FUNCTIONS
A. Definition
Function is defined as a rule or a manner or a mapping or a correspondence f which maps each & every element of set A with a unique element of set B. It is denoted by :


Figure -2 does not represent a function because conversion is allowed (figure-3) But diversion is not allowed.

Ex.1 Which of the following correspondences can be called a function ?
(A) f(x) = x3 ; {-1, 0, 1} → {0, 1, 2, 3}
(B) f(x) =± ; {0, 1, 2} → {-2, -1, 0, 1, 2}
(C) f(x) = ; {0, 1, 4} → {-2, -1, 0, 1, 2}
(D) f(x) = - ; {0, 1, 4} → {-2, -1, 0, 1, 2}
Sol. f(x) in (C) & (D) are functions as definition of function is satisfied. while in case of (A) the given relation is not a function,
codomain. Hence definition of function is not satisfied. While in case of (B), the given relation is not a function, as f(1) = ± 1 and f(4) = ± 2 i.e. element 1 as well as 4 in domain are related with two elements of codomain. Hence definition of function is not satisfied.
Ex.2 If X = {a, b, c, d, e} & Y = {p, q, r, s, t} then which of the following subset(s) of X × Y is/are a function from X to Y.
(A) {(a, r) (b, r) (b, s) (d, t) (e, q) (c, q)}
(B) {(a, r) (b, p) (c, t) (d, q)}
(C) {(a, p) (b, t) (c, r) (d, s) (e, q)}
(D) {(a, r) (b, r) (c, r) (d, r) (e, r)}
Sol. Let us check every option for the two conditions of the function
(A) b has two output (images) namely r & s
Not a function
(B)
does not have any image
Not a function
(C) every element of X has one and only one output
it is a function
(D) every element's output is r
it is a function
Hence correct options are (C) & (D).
"Function" as an ordered pair :

where A × B is the cartesian product of two set A & B
= {(1, x), (2, x), (3, x), (1, y), (2, y), (3, y)}
Remark : Every function from A to B satisfied the following Relation :

(3) 
(4) In a graphical representation of a function y = f(x).
If vertical line cuts the curve more than once then it is not a function. It is called as vertical line test

B. Domain, Co-domain & Range of A Function
Let f : A → B, then the set A is known as the domain of f& the set B is known as co-domain of f. If a member `a' of A is associated to the member `b' of B, then'b' is called the f-image of `a' and we write b = f(a). Further `a' is called a pre-image of `b'. The set
is called the range of f and is denoted by f(A). Clearly
.
If only expression of f(x) is given (domain and codomain are not mentioned), then domain is set of those values of `x' for which f (x) is real, while codomain is considered to be
(except in ITFs)
A function whose domain and range are both subsets of real numbers is called a real function.
(Algebraic Operations on Functions) : If f & g are real valued functions of x with domains A and B respectively, then both f & g are defined in A
B . Now we define f + g , f - g , (f . g) & (f/g) as follows:
.
Ex.3 Find the domain of definition of the function 
Sol. For y to be defined
(i) 
When x - 5, x = 5 and when x2 - 10 x + 24, x = 4, 6
sign scheme for
is as follows. 
Put x = 0
⇒ 4 < x < 5 or x > 6 ...(A)
(ii)
is defined for all x ...(B)
Combining (A) and (B), we get 
Ex.4 Find the domain of the function f(x) = 

Ex.5 Find the domain of given function f(x) = 
Sol.

C. Important Type of Functions


(2) Polynomial Function :
f(x) = a0xn + a1xn - 1 + a2 xn-2 +.......+ an
where 

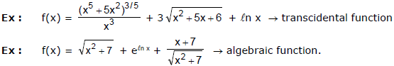
(3) Algebraic Function : A function is called an algebraic function. If it can be constructed using algebraic operations such as additions, subtractions, multiplication, division taking roots etc.
All polynomial functions are algebraic but converse is not true.

Remark : Function which are not algebraic are called as transcendental function.




(7) Absolute value function (Modulus function) :

(8) Signum function :

(9) Greatest integer function (step-up function) :

Properties :



(10) Fractional part function :


Ex.6 Find the range of the following functions :
(a) 
(b) 
Sol. (a) We have y =
i.e. 


(b) We have 



Ex.7 Find the range of following functions :
(i) y = ln (2x - x2)
(ii) y = sec-1 (x2 + 3x + 1)
Sol. (i) using maxima-minima, we have 
For log to be defined accepted values are 

(ii) 

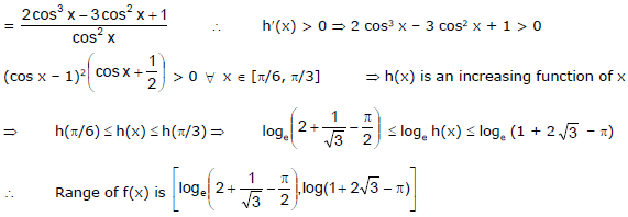
Ex.8 Find the range of y = 
Sol. We have
which is a positive quantity whose minimum value is 3/4.
Also, for the function y =
to be defined, we have 
Thus, we have
i.e. 
[
is an increasing function, the inequality sign remains same]
i.e. 
i.e.
Hence, the range is 
Ex.9 f : R → R, f (x) =
. If the range of this function is [- 4, 3) then find the value of (m2 + n2).
Sol.


Ex.10 Find the domain and range of f(x) = sin 
Sol.

Thus the domain of
is -2 < x < 1 sine being defined for all values, the domain of sin
is the same as the domain of 
To study the range. Consider the function 
As x varies from -2 to 1,
varies in the open interval
and hence
varies from
. Therefore the range of sin
is (-1, +1)
Ex.11 Find the range of the function f(x) = 
Sol. Consider
Also g(x) is positive
and
g(0) = 1 and g(x) = 0
⇒ g(x) can take all values from (0, 1] ⇒ 
Ex.12
find the domain and range of f(x) (where [ * ] denotes the greatest integer function).
Sol. 

Ex.13 Find the range of the following functions

Sol. (i)
⇒ 0 < sin x < 1

(ii) 

(11) Equal or Identical Functions : Two functions f & g are said to be equal if :
(i) The domain of f = The domain of g ⇒ Df = Dg
(ii) The range of f = The range of g ⇒ Rf = Rg
(iii)
Î their common domain.
Ex.14

Ex.15

D. Classification Of Functions
(1) One - One Function (Injective mapping) : A function f : A → B is said to be a one-one function or injective mapping if different elements of A have different f images in B. 

Diagrammatically an injective mapping can be shown as
Remark :
(i) Any function which is entirely increasing or decreasing in its domain, is one-one .
(ii) If any line parallel to x-axis cuts the graph of the function atmost at one point,
then the function is one-one.
(2) Many-One function : A function f : A → B is said to be a many one function if two or more elements of A have the same f image in B . Thus f : A → B is many one if for

Diagrammatically a many one mapping can be shown as

Remark :
(i) A continuous function f(x) which has atleast one local maximum or local minimum, is many-one. In other words, if a line parallel to x-axis cuts the graph of the function atleast at two points, then f is many-one.
(ii) If a function is one-one, it cannot be many-one and vice versa.
(iii) If f and g both are one-one, then fog and gof would also be one-one (if they exist).
Ex.16 Show that the function
is not one-one.
Sol. Test for one-one function
A function is one-one if f(x1) = f(x2) ⇒ x1 = x2

Since f(x1) = f(x2) does not imply x1 = x2 alone, f(x) is not a one-one function.
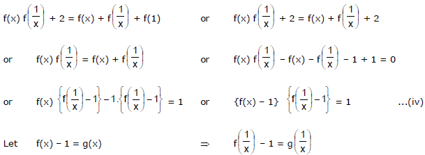
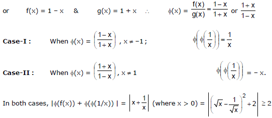
Ex.17 Let f be an injective function such that 

Sol.



Again putting x = y = 1 in equation (i) and repeating the above steps, we get
(f(1) - 2) (f(1) - 1) = 0

Now putting y = 1/x in equation (i), we get


(3) Onto-function (Surjective mapping) : If the function f : A → B is such that each element in B (co-domain) is the f image of atleast one element in A, then we say that f is a function of A 'onto' B . Thus f : A → B is surjective iff 
Diagramatically surjective mapping can be shown as

Note that : 
(4) Into function : If f : A → B is such that there exists atleast one element in co-domain which is not the image of any element in domain, then f(x) is into.
Diagramatically into function can be shown as

Remark :
(i) If a function is onto, it cannot be into and vice versa .
(ii) If f and g are both onto, then gof or fog may or may not be onto.
Thus a function can be one of these four types :
(a) one-one onto (injective & surjective)

(b) one-one into (injective but not surjective)

(c) many-one onto (surjective but not injective)

(d) many-one into (neither surjective nor injective)

Remark :
(i) If f is both injective & surjective, then it is called a Bijective function. Bijective functions are also named as invertible, non singular or biuniform functions.
(ii) If a set A contains n distinct elements then the number of different functions defined from AA is nn & out of it n ! are one-one.
(iii) The composite of two bijections is a bijection i.e. if f & g are two bijections such that gof is defined, then gof is also a bijection.
Ex.18 A function is defined as , f : D → R f (x) = cot -1 (sgn x) + sin -1 (x - {x}) (where {x} denotes the fractional part function) Find the largest domain and range of the function. State with reasons whether the function is injective or not . Also draw the graph of the function.
Sol.
f is many one 
Ex.19 Find the linear function(s) which map the interval [ 0 , 2 ] onto [ 1 , 4 ].
Sol.

Ex.20 (i) Find whether f(x) = x + cos x is one-one.
(ii) Identify whether the function f(x) = -x3 + 3x2 - 2x + 4 ; R → R is ONTO or INTO
(iii) f(x) = x2 - 2x + 3; [0, 3] → A. Find whether f(x) is injective or not. Also find the set A, if f(x) is surjective.
Sol.



Ex.21 If f and g be two linear functions from [-1, 1] onto
be defined by

Sol. Let h be a linear function from [-1, 1] onto [0, 2]. 
Now according to the question f(x) = 1 + x & g(x) = 1 - x

E. Functional Equation
Functional Equation is an equation where the unknown is a function. On solving such an equation we obtain one or more functions as solutions. If x, y are independent variables, then :

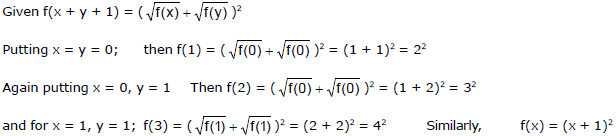
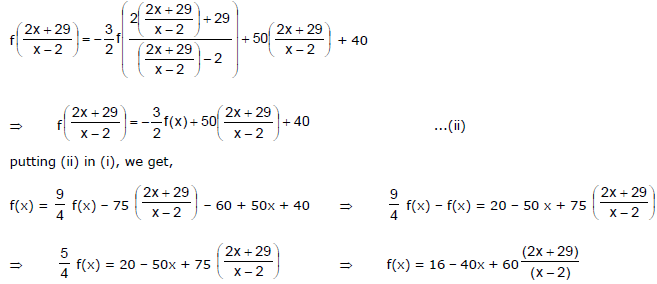
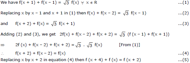
Ex.22
Determine f(x).
Sol. 
(b)

Sol.


Ex.23 Let f be a function from the set of positive integers to the set of real numbers i.e., f : N → R such that
(i) f(1) = 1;
(ii) f(1) + 2f(2) + 3f(3) + ... + nf(n) = n (n + 1) f(n) for
then find the value of f (1994).
Sol. 
Replacing n by (n + 1) then

Subtracting (1) from (2) then we get

From which we conclude that 
Substituting the value of 2f(2), 3f(3), .... in terms of nf(n) in (1), we have

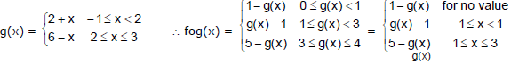
F. Composite Functions
then the function h defined on D by h(x) = g{f(x)} is called composite function of g and f and is denoted by gof. It is also called function of a function.
Remark : Domain of gof is D which is a subset of X (the domain of f). Range of gof is a subset of the range of g. 
Properties of composite functions :
(i) The composite of functions is not commutative i.e. 
(ii) The composite of functions is associative i.e. if f, g, h are three functions such that fo (goh) & (fog) oh are defined, then fo (goh) = (fog) oh.
Ex.24 Let f(x) = ex ; R+ → R and g(x) = sin-1 x; [-1, 1] → . Find domain and range of fog (x)
Sol. Domain of
Range of g(x) : 
The values in range of g(x) which are accepted by f(x) are


Ex.25 
Sol. 

Thus, we can see that fk(x) repeats itself at intervals of k = 4.

Ex.26 Let g : R → R be given by g(x) = 3 + 4x. If gn(x) = gogo....og(x), show that fn(x) = (4n - 1) + 4nx if
g-n (x) denotes the inverse of gn (x).
Sol. Since g(x) = 3 + 4x 
Ex.27 
Sol.


Ex.28 Prove that f(n) = 1 - n is the only integer valued function defined on integers such that


(iii) f(0) = 1.
Sol. The function f(n) = 1 - n clearly satisfies conditions (i), (ii) and (iii). Conversely, suppose a function
f : Z → Z satisfies (i), (ii) and (iii). Applying f to (ii) we get, f(f(f(n + 2) + 2) ) ) = f(n)
and this gives because of (i), f(n + 2) + 2 = f(n), ........(1)
. Now using (1) it is easy to prove by induction on n that for all 

G. general definition
(1) Identity function : A function
is called the identity of A & denoted by 
Every Identity function is a bijection.
(2) Constant function : A function f : A → B is said to be constant function. If every element of set A has the same functional image in set B i.e.
is called constant function.
(3) Homogeneous function : A function is said to be homogeneous w.r.t. any set of variables when each of its term is of the same degree w.r.t. those variables.
(4) Bounded Function : A function y = f(x) is said to be bounded if it can be express is the form of
where a and b are finite quantities.

Ex : Any function having singleton range like constant function.
(5) Implicit function & Explicit function : If y has been expressed entirely in terms of `x' then it is called an explicit function.
If x & y are written together in the form of an equation then it is known as implicit equation corresponding to each implicit equation there can be one, two or more explicit function satisfying it
Ex : y = x3 + 4x2 + 5x → Explicit function
Ex : x + y = 1 → Implicit equation
Ex : y = 1 - x → Explicit function
H. Even & Odd Functions
Function must be defined in symmetric interval [-x, x]
If f (-x) = f (x) for all x in the domain of `f' then f is said to be an even function.
e.g. f (x) = cos x ; g (x) = x² + 3.
If f (-x) = -f (x) for all x in the domain of `f' then f is said to be an odd function.
e.g. f (x) = sin x ; g (x) = x3 + x.
Remark :
(a) f (x) - f (-x) = 0 ⇒ f (x) is even & f (x) + f (-x) = 0 ⇒ f (x) is odd .
(b) A function may be neither even nor odd.
(c) Inverse of an even function is not defined.
(d) Every even function is symmetric about the y-axis & every odd function is symmetric about the origin .
(e) A function (whose domain is symmetric about origin) can be expressed as a sum of an even & an odd function. e.g. 
(f) The only function which is defined on the entire number line & is even and odd at the same time is f(x) = 0 .
(g) If f and g both are even or both are odd then the function f.g will be even but if any one of them is odd and other even then f.g will be odd.
Ex.29 Which of the following functions is odd ?
(A) sgn x + x2000
(B) | x | - tan x
(C) x3 cot x
(D) cosec x55
Sol. Let's name the function of the parts (A), (B), (C) and (D) as f(x), g(x), h(x)
respectively. Now

Alternatively

Ex.30

Sol.

Ex.31

Sol. 
Ex.32 Let f(x) = ex + sin x be defined on the interval [-4, 0]. Find the odd and even extension of f(x) in the interval [-4, 4].
Sol. Odd Extension : Let g0 be the odd extension of f(x), then

Even Extension : Let ge be the even extension of f(x), then

I. Periodic Function
A function f(x) is called periodic if there exists a positive number T (T > 0) called the period of the function such that f (x + T) = f(x), for all values of x and x + T within the domain of f(x). The least positive period is called the principal or fundamental period of f.
e.g. The function sin x & cos x both are periodic over 
Remark :
(a) A constant function is always periodic, with no fundamental period.


(e) If g is a function such that gof is defined on the domain of f and f is periodic with T, then gof is also periodic with T as one of its periods. Further if
# g is one-one, then T is the period of gof
# g is also periodic with T' as the period and the range of f is a subset of [0, T'], then T is the period of gof
(f) Inverse of a periodic function does not exist.
Ex.33 Find period of the following functions




Sol.

Ex.34 If f(x) = sin x + cos ax is a periodic function, show that a is a rational number.
Sol. Given f(x) = sin x + cos ax

Ex.35 Given below is a partial graph of an even periodic function f whose period is 8. If [*] denotes greatest integer function then find the value of the expression.


Sol.



Ex.36 Check whether the function defined by
is periodic or not, if periodic, then find its period.
Sol.

Ex.37 If the periodic function f(x) satisfies the equation
then find the period of f(x)
Sol.


J. Inverse Of A Function
Let f : A → B be a one-one & onto function, then their exists a unique function

Properties of inverse function :

Ex.38 Find the inverse of the function
and assuming it to be an onto function.
Sol.

| 1. What is the difference between a relation and a function? | ![]() |
| 2. How do you determine if a relation is a function? | ![]() |
| 3. What is the difference between the domain and range of a function? | ![]() |
| 4. What is a one-to-one function? | ![]() |
| 5. How do you find the inverse of a function? | ![]() |