motion, Acceleration, Speed, Velocity t = Class 9, Projectile Motion, Acceleration, Speed, Velocity ...(ii)

Substituting the value of t in eq (i)

S = Class 9, Projectile Motion, Acceleration, Speed, Velocity Q A2 _ B2 = (A + B) × (A _ B)

S = Class 9, Projectile Motion, Acceleration, Speed, Velocity

v2 _ u2 = 2as Class 9, Projectile Motion, Acceleration, Speed, Velocity

Circular motion

Motion of a particle (small body)along a circle (circular path), is called circular motion.

If the body covers equal distances along the circumference of the circle, in equal intervals of time, then motion is said to be a uniform circular motion. When a body moves along a circular path, then its direction of motion changes continuously.

 

Note: A uniform circular motion is a motion in which speed remain constant but direction of velocity changes continuously.

Class 9, Projectile Motion, Acceleration, Speed, Velocity Class 9, Projectile Motion, Acceleration, Speed, Velocity Class 9, Projectile Motion, Acceleration, Speed, Velocity Class 9, Projectile Motion, Acceleration, Speed, Velocity

Examples of uniform circular motion are:

(i) Motion of moon around the earth.

(ii) Motion of a satellite around its planet.

(iii) Motion of earth around the sun.

(iv) An athlete running on a circular track with constant speed.

(v) Motion of tips of the second hand, minute hand and hour hand of a wrist watch.

  • Circular motion is an accelerated motion.
  • In a circular motion, velocity changes in direction only, the motion is said to be accelerated.
  • Uniform linear motion is not accelerated but uniform circular motion is accelerated.

Difference between a uniform linear motion and a uniform circular motion.

Uniform linear motionUniform circular motion
The direction of motion does not change.The direction of motion changes
continuously
The motion is non-acceleratedThe motion is accelerated

 

RADIAN

It is a convenient unit for measuring angles in physics.

The arc AB of the circle, has length l and subtends an angle q at the centre C.

Class 9, Projectile Motion, Acceleration, Speed, Velocity

If Class 9, Projectile Motion, Acceleration, Speed, Velocity = q radians

Then q = Class 9, Projectile Motion, Acceleration, Speed, Velocity q = Class 9, Projectile Motion, Acceleration, Speed, Velocity

when l = r then q = 1 radian.

One radian is defined as the angle subtended at the centre of the circle by an arc which is equal in length to its radius.

Angle subtended by the circumference at the centre.

q = = 2p radians 2p radians = 360° 1 radian = Class 9, Projectile Motion, Acceleration, Speed, Velocity

Class 9, Projectile Motion, Acceleration, Speed, Velocity

Angular displacement and angular velocity :

The angle covered by a body in 1 sec. is called angular velocity. Class 9, Projectile Motion, Acceleration, Speed, Velocity

It is usually denoted by w and measured in radian per sec.

If q is the angle covered in time 't' then :

Angular velocity = Class 9, Projectile Motion, Acceleration, Speed, Velocity

Class 9, Projectile Motion, Acceleration, Speed, Velocity

Unit Angular displacement = q (in radian)

Angular velocity w

Class 9, Projectile Motion, Acceleration, Speed, Velocity

Þ Þ rad/s

Relation between linear velocity and angular velocity.

Linear displacement = l

Angular displacement = q

q = Class 9, Projectile Motion, Acceleration, Speed, Velocity

l = rq

for a time inervals t

Linear velocity v =

Angular velocity Class 9, Projectile Motion, Acceleration, Speed, Velocity

w =

Class 9, Projectile Motion, Acceleration, Speed, Velocity Class 9, Projectile Motion, Acceleration, Speed, Velocity

Higher order thinking skill

Projectile's Motion

A projectile is an object moving in space (or air) under the effect of gravitational effect of earth alone (without any other external force) is called the projectile motion and the object is caled the projectile.

The examples of projectile are missile shot from a gun, a bomb released from an airplane, a batted cricket ball, a ball thrown at some angle with horizontal and a rocket after its fuel is exhausted.

The motion of a projectile may always be resolved into two perpendicular straight line motions, viz, horizontal and vertical motions. These motions in perpendicular directions are quite independent of each other.

Path of Projectile :-

Consider a body is projected with velocity Class 9, Projectile Motion, Acceleration, Speed, Velocity, making an angle q, point of projection O as the origin the axis OX and OY being horizontal and vertical directions respectively. The initial velocity may be resolved into horizontal and vertical components.

Horizontal Component ux = u cos q

Vertical Component uy = u sin q

The trajectory of the projectile is parabolic.

Time of flight T :-

The time in which the porjectile again meets the horizontal plane is called the time of flight. The net vertical displacement of projectile in time of flight is zero (i.e. y = 0) ; therefore, time of flight (T) of projectile from the relation s = ut + Class 9, Projectile Motion, Acceleration, Speed, Velocity at2 is given by :-

Class 9, Projectile Motion, Acceleration, Speed, Velocity

Maximum height H :-

At maximum height vertical component of projectile's velocity is zero, i.e., vy = 0

from relation v2 = u2 + 2 as, we have

This equation shows that the height H is maximum when sin q = 1 or q = . That is why the athlete in high jump tries to throw his body vertically upward.

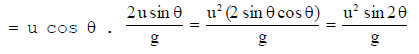
Range of Projectile :-

The horizontal distance traversed by the projectile in time of flight T is called the range of projectile.

Range R = horizontal speed × time of flight = ux T

Class 9, Projectile Motion, Acceleration, Speed, Velocity  (∵  sin 2θ = 2 sin θ cos θ)

For maximum range sin 2θ = 1 or 2θ = 90° or θ = 45°

and the maximum range, Class 9, Projectile Motion, Acceleration, Speed, Velocity

Obviously the maximum range is achieved when angle of projection is 45°.

The document Chapter Notes - Motion is a part of Class 9 category.
All you need of Class 9 at this link: Class 9

FAQs on Chapter Notes - Motion

1. What is the difference between speed and velocity in motion?
Ans. Speed measures how fast an object moves regardless of direction, while velocity measures the rate of change of position in a specific direction. Speed is a scalar quantity (only magnitude), whereas velocity is a vector quantity (magnitude and direction). For example, a car travelling at 60 km/h has a speed of 60 km/h, but its velocity depends on the direction it's moving.
2. How do I calculate acceleration when an object's velocity keeps changing?
Ans. Acceleration is the rate of change of velocity over time, calculated using the formula: acceleration = (final velocity - initial velocity) / time. For example, if a car accelerates from 0 to 100 m/s in 10 seconds, the acceleration is 10 m/s². Negative acceleration (deceleration) occurs when velocity decreases. Understanding this helps solve most Class 9 motion problems.
3. Why do we need distance-time graphs to understand motion?
Ans. Distance-time graphs visually represent how an object's position changes over time, making motion patterns instantly clear. A steep slope indicates faster motion, while a flat line shows the object at rest. By interpreting these graphs, students can determine whether motion is uniform or non-uniform without performing calculations. EduRev's flashcards and mind maps simplify graph interpretation techniques.
4. What's the easiest way to remember equations of motion for CBSE exams?
Ans. The three equations of motion relate velocity, acceleration, displacement, and time: v = u + at, s = ut + ½at², and v² - u² = 2as. Memorise them by understanding that each connects different motion variables. Practice applying these kinematic equations to real problems repeatedly. Using these formulas confidently significantly boosts exam marks in motion chapters.
5. Can an object have zero velocity but non-zero acceleration at some instant?
Ans. Yes, this occurs when an object momentarily stops before changing direction. A ball thrown upward has zero velocity at its highest point but experiences constant downward acceleration due to gravity throughout its flight. This common misconception trips students up; recognising that acceleration measures velocity change, not current speed, clarifies this confusion instantly.
Download as PDF

Top Courses for Class 9

Related Searches
past year papers, video lectures, Chapter Notes - Motion, Exam, mock tests for examination, Extra Questions, study material, ppt, Chapter Notes - Motion, Sample Paper, Free, pdf , Summary, Objective type Questions, Semester Notes, Important questions, Chapter Notes - Motion, Viva Questions, MCQs, practice quizzes, shortcuts and tricks, Previous Year Questions with Solutions;