Class 11 Exam  >  Class 11 Notes  >  NCERT Solutions, Relations and Functions, Class 11, Mathematics

NCERT Solutions, Relations and Functions, Class 11, Mathematics PDF Download

NCERT QUESTION

                  

( Relations And Functions )

 

Question 1:

If NCERT Solutions, Relations and Functions, Class 11, Mathematics, find the values of x and y.

 

ANSWER :       It is given that NCERT Solutions, Relations and Functions, Class 11, Mathematics  .

Since the ordered pairs are equal, the corresponding elements will also be equal.

Therefore, NCERT Solutions, Relations and Functions, Class 11, Mathematics and NCERT Solutions, Relations and Functions, Class 11, Mathematics.

NCERT Solutions, Relations and Functions, Class 11, Mathematics

NCERT Solutions, Relations and Functions, Class 11, Mathematics

∴ x = 2 and y = 1

 

Question 2:

If the set A has 3 elements and the set B = {3, 4, 5}, then find the number of elements in (A × B)?

 

ANSWER : It is given that set A has 3 elements and the elements of set B are 3, 4, and 5.

⇒ Number of elements in set B = 3

Number of elements in (A × B)

= (Number of elements in A) × (Number of elements in B)

= 3 × 3 = 9

Thus, the number of elements in (A × B) is 9.

 

Question 3:

If G = {7, 8} and H = {5, 4, 2}, find G × H and H × G.

 

ANSWER :       G = {7, 8} and H = {5, 4, 2}

We know that the Cartesian product P × Q of two non-empty sets P and Q is defined as

P × Q = {(pq): p∈ P, q ∈ Q}

∴G × H = {(7, 5), (7, 4), (7, 2), (8, 5), (8, 4), (8, 2)}

H × G = {(5, 7), (5, 8), (4, 7), (4, 8), (2, 7), (2, 8)}

 

Question 4:

 

State whether each of the following statement are true or false. If the statement is false, rewrite the given statement correctly.

(i) If P = {mn} and Q = {nm}, then P × Q = {(mn), (nm)}.

(ii) If A and B are non-empty sets, then A × B is a non-empty set of ordered pairs (xy) such that x ∈ A and y ∈ B.

(iii) If A = {1, 2}, B = {3, 4}, then A × (B ∩ Φ) = Φ.

 

ANSWER :       (i) False

If P = {mn} and Q = {nm}, then

P × Q = {(mm), (mn), (n, m), (nn)}

(ii) True

(iii) True

 

Question 5:

If A = {–1, 1}, find A × A × A.

 

ANSWER :       It is known that for any non-empty set A, A × A × A is defined as

A × A × A = {(abc): abc ∈ A}

It is given that A = {–1, 1}

∴ A × A × A = {(–1, –1, –1), (–1, –1, 1), (–1, 1, –1), (–1, 1, 1),

(1, –1, –1), (1, –1, 1), (1, 1, –1), (1, 1, 1)}

 

Question 6:

If A × B = {(ax), (ay), (bx), (by)}. Find A and B.

 

ANSWER :       It is given that A × B = {(ax), (a, y), (bx), (by)}

We know that the Cartesian product of two non-empty sets P and Q is defined as P × Q = {(pq): p ∈ P, q ∈ Q}

∴ A is the set of all first elements and B is the set of all second elements.

Thus, A = {ab} and B = {xy}

 

Question 7:

Let A = {1, 2}, B = {1, 2, 3, 4}, C = {5, 6} and D = {5, 6, 7, 8}. Verify that

(i) A × (B ∩ C) = (A × B) ∩ (A × C)

(ii) A × C is a subset of B × D

 

ANSWER :       (i) To verify: A × (B ∩ C) = (A × B) ∩ (A × C)

We have B ∩ C = {1, 2, 3, 4} ∩ {5, 6} = Φ

∴L.H.S. = A × (B ∩ C) = A × Φ = Φ

A × B = {(1, 1), (1, 2), (1, 3), (1, 4), (2, 1), (2, 2), (2, 3), (2, 4)}

A × C = {(1, 5), (1, 6), (2, 5), (2, 6)}

∴ R.H.S. = (A × B) ∩ (A × C) = Φ

∴L.H.S. = R.H.S

Hence, A × (B ∩ C) = (A × B) ∩ (A × C)

(ii) To verify: A × C is a subset of B × D

A × C = {(1, 5), (1, 6), (2, 5), (2, 6)}

B × D = {(1, 5), (1, 6), (1, 7), (1, 8), (2, 5), (2, 6), (2, 7), (2, 8), (3, 5), (3, 6), (3, 7), (3, 8), (4, 5), (4, 6), (4, 7), (4, 8)}

We can observe that all the elements of set A × C are the elements of set B × D.

Therefore, A × C is a subset of B × D.

 

Question 8:

Let A = {1, 2} and B = {3, 4}. Write A × B. How many subsets will A × B have? List them.

 

ANSWER :       A = {1, 2} and B = {3, 4}

∴A × B = {(1, 3), (1, 4), (2, 3), (2, 4)}

⇒ n(A × B) = 4

We know that if C is a set with n(C) = m, then n[P(C)] = 2m.

Therefore, the set A × B has 24 = 16 subsets. These are

Φ, {(1, 3)}, {(1, 4)}, {(2, 3)}, {(2, 4)}, {(1, 3), (1, 4)}, {(1, 3), (2, 3)},

{(1, 3), (2, 4)}, {(1, 4), (2, 3)}, {(1, 4), (2, 4)}, {(2, 3), (2, 4)},

{(1, 3), (1, 4), (2, 3)}, {(1, 3), (1, 4), (2, 4)}, {(1, 3), (2, 3), (2, 4)},

{(1, 4), (2, 3), (2, 4)}, {(1, 3), (1, 4), (2, 3), (2, 4)}

 

Question 9:

Let A and B be two sets such that n(A) = 3 and n (B) = 2. If (x, 1), (y, 2), (z, 1) are in A × B, find A and B, where xy and z are distinct elements.

 

ANSWER :       It is given that n(A) = 3 and n(B) = 2; and (x, 1), (y, 2), (z, 1) are in A × B.

We know that A = Set of first elements of the ordered pair elements of A × B

B = Set of second elements of the ordered pair elements of A × B.

∴ xy, and z are the elements of A; and 1 and 2 are the elements of B.

Since n(A) = 3 and n(B) = 2, it is clear that A = {xyz} and B = {1, 2}.

 

Question 10:

The Cartesian product A × A has 9 elements among which are found (–1, 0) and (0, 1). Find the set A and the remaining elements of A × A.

 

ANSWER :       We know that if n(A) = p and n(B) = q, then n(A × B) = pq.

∴ n(A × A) = n(A) × n(A)

It is given that n(A × A) = 9

∴ n(A) × n(A) = 9

⇒ n(A) = 3

The ordered pairs (–1, 0) and (0, 1) are two of the nine elements of A × A.

We know that A × A = {(a, a): a ∈ A}. Therefore, –1, 0, and 1 are elements of A.

Since n(A) = 3, it is clear that A = {–1, 0, 1}.

The remaining elements of set A × A are (–1, –1), (–1, 1), (0, –1), (0, 0),

(1, –1), (1, 0), and (1, 1)

 

Question 1:

Let A = {1, 2, 3, … , 14}. Define a relation R from A to A by R = {(xy): 3x – y = 0, where xy ∈ A}. Write down its domain, codomain and range.

 

ANSWER :       The relation R from A to A is given as

R = {(xy): 3x – y = 0, where xy ∈ A}

i.e., R = {(xy): 3x = y, where xy ∈ A}

∴R = {(1, 3), (2, 6), (3, 9), (4, 12)}

The domain of R is the set of all first elements of the ordered pairs in the relation.

∴Domain of R = {1, 2, 3, 4}

The whole set A is the codomain of the relation R.

∴Codomain of R = A = {1, 2, 3, …, 14}

The range of R is the set of all second elements of the ordered pairs in the relation.

∴Range of R = {3, 6, 9, 12}

 

Question 2:

Define a relation R on the set N of natural numbers by R = {(xy): y = x + 5, x is a natural number less than 4; xy ∈ N}. Depict this relationship using roster form. Write down the domain and the range.

 

ANSWER :       R = {(xy): y = x + 5, x is a natural number less than 4, xy ∈ N}

The natural numbers less than 4 are 1, 2, and 3.

∴R = {(1, 6), (2, 7), (3, 8)}

The domain of R is the set of all first elements of the ordered pairs in the relation.

∴ Domain of R = {1, 2, 3}

The range of R is the set of all second elements of the ordered pairs in the relation.

∴ Range of R = {6, 7, 8}

 

Question 3:

A = {1, 2, 3, 5} and B = {4, 6, 9}. Define a relation R from A to B by R = {(xy): the difference between x and y is odd; x ∈ A, y ∈ B}. Write R in roster form.

 

ANSWER :       A = {1, 2, 3, 5} and B = {4, 6, 9}

R = {(xy): the difference between x and y is odd; x ∈ A, y ∈ B}

∴R = {(1, 4), (1, 6), (2, 9), (3, 4), (3, 6), (5, 4), (5, 6)}

 

Question 4:

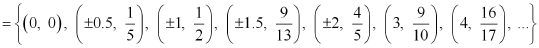
The given figure shows a relationship between the sets P and Q. write this relation

(i) in set-builder form (ii) in roster form.

What is its domain and range?

NCERT Solutions, Relations and Functions, Class 11, Mathematics

 

 

ANSWER :       According to the given figure, P = {5, 6, 7}, Q = {3, 4, 5}

(i) R = {(x, y): y = x – 2; x ∈ P} or R = {(x, y): y = x – 2 for x = 5, 6, 7}

(ii) R = {(5, 3), (6, 4), (7, 5)}

Domain of R = {5, 6, 7}

Range of R = {3, 4, 5}

 

Question 5:

Let A = {1, 2, 3, 4, 6}. Let R be the relation on A defined by

{(ab): ab ∈ A, b is exactly divisible by a}.

(i) Write R in roster form

(ii) Find the domain of R

(iii) Find the range of R.

 

ANSWER :       A = {1, 2, 3, 4, 6}, R = {(ab): ab ∈ A, b is exactly divisible by a}

(i) R = {(1, 1), (1, 2), (1, 3), (1, 4), (1, 6), (2, 2), (2, 4), (2, 6), (3, 3), (3, 6), (4, 4), (6, 6)}

(ii) Domain of R = {1, 2, 3, 4, 6}

(iii) Range of R = {1, 2, 3, 4, 6}

 

Question 6:

Determine the domain and range of the relation R defined by R = {(xx + 5): x ∈ {0, 1, 2, 3, 4, 5}}.

 

ANSWER :       R = {(xx + 5): x ∈ {0, 1, 2, 3, 4, 5}}

∴ R = {(0, 5), (1, 6), (2, 7), (3, 8), (4, 9), (5, 10)}

∴Domain of R = {0, 1, 2, 3, 4, 5}

Range of R = {5, 6, 7, 8, 9, 10}

 

Question 7:

Write the relation R = {(xx3): x is a prime number less than 10} in roster form.

 

ANSWER :       R = {(xx3): x is a prime number less than 10}

The prime numbers less than 10 are 2, 3, 5, and 7.

∴R = {(2, 8), (3, 27), (5, 125), (7, 343)}

 

Question 8:

Let A = {xy, z} and B = {1, 2}. Find the number of relations from A to B.

 

ANSWER :       It is given that A = {xy, z} and B = {1, 2}.

∴ A × B = {(x, 1), (x, 2), (y, 1), (y, 2), (z, 1), (z, 2)}

Since n(A × B) = 6, the number of subsets of A × B is 26.

Therefore, the number of relations from A to B is 26.

 

Question 9:

Let R be the relation on Z defined by R = {(ab): ab ∈ Z, a – b is an integer}. Find the domain and range of R.

ANSWER :       R = {(ab): ab ∈ Za – b is an integer}

It is known that the difference between any two integers is always an integer.

∴Domain of R = Z

Range of R = Z

 

Question 10:

Which of the following relations are functions? Give reasons. If it is a function, determine its domain and range.

(i) {(2, 1), (5, 1), (8, 1), (11, 1), (14, 1), (17, 1)}

(ii) {(2, 1), (4, 2), (6, 3), (8, 4), (10, 5), (12, 6), (14, 7)}

(iii) {(1, 3), (1, 5), (2, 5)}

 

ANSWER :       (i) {(2, 1), (5, 1), (8, 1), (11, 1), (14, 1), (17, 1)}

Since 2, 5, 8, 11, 14, and 17 are the elements of the domain of the given relation having their unique images, this relation is a function.

Here, domain = {2, 5, 8, 11, 14, 17} and range = {1}

(ii) {(2, 1), (4, 2), (6, 3), (8, 4), (10, 5), (12, 6), (14, 7)}

Since 2, 4, 6, 8, 10, 12, and 14 are the elements of the domain of the given relation having their unique images, this relation is a function.

Here, domain = {2, 4, 6, 8, 10, 12, 14} and range = {1, 2, 3, 4, 5, 6, 7}

(iii) {(1, 3), (1, 5), (2, 5)}

Since the same first element i.e., 1 corresponds to two different images i.e., 3 and 5, this relation is not a function.

 

Question 11:

Find the domain and range of the following real function:

(i) f(x) = –|x|                  (ii)NCERT Solutions, Relations and Functions, Class 11, Mathematics

 

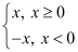
ANSWER :       (i) f(x) = –|x|, x ∈ R

We know that |x| = NCERT Solutions, Relations and Functions, Class 11, Mathematics

 NCERT Solutions, Relations and Functions, Class 11, Mathematics

Since f(x) is defined for x ∈ R, the domain of f is R.

It can be observed that the range of f(x) = –|x| is all real numbers except positive real numbers.

∴The range of f is (–, 0].

(ii) NCERT Solutions, Relations and Functions, Class 11, Mathematics

Since NCERT Solutions, Relations and Functions, Class 11, Mathematics is defined for all real numbers that are greater than or equal to –3 and less than or equal to 3, the domain of f(x) is {x : –3 ≤ x ≤ 3} or [–3, 3].

For any value of x such that –3 ≤ x ≤ 3, the value of f(x) will lie between 0 and 3.

∴The range of f(x) is {x: 0 ≤ x ≤ 3} or [0, 3].

 

Question 12:

A function f is defined by f(x) = 2x – 5. Write down the values of

(i) f(0),                     (ii) f(7),                  (iii) f(–3)

 

ANSWER :       The given function is f(x) = 2x – 5.

Therefore,

(i) f(0) = 2 × 0 – 5 = 0 – 5 = –5

(ii) f(7) = 2 × 7 – 5 = 14 – 5 = 9

(iii) f(–3) = 2 × (–3) – 5 = – 6 – 5 = –11

 

Question 13:

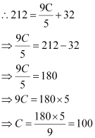
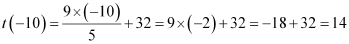
The function ‘t’ which maps temperature in degree Celsius into temperature in degree Fahrenheit is defined by NCERT Solutions, Relations and Functions, Class 11, Mathematics.

Find (i) t (0)             (ii) t (28)         (iii) t (–10)         (iv) The value of C, when t(C) = 212

 

ANSWER :       The given function is NCERT Solutions, Relations and Functions, Class 11, Mathematics.

Therefore,

(i)NCERT Solutions, Relations and Functions, Class 11, Mathematics

(ii)NCERT Solutions, Relations and Functions, Class 11, Mathematics

(iii)NCERT Solutions, Relations and Functions, Class 11, Mathematics

(iv) It is given that t(C) = 212

 NCERT Solutions, Relations and Functions, Class 11, Mathematics

Thus, the value of t, when t(C) = 212, is 100.

 

Question 14:

Find the range of each of the following functions.

(i) f(x) = 2 – 3xx ∈ R, x > 0.

(ii) f(x) = x2 + 2, x, is a real number.

(iii) f(x) = xx is a real number

 

ANSWER :       (i) f(x) = 2 – 3xx ∈ Rx > 0

The values of f(x) for various values of real numbers x > 0 can be written in the tabular form as

NCERT Solutions, Relations and Functions, Class 11, Mathematics

Thus, it can be clearly observed that the range of f is the set of all real numbers less than 2.

i.e., range of f = (–NCERT Solutions, Relations and Functions, Class 11, Mathematics, 2)

Alter:

Let x > 0

⇒ 3x > 0

⇒ 2 –3x < 2

⇒ f(x) < 2

∴Range of f = (–NCERT Solutions, Relations and Functions, Class 11, Mathematics, 2)

(ii) f(x) = x2 + 2, x, is a real number

The values of f(x) for various values of real numbers x can be written in the tabular form as

NCERT Solutions, Relations and Functions, Class 11, Mathematics

Thus, it can be clearly observed that the range of f is the set of all real numbers greater than 2.

i.e., range of f = [2,NCERT Solutions, Relations and Functions, Class 11, Mathematics)

Alter:

Let x be any real number.

Accordingly,

x2 ≥ 0

⇒ x2 + 2 ≥ 0+ 2

⇒ x2 + 2 ≥ 2

⇒ f(x) ≥ 2

∴ Range of f = [2,NCERT Solutions, Relations and Functions, Class 11, Mathematics)

(iii) f(x) = x, x is a real number

It is clear that the range of f is the set of all real numbers.

∴ Range of f = R

 

Question 15:

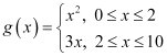
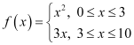
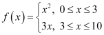
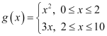
The relation f is defined by NCERT Solutions, Relations and Functions, Class 11, Mathematics

The relation g is defined by NCERT Solutions, Relations and Functions, Class 11, Mathematics

Show that f is a function and g is not a function.

 

ANSWER :       The relation f is defined as NCERT Solutions, Relations and Functions, Class 11, Mathematics

It is observed that for

0 ≤ x < 3, f(x) = x2

3 < x ≤ 10, f(x) = 3x

Also, at x = 3, f(x) = 32 = 9 or f(x) = 3 × 3 = 9

i.e., at x = 3, f(x) = 9

Therefore, for 0 ≤ x ≤ 10, the images of f(x) are unique.

Thus, the given relation is a function.

The relation g is defined as NCERT Solutions, Relations and Functions, Class 11, Mathematics

It can be observed that for x = 2, g(x) = 22 = 4 and g(x) = 3 × 2 = 6

Hence, element 2 of the domain of the relation g corresponds to two different images i.e., 4 and 6. Hence, this relation is not a function.

 

Question 16:

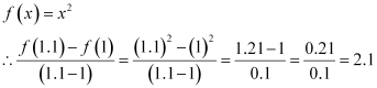
If f(x) = x2, find NCERT Solutions, Relations and Functions, Class 11, Mathematics.

 

ANSWER :      

NCERT Solutions, Relations and Functions, Class 11, Mathematics

 

Question 16:

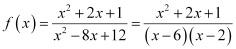
Find the domain of the function NCERT Solutions, Relations and Functions, Class 11, Mathematics

 

ANSWER :       The given function is NCERT Solutions, Relations and Functions, Class 11, Mathematics.

 NCERT Solutions, Relations and Functions, Class 11, Mathematics

It can be seen that function f is defined for all real numbers except at x = 6 and x = 2.

Hence, the domain of f is R – {2, 6}.

 

Question 17:

Find the domain and the range of the real function f defined by NCERT Solutions, Relations and Functions, Class 11, Mathematics.

 

ANSWER :       The given real function is NCERT Solutions, Relations and Functions, Class 11, Mathematics.

It can be seen that NCERT Solutions, Relations and Functions, Class 11, Mathematics is defined for (x – 1) ≥ 0.

i.e., NCERT Solutions, Relations and Functions, Class 11, Mathematics is defined for x ≥ 1.

Therefore, the domain of f is the set of all real numbers greater than or equal to 1 i.e., the domain of f = [1,NCERT Solutions, Relations and Functions, Class 11, Mathematics).

As x ≥ 1 ⇒ (x – 1) ≥ 0 ⇒ NCERT Solutions, Relations and Functions, Class 11, Mathematics

Therefore, the range of f is the set of all real numbers greater than or equal to 0 i.e., the range of f = [0,NCERT Solutions, Relations and Functions, Class 11, Mathematics).

 

Question 18:

Find the domain and the range of the real function f defined by f (x) = |x – 1|.

 

ANSWER :       The given real function is f (x) = |x – 1|.

It is clear that |x – 1| is defined for all real numbers.

∴Domain of f = R

Also, for x ∈ R, |x – 1| assumes all real numbers.

Hence, the range of f is the set of all non-negative real numbers.

 

Question 19:

Let  NCERT Solutions, Relations and Functions, Class 11, Mathematics be a function from R into R. Determine the range of f.

 

ANSWER :      

 NCERT Solutions, Relations and Functions, Class 11, Mathematics

NCERT Solutions, Relations and Functions, Class 11, Mathematics

The range of f is the set of all second elements. It can be observed that all these elements are greater than or equal to 0 but less than 1.

[Denominator is greater numerator]

Thus, range of f = [0, 1)

 

Question 20:

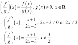
Let fg: R → R be defined, respectively by f(x) = x  +1, g(x) = 2x – 3. Find fgf – g and NCERT Solutions, Relations and Functions, Class 11, Mathematics.

 

ANSWER :       fgR → R is defined as f(x) = x + 1, g(x) = 2x – 3

(f  + g) (x) = f(x) + g(x) = (x  +1) (2x – 3) = 3x – 2

∴(f+ g) (x) = 3x – 2

(f – g) (x) = f(x) – g(x) = (x + 1) – (2x – 3) = x + 1 – 2x + 3 = – x + 4

∴ (f – g) (x) = –x + 4

 NCERT Solutions, Relations and Functions, Class 11, Mathematics

 

Question 21:

Let f = {(1, 1), (2, 3), (0, –1), (–1, –3)} be a function from Z to Z defined by f(x) = axb, for some integers ab. Determine ab.

 

ANSWER :       f = {(1, 1), (2, 3), (0, –1), (–1, –3)}

f(x) = axb

(1, 1) ∈ f

⇒ f(1) = 1

⇒ a × 1 + b = 1

⇒ a  + b = 1

(0, –1) ∈ f

⇒ f(0) = –1

⇒ a × 0 + b = –1

⇒ b = –1

On substituting b = –1 in a  + b = 1, we obtain a  (–1) = 1 ⇒ a = 1 + 1 = 2.

Thus, the respective values of a and b are 2 and –1.

 

Question 22:

Let R be a relation from N to N defined by R = {(ab): ab ∈ N and a = b2}. Are the following true?

(i) (aa) ∈ R, for all a ∈ N                           

(ii) (ab) ∈ R, implies (ba) ∈ R

(iii) (ab) ∈ R, (bc) ∈ R implies (ac) ∈ R.

Justify your answer in each case.

 

ANSWER :       R = {(ab): ab ∈ N and a = b2}

(i) It can be seen that 2 ∈ N;however, 2 ≠ 22 = 4.

Therefore, the statement “(aa) ∈ R, for all a ∈ N” is not true.

(ii) It can be seen that (9, 3) ∈ N because 9, 3 ∈ N and 9 = 32.

Now, 3 ≠ 92 = 81; therefore, (3, 9) ∉ N

Therefore, the statement “(ab) ∈ R, implies (ba) ∈ R” is not true.

(iii) It can be seen that (9, 3) ∈ R, (16, 4) ∈ R because 9, 3, 16, 4 ∈ N and 9 = 32 and 16 = 42.

Now, 9 ≠ 42 = 16; therefore, (9, 4) ∉ N

Therefore, the statement “(ab) ∈ R, (bc) ∈ R implies (ac) ∈ R” is not true.

 

Question 23:

Let A = {1, 2, 3, 4}, B = {1, 5, 9, 11, 15, 16} and f = {(1, 5), (2, 9), (3, 1), (4, 5), (2, 11)}. Are the following true?

(i) f is a relation from A to B (ii) f is a function from A to B.

Justify your answer in each case.

 

ANSWER :       A = {1, 2, 3, 4} and B = {1, 5, 9, 11, 15, 16}

∴A × B = {(1, 1), (1, 5), (1, 9), (1, 11), (1, 15), (1, 16), (2, 1), (2, 5), (2, 9), (2, 11), (2, 15), (2, 16), (3, 1), (3, 5), (3, 9), (3, 11), (3, 15), (3, 16), (4, 1), (4, 5), (4, 9), (4, 11), (4, 15), (4, 16)}

It is given that f = {(1, 5), (2, 9), (3, 1), (4, 5), (2, 11)}

(i) A relation from a non-empty set A to a non-empty set B is a subset of the Cartesian product A × B.

It is observed that f is a subset of A × B.

Thus, f is a relation from A to B.

(ii) Since the same first element i.e., 2 corresponds to two different images i.e., 9 and 11, relation f is not a function.

 

Question 24:

Let f be the subset of Z × Z defined by f = {(aba  + b): ab ∈ Z}. Is f a function from Z to Z: justify your answer.

 

ANSWER :       The relation f is defined as f = {(abab): ab ∈ Z}

We know that a relation f from a set A to a set B is said to be a function if every element of set A has unique images in set B.

Since 2, 6, –2, –6 ∈ Z, (2 × 6, 2+ 6), (–2 × –6, –2 +(–6)) ∈ f

i.e., (12, 8), (12, –8) ∈ f

It can be seen that the same first element i.e., 12 corresponds to two different images i.e., 8 and –8. Thus, relation f is not a function.

 

Question 25:

Let A = {9, 10, 11, 12, 13} and let f: A → N be defined by f(n) = the highest prime factor of n. Find the range of f.

 

ANSWER :       A = {9, 10, 11, 12, 13}

f: A → N is defined as

f(n) = The highest prime factor of n

Prime factor of 9 = 3

Prime factors of 10 = 2, 5

Prime factor of 11 = 11

Prime factors of 12 = 2, 3

Prime factor of 13 = 13

f(9) = The highest prime factor of 9 = 3

f(10) = The highest prime factor of 10 = 5

f(11) = The highest prime factor of 11 = 11

f(12) = The highest prime factor of 12 = 3

f(13) = The highest prime factor of 13 = 13

The range of f is the set of all f(n), where n ∈ A.

∴Range of f = {3, 5, 11, 13}

The document NCERT Solutions, Relations and Functions, Class 11, Mathematics is a part of Class 11 category.
All you need of Class 11 at this link: Class 11

FAQs on NCERT Solutions, Relations and Functions, Class 11, Mathematics

1. What are relations and functions in mathematics?
Ans. Relations and functions are fundamental concepts in mathematics. A relation is a set of ordered pairs, where each ordered pair consists of two elements from different sets. On the other hand, a function is a special type of relation in which each element from the first set is associated with exactly one element from the second set. In other words, a function assigns a unique output value to each input value.
2. How are relations and functions different from each other?
Ans. The main difference between relations and functions lies in their properties. In a relation, an element from the first set can be associated with multiple elements from the second set, whereas in a function, each element from the first set is associated with only one element from the second set. Another difference is that a relation does not necessarily have a specific rule or pattern, whereas a function is defined by a rule or formula that determines the output value based on the input value.
3. What is the domain and range of a function?
Ans. The domain of a function is the set of all possible input values for which the function is defined. It represents the values on the x-axis. The range of a function is the set of all possible output values that the function can produce. It represents the values on the y-axis. In other words, the domain is the set of all x-values, and the range is the set of all y-values for a given function.
4. How can we determine if a relation is a function or not?
Ans. To determine if a relation is a function or not, we use the vertical line test. If any vertical line intersects the graph of the relation at more than one point, then the relation is not a function. This is because a function cannot have multiple outputs for a single input. However, if every vertical line intersects the graph at most once, then the relation is a function.
5. What are the different types of functions?
Ans. There are various types of functions in mathematics. Some commonly encountered types include: - One-to-one function: A function where each element from the first set is associated with a unique element from the second set, and vice versa. - Onto function: A function where every element from the second set has at least one corresponding element in the first set. - Constant function: A function that always produces the same output regardless of the input. - Linear function: A function that has a constant rate of change and produces a straight line when graphed. - Quadratic function: A function that can be expressed as a quadratic equation, where the highest power of the variable is 2.
Download as PDF

Top Courses for Class 11

Related Searches

Important questions

,

Semester Notes

,

Mathematics

,

past year papers

,

Relations and Functions

,

Mathematics

,

Summary

,

pdf

,

MCQs

,

study material

,

Class 11

,

Objective type Questions

,

ppt

,

NCERT Solutions

,

Exam

,

shortcuts and tricks

,

Previous Year Questions with Solutions

,

Sample Paper

,

Free

,

Viva Questions

,

video lectures

,

mock tests for examination

,

Relations and Functions

,

Class 11

,

NCERT Solutions

,

NCERT Solutions

,

practice quizzes

,

Relations and Functions

,

Class 11

,

Mathematics

,

Extra Questions

;