Class 11 Exam  >  Class 11 Notes  >  Quadratic Equations, Chapter Notes, Class 11, Maths(IIT)

Quadratic Equations, Chapter Notes, Class 11, Maths(IIT) PDF Download

QUADRATIC EQUTION

 

A. General polynomial

Quadratic Equations, Chapter Notes, Class 11, Maths(IIT)

 

B. Quadratic polynomial

Quadratic Equations, Chapter Notes, Class 11, Maths(IIT)

 

C. Quadratic equation

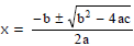
1. The solution of the quadratic equation , ax� + bx + c = 0 is given by  Quadratic Equations, Chapter Notes, Class 11, Maths(IIT)

The expression b� - 4 ac = D is called the discriminant of the quadratic equation.

2. If α & β are the roots of the quadratic equation ax� + bx + c = 0 , then ;

(i) αβ = - b/a

(ii) α + β = c/a

(iii) α - β =  Quadratic Equations, Chapter Notes, Class 11, Maths(IIT)

 

D. nature of roots

(1) Consider the quadratic equation ax� + bx + c = 0 where Quadratic Equations, Chapter Notes, Class 11, Maths(IIT) then ;

(i) D > 0 ⇔ roots are real & distinct (unequal)

(ii) D = 0 ⇔ roots are real & coincident (equal)

(iii) D < 0 ⇔ roots are imaginary

(iv) If p + i q is one root of a quadratic equation, then the other must be the conjugate p - i q & vice versa.

Quadratic Equations, Chapter Notes, Class 11, Maths(IIT)

 

(2) Consider the quadratic equation ax� + bx + c = 0 where Quadratic Equations, Chapter Notes, Class 11, Maths(IIT) then ;

(i) If D > 0 & is a perfect square , then roots are rational & unequal .

(ii) If Quadratic Equations, Chapter Notes, Class 11, Maths(IIT) is one root in this case, (where p is rational & CBSE, Class 11, IIT JEE, Syllabus, Preparation, NCERT, Important, Quadratic equations is a surd) then the other root must be the conjugate of it Quadratic Equations, Chapter Notes, Class 11, Maths(IIT) & vice versa.

CBSE, Class 11, IIT JEE, Syllabus, Preparation, NCERT, Important, Quadratic equations CBSE, Class 11, IIT JEE, Syllabus, Preparation, NCERT, Important, Quadratic equations

 

E. Graph of Quadratic expression

Quadratic Equations, Chapter Notes, Class 11, Maths(IIT)

(v) The x-co-ordinate of point of intersection of parabola with x-axis are the real roots of the quadratic equation f(x) = 0. Hence the parabola may or may not intersect the x-axis at real points.

CBSE, Class 11, IIT JEE, Syllabus, Preparation, NCERT, Important, Quadratic equations

CBSE, Class 11, IIT JEE, Syllabus, Preparation, NCERT, Important, Quadratic equations

 Consider  the  quadratic  expression ,  y = ax� + bx + c ,  a ≠ 0  &  a , b , c ∈ R  then ;
(i) "  x ∈ R ,  y > 0  only  if  a > 0  &  b� – 4ac < 0  (figure 3).
(ii) "  x ∈ R ,  y < 0  only  if  a < 0  &  b� – 4ac < 0  (figure 6).

 

=========================================================================

F. relation between roots & coefficients

Quadratic Equations, Chapter Notes, Class 11, Maths(IIT)

 

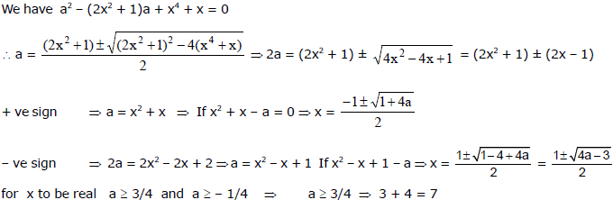
Ex.1 A quadratic polynomial p(x) has Quadratic Equations, Chapter Notes, Class 11, Maths(IIT) as roots and it satisfies p(1) = 2. Find the quadratic polynomial.

 

Sol. sum of the roots = 2, product of the roots = - 4

Quadratic Equations, Chapter Notes, Class 11, Maths(IIT)

 

Ex.2 The quadratic equation x2 + mx + n = 0 has roots which are twice those of x2 + px + m = 0 and m, n and p Quadratic Equations, Chapter Notes, Class 11, Maths(IIT) Find the value of CBSE, Class 11, IIT JEE, Syllabus, Preparation, NCERT, Important, Quadratic equations.

 

Sol.

Quadratic Equations, Chapter Notes, Class 11, Maths(IIT)

 

Ex.3 Find the range of the variable x satisfying the quadratic equation,

Quadratic Equations, Chapter Notes, Class 11, Maths(IIT)

 

Sol. 

Quadratic Equations, Chapter Notes, Class 11, Maths(IIT)

 

Ex.4

Quadratic Equations, Chapter Notes, Class 11, Maths(IIT)

 

Sol. Quadratic Equations, Chapter Notes, Class 11, Maths(IIT)

Quadratic Equations, Chapter Notes, Class 11, Maths(IIT)

 

Ex.5 One root of mx2 - 10x + 3 = 0 is two third of the other root. Find the sum of the roots.

 

Sol.

Quadratic Equations, Chapter Notes, Class 11, Maths(IIT) Quadratic Equations, Chapter Notes, Class 11, Maths(IIT)

 

Ex.6 Quadratic Equations, Chapter Notes, Class 11, Maths(IIT)

 

Sol. 

Quadratic Equations, Chapter Notes, Class 11, Maths(IIT)

 

Ex.7 Find a quadratic equation whose roots x1and x2 satisfy the condition

Quadratic Equations, Chapter Notes, Class 11, Maths(IIT) (Assume that x1, x2 are real)

 

Sol. 

Quadratic Equations, Chapter Notes, Class 11, Maths(IIT)

 

Ex.8 Form a quadratic equation with rational coefficients if one of its root is cot218�.

 

Sol.

Quadratic Equations, Chapter Notes, Class 11, Maths(IIT)

 

Ex.9 Let a & c be prime numbers and b an integer. Given that the quadratic equation a x2 + b x + c = 0 has rational roots, show that one of the root is independent of the co-efficients. Find the two roots.

 

Sol. 

Quadratic Equations, Chapter Notes, Class 11, Maths(IIT)

 

Ex.10 Find all integers values of a such that the quadratic expressions (x + a) (x + 1991) + 1 can be factored as (x + b) (x + c), where b and c are integers.

 

Sol.

Quadratic Equations, Chapter Notes, Class 11, Maths(IIT)

If the difference between two perfect square is 4, then one of them is 4 and the other is zero.

Therefore, 1991 - a = � 2,          (b - c)2 = 0

⇒ a = 1991 + 2 = 1993 and b = c or a = 1991 - 2 = 1989 and b = c

But b + c = 2b = 1991 + a = 1991 + 1993 or 1991 + 1989 ⇒ b = c = 1992 or 1990

So, the only 2 values of a are 1993 and 1989.

 

Ex.11 Find a, if ax2 - 4x + 9 = 0 has integral roots.

 

Sol. Quadratic Equations, Chapter Notes, Class 11, Maths(IIT)

This equation has integeral roots if b is an integer and 16b2 - 36b is a perfect square

Quadratic Equations, Chapter Notes, Class 11, Maths(IIT)

For any other factorization of 81, b will not be an integer.

 

Ex.12 Quadratic Equations, Chapter Notes, Class 11, Maths(IIT)

 

Sol.

Quadratic Equations, Chapter Notes, Class 11, Maths(IIT)

This is true only if n is an even integer.

 

Ex.13 Find all values of the parameter a for which the quadratic equation (a+1) x2 + 2(a + 1) x + a - 2 = 0

(a) has two distinct roots,

(b) has no roots,

(c) has two equal roots.

 

Sol. By the hypothesis this equation is quadratic, and therefore Quadratic Equations, Chapter Notes, Class 11, Maths(IIT) and the discriminant of this equation  Quadratic Equations, Chapter Notes, Class 11, Maths(IIT) then this equation has two distinct roots. For  Quadratic Equations, Chapter Notes, Class 11, Maths(IIT) then this equation has no roots. This equation can not have two equal roots since D = 0 only for a = -1, and this contradicts the hypothesis.

 

Ex.14 If the equation ax2 + 2bx + c = 0 has real roots, a, b, c being real numbers and if m and n are real numbers such that m2 > n > 0 then prove that the equation ax2 + 2mbx + nc = 0 has real roots.

 

Sol.

Quadratic Equations, Chapter Notes, Class 11, Maths(IIT) Quadratic Equations, Chapter Notes, Class 11, Maths(IIT)  Quadratic Equations, Chapter Notes, Class 11, Maths(IIT)

Quadratic Equations, Chapter Notes, Class 11, Maths(IIT)

Hence roots of equation ax2 + 2mbx + nc = 0 are real.

 

Ex.15 Show that the expression x2 + 2(a + b + c) x + 3(bc + ca + ab) will be a perfect square if a = b = c.

 

Sol. Given quadratic expression will be a perfect square if the discriminant of its corresponding equation is zero.

Quadratic Equations, Chapter Notes, Class 11, Maths(IIT)

 

Ex.16 If c < 0 and ax2 + bx + c = 0 does not have any real roots then prove that

(i) a - b + c < 0

(ii) 9a + 3b + c < 0.

 

Sol.

Quadratic Equations, Chapter Notes, Class 11, Maths(IIT)

 

=========================================================================

G. Equation v/s Identity

A quadratic equation is satisfied by exactly two values of `x' which may be real or imaginary. The equation,      a x2 + b x + c = 0 is :

Quadratic Equations, Chapter Notes, Class 11, Maths(IIT)

If a quadratic equation is satisfied by three distinct values of `x', then it is an identity.

(x + 1)2 = x2 + 2x + 1 is an identity in x.

Here highest power of x in the given relation is 2 and this relation is satisfied by three different values x = 0, x = 1 and x = -1 and hence it is an identity because a polynomial equation of nth degree cannot have more than n distinct roots.

 

Ex.17 If  Quadratic Equations, Chapter Notes, Class 11, Maths(IIT) then prove that a = b = c = 0 .

 

Sol.

Quadratic Equations, Chapter Notes, Class 11, Maths(IIT)

 

Ex.18

Quadratic Equations, Chapter Notes, Class 11, Maths(IIT)

Sol. Quadratic Equations, Chapter Notes, Class 11, Maths(IIT)

hence roots of 2nd are reciprocal of (1)

Quadratic Equations, Chapter Notes, Class 11, Maths(IIT)       Quadratic Equations, Chapter Notes, Class 11, Maths(IIT)        Quadratic Equations, Chapter Notes, Class 11, Maths(IIT)

Quadratic Equations, Chapter Notes, Class 11, Maths(IIT)

 

H. Solution of Quadratic Inequalities

Quadratic Equations, Chapter Notes, Class 11, Maths(IIT)

 

Ex.19 Find the solution set of k so that y = kx is secant to the curve y = x2 + k.

 

Sol.

Quadratic Equations, Chapter Notes, Class 11, Maths(IIT)

 

Ex.20

Quadratic Equations, Chapter Notes, Class 11, Maths(IIT)

 

Sol.

Quadratic Equations, Chapter Notes, Class 11, Maths(IIT)

Quadratic Equations, Chapter Notes, Class 11, Maths(IIT)

 

Ex. 21

Quadratic Equations, Chapter Notes, Class 11, Maths(IIT)

 

 

Sol.

Quadratic Equations, Chapter Notes, Class 11, Maths(IIT)

 

=========================================================================

I. Range of Quadratic Expression f(x) = ax2 + bx + c

 

(i) Range when x ε R :

Quadratic Equations, Chapter Notes, Class 11, Maths(IIT)

Maximum & Minimum Value of y = ax� + bx + c occurs at x = - (b/2a) according as a < 0 or a > 0 respectively

 

(ii)

Quadratic Equations, Chapter Notes, Class 11, Maths(IIT)

 

Ex.22 Find the minimum value of f(x) = x2 - 5x + 6.

 

Sol.

Quadratic Equations, Chapter Notes, Class 11, Maths(IIT)

 

Ex.23 Let P(x) = ax2 + bx + 8 is a quadratic polynomial. If the minimum value of P(x) is 6 when x = 2, find the values of a and b.

 

Sol. 

Quadratic Equations, Chapter Notes, Class 11, Maths(IIT)

 

Ex.24

Quadratic Equations, Chapter Notes, Class 11, Maths(IIT)

 

Sol. 

Quadratic Equations, Chapter Notes, Class 11, Maths(IIT)

 

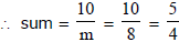
Ex.25 The coefficient of the quadratic equation ax2 + (a + d)x + (a + 2d) = 0 are consecutive terms of a positively valued, increasing arithmetic sequence. Determine the least integral value of d/a such that the equation has real solutions.

 

Sol. 

Quadratic Equations, Chapter Notes, Class 11, Maths(IIT)

 

Ex.26

Quadratic Equations, Chapter Notes, Class 11, Maths(IIT)

 

Sol.

Quadratic Equations, Chapter Notes, Class 11, Maths(IIT)

 

Ex.27   Quadratic Equations, Chapter Notes, Class 11, Maths(IIT)

 

Sol.

Quadratic Equations, Chapter Notes, Class 11, Maths(IIT)

 

=========================================================================

J. Resolution of a Second Degree Expression in X and Y

The condition that a quadratic function f (x , y) = ax� + 2 hxy + by� + 2 gx + 2 fy + c may be resolved into two Quadratic Equations, Chapter Notes, Class 11, Maths(IIT)

 

Ex.28 If x is real and 4y2 + 4xy + x + 6 = 0, then find the complete set of values of x for which y is real.

 

Sol.

Quadratic Equations, Chapter Notes, Class 11, Maths(IIT)

 

Ex.29 Find the greatest and the least real values of x & y satisfying the relation, x2 + y2 = 6 x - 8 y.

 

Sol. writing as a quadratic in y , y2 + 8 y + x2 - 6 x = 0

Quadratic Equations, Chapter Notes, Class 11, Maths(IIT)

 

Ex.30 If x, y ans z are three real numbers such that x+y+z = 4 and x2+ y2+z2 = 6, then show that eachQuadratic Equations, Chapter Notes, Class 11, Maths(IIT)

 

Sol. 

Quadratic Equations, Chapter Notes, Class 11, Maths(IIT)

 

K. Theory of Equations

Quadratic Equations, Chapter Notes, Class 11, Maths(IIT)

 

Note :

Quadratic Equations, Chapter Notes, Class 11, Maths(IIT)

 

Ex.31 If x = 1 and x = 2 are solutions of the equation x3 + ax2 + bx + c = 0 and a + b = 1, then find the value of b.

 

Sol.

Quadratic Equations, Chapter Notes, Class 11, Maths(IIT)

 

Ex.32 A polynomial in x of degree greater than 3 leaves the remainder 2, 1 and - 1 when divided by
(x - 1); (x + 2) & (x + 1) respectively . Find the remainder, if the polynomial is divided by,
(x2 - 1) (x + 2) .

 

Sol.

Quadratic Equations, Chapter Notes, Class 11, Maths(IIT)

 

Ex.33 Find the roots of the equation x4 + x3 - 19x2 - 49x - 30, given that the roots are all rational numbers.

 

Sol. Since all the roots are rational because, they are the divisors of -30.

The divisors of -30 are � 1, � 2, � 3, � 5, � 6, � 10, � 15, � 30.

By remainder theorem, we find that -1, -2, - 3, and 5 are the roots.

Hence the roots are -1, -2, -3 and + 5.

 

Ex.34 From the equation of the lowest degree with rational co-efficients, which has Quadratic Equations, Chapter Notes, Class 11, Maths(IIT) as two of its roots.

 

Sol.

Quadratic Equations, Chapter Notes, Class 11, Maths(IIT)as a factor, i.e., it must have {(x - 2)2 - 3} {(x - 3)2 -2)}            ...(1)

Since the co-efficients of (1) are rational, therefore {(x - 2)2 - 3} {(x - 3)2 - 2} = 0 is required equation.

 

Ex.35 Let u, v be two real numbers such that u, v and uv are roots of a cubic polynomial with rational coefficients. Prove or disprove uv is rational.

 

Sol. Let x3 + ax2 + bx + c = 0 be the cubic polynomial of which u, v and uv are the roots and a, b, c are all rationals.

u + v + uv = -a          ⇒        u + v = -a - uv,           uv + uv2 + u2 v = b        and         u2v2 = - c

⇒ b = uv + uv2 + u2v = uv (1 + v + u)        = uv (1 - a - uv)                    = (1 - a) uv - u2v2 = (1 - a) uv + c

i.e., uv = CBSE, Class 11, IIT JEE, Syllabus, Preparation, NCERT, Important, Quadratic equations and since a, b, c are rational, uv is rational.

 

Ex.36

Quadratic Equations, Chapter Notes, Class 11, Maths(IIT)

 

Sol. The given expression is (x3 + 1)2 + a (x3 + 1) + 4 = 0

If discriminant of the above equation is less than zero i.e. D < 0

Then we have six complex roots and no real roots.

Quadratic Equations, Chapter Notes, Class 11, Maths(IIT)

we will get two real roots and other roots will be complex except when t = 1 is one of the roots

⇒ f(1) = 0 ⇒ a = -5.

 

Ex.37

Quadratic Equations, Chapter Notes, Class 11, Maths(IIT)

 

Sol.

Quadratic Equations, Chapter Notes, Class 11, Maths(IIT)

 

Ex.38 If p(x) is a polynomial with integer coefficients and a, b, c are three distinct integers, then show that it is impossible to have p(a) = b, p(b) = c and p(c) = a.

 

Sol. Suppose a, b, c are distinct integers such that p(a) = b, p(b) = c and p(c) = a. Then

p(a) - p(b) = b - c, p(b) - p(c) = c - a, p(c) - p(a) = a - b.

But for any two integers m � n, m - n divides p(m) - p(n). Thus we get,

a - b | b - c, b - c | c - a, c - a|a - b.

Therefore a = b = c, a contradiction, Hence there are no integers a, b, and c such that p(a) = b, p(b) = c and p(c) = a.

 

Ex.39 Find all cubic polynomials p(x) such that (x - 1)2 is a factor of p(x) + 2 and (x + 1)2 is a factor of p(x) - 2.

 

Sol.

Quadratic Equations, Chapter Notes, Class 11, Maths(IIT)
+ 2, we get a + b + c + d + 2 = 0.

Hence d = -a - b - c - 2 and

p(x) + 2        = a(x3 - 1) + b(x2 - 1) + c(x - 1)    = (x - 1) {a(x2 + x +1) + b(x + 1) + c}.

Since (x - 1)2 divides p(x) + 2, we conclude that (x - 1) divides a(x2 + x + 1) + b(x + 1) c. This implies that 3a + 2b + c = 0. Similarly, using the information that (x + 1)2 divides p(x) - 2, we get two more relations : -a + b - c + d - 2 = 0; 3a - 2b + c = 0. Solving these for a, b, c, d, we obtain b = d = 0, and a = 1, c = -3. Thus there is only one polynomial satisfying the given condition : p(x) = x3 - 3x.

=========================================================================

 

L. Common Roots of Quadratic Equations

Atleast one Common Root :

Quadratic Equations, Chapter Notes, Class 11, Maths(IIT)

Note : If f(x) = 0 & g(x) = 0 are two polynomial equation having some common roots(s) then those common root(s) is/are also the root(s) of h(x) = a f(x) + bg (x) = 0.

 

Ex.40

Quadratic Equations, Chapter Notes, Class 11, Maths(IIT)

 

Sol. Given equations are : x2 + 2x + 9 = 0 .... (i)            and ax2 + bx + c = 0 .... (ii)

Clearly roots of equation (i) are imgainary since equation (i) and (ii) have a common root, therefore common root must be imaginary and hence both roots will be common.

Quadratic Equations, Chapter Notes, Class 11, Maths(IIT)

 

Ex.41 Determine a such that x2 - 11x + a and x2 - 14x + 2a may have a common factor.

 

Sol.

Quadratic Equations, Chapter Notes, Class 11, Maths(IIT)

Solving (i) and (ii) by cross multiplication method, we get a = 24.

 

Ex.42 If the quadratic equations, x2 + bx + c = 0 and bx2 + cx + 1 = 0 have a common root then prove that either b + c + 1 = 0 or b2 + c2 + 1 = b c + b + c .

 

Sol.

Quadratic Equations, Chapter Notes, Class 11, Maths(IIT)

 

Ex.43

Quadratic Equations, Chapter Notes, Class 11, Maths(IIT)

 

Sol. x2 - (a + b) x + a b = 0            or         (x - a) (x - b) = 0          ⇒        x = a or b

Quadratic Equations, Chapter Notes, Class 11, Maths(IIT)

 

Ex.44 If x2 - ax + b = 0 and x2 - px + q = 0 have a root in common and the second equation has equal roots show that b + q = CBSE, Class 11, IIT JEE, Syllabus, Preparation, NCERT, Important, Quadratic equations.

 

Sol. Given equation are x2 - ax + b = 0 ans x2 - px + q = 0. Let a be the common root. Then roots of equation (2) will be a and a. Let b be the other root of equation (1). Thus roots of equation (1) are a, b and those of equation (2) are α, α.

Quadratic Equations, Chapter Notes, Class 11, Maths(IIT)

from (7) and (8), L.H.S. = R.H.S.

 

Ex.45 If each pair of the following three equations x2 + ax + b = 0, x2 + cx + d = 0, x2 + ex + f = 0 has exactly one root in common, then show that (a + c + e)2 = 4 (ac + ce + ea - b - d - f)

 

Sol. x2 +ax + b = 0             ...(1)

x2 + cx + d = 0                   ...(2)

x2 + ex + f = 0                    ...(3)

Quadratic Equations, Chapter Notes, Class 11, Maths(IIT)

From (7) & (8), (a + c + e)2 = 4 (ac + ce + ea - b - d - f)

 

Ex.46

Quadratic Equations, Chapter Notes, Class 11, Maths(IIT)

 

Sol. Since cubic is divisible by both x2 + ax + b and x2 + bx + a and

Quadratic Equations, Chapter Notes, Class 11, Maths(IIT)

product of the roots be 1 � a � b = - 72 ...(1) and a + b + 1 = 0 ...(2) (from x2 + ax + b = 0 put x = 1)

Quadratic Equations, Chapter Notes, Class 11, Maths(IIT)

 

=========================================================================

M. Location of Roots

Quadratic Equations, Chapter Notes, Class 11, Maths(IIT)

Quadratic Equations, Chapter Notes, Class 11, Maths(IIT)

 

Ex.47

Quadratic Equations, Chapter Notes, Class 11, Maths(IIT)

 

Sol.

Quadratic Equations, Chapter Notes, Class 11, Maths(IIT)

 

Ex.48 Find the set of values of 'p' for which the quadratic equation, (p - 5) x2 - 2 px - 4 p = 0 has atleast one positive root.

 

Sol.

Quadratic Equations, Chapter Notes, Class 11, Maths(IIT)

 

Ex.49

Quadratic Equations, Chapter Notes, Class 11, Maths(IIT)

 

Sol.

Quadratic Equations, Chapter Notes, Class 11, Maths(IIT)

 

Ex.50 Find all the values of `a' for which both the roots of the equation.

(a - 2)x2 + 2ax + (a + 3) = 0 lies in the interval (-2, 1).

 

Sol.

  Quadratic Equations, Chapter Notes, Class 11, Maths(IIT)

Quadratic Equations, Chapter Notes, Class 11, Maths(IIT)

 

Ex.51 The coefficients of the equation ax2 + bx + c = 0 where Quadratic Equations, Chapter Notes, Class 11, Maths(IIT) satisfy the inequality

(a + b + c)(4a - 2b + c) < 0. Prove that this equation has 2 distinct real solutions.

 

Sol.

Quadratic Equations, Chapter Notes, Class 11, Maths(IIT)

 

Ex.52 Find the value of k for which one root of the equation of x2 - (k + 1)x + k2 + k-8=0 exceed 2 and other is smaller than 2.

 

Sol.

Quadratic Equations, Chapter Notes, Class 11, Maths(IIT)

 

Ex.53

Quadratic Equations, Chapter Notes, Class 11, Maths(IIT)

 
Quadratic Equations, Chapter Notes, Class 11, Maths(IIT)

 

Ex.54 (a) For what values of `a' exactly one root of the equation 2ax2 - 4ax + 2a - 1 = 0, lies between a and 2.

(b) Find all values of a for which the equation 2x2 - 2(2a + 1) x + a(a + 1) = 0 has two roots, one of which is greater than a and the other is smaller than a.

 

Sol.

Quadratic Equations, Chapter Notes, Class 11, Maths(IIT)

Quadratic Equations, Chapter Notes, Class 11, Maths(IIT)

 

Ex.55 Find all values of k for which the inequality, 2 x2 - 4 k2 x - k2 + 1 > 0 is valid for all real x which do not exceed unity in the absolute value .

 

Sol.

Quadratic Equations, Chapter Notes, Class 11, Maths(IIT)

 

The document Quadratic Equations, Chapter Notes, Class 11, Maths(IIT) is a part of Class 11 category.
All you need of Class 11 at this link: Class 11

FAQs on Quadratic Equations, Chapter Notes, Class 11, Maths(IIT)

1. What are quadratic equations?
Ans. Quadratic equations are algebraic expressions of the second degree, i.e., it contains one or more variables raised to the power of 2. In the standard form of a quadratic equation, ax² + bx + c = 0, where a, b, and c are constants and x is an unknown variable.
2. What is the quadratic formula?
Ans. The quadratic formula is a formula used to solve quadratic equations. It is given by x = (-b ± √(b²-4ac))/2a, where a, b, and c are constants in the quadratic equation ax² + bx + c = 0, and x is the solution to the equation.
3. How do you solve quadratic equations by factoring?
Ans. To solve quadratic equations by factoring, follow these steps: 1. Write the quadratic equation in standard form, ax² + bx + c = 0. 2. Factor the quadratic expression. 3. Set each factor equal to zero and solve for x. 4. Check your solutions by substituting them back into the original equation.
4. What is the discriminant of a quadratic equation?
Ans. The discriminant of a quadratic equation is the expression inside the square root in the quadratic formula. It is given by b² - 4ac. The discriminant is used to determine the nature of the roots of the quadratic equation. If the discriminant is positive, the equation has two distinct real roots. If the discriminant is zero, the equation has one real root. If the discriminant is negative, the equation has two complex roots.
5. What are the applications of quadratic equations?
Ans. Quadratic equations have various applications in real life, such as in physics, engineering, and economics. Some examples include calculating the trajectory of a projectile, designing bridges and buildings, and modeling profit and loss in business. They are also used in computer graphics to create parabolic curves and in game development to simulate gravity and motion.
Download as PDF

Top Courses for Class 11

Related Searches

Maths(IIT)

,

video lectures

,

study material

,

pdf

,

Maths(IIT)

,

practice quizzes

,

Extra Questions

,

past year papers

,

Maths(IIT)

,

shortcuts and tricks

,

Quadratic Equations

,

Class 11

,

Class 11

,

Semester Notes

,

Previous Year Questions with Solutions

,

Class 11

,

Quadratic Equations

,

Important questions

,

Exam

,

mock tests for examination

,

Sample Paper

,

Free

,

Quadratic Equations

,

ppt

,

Chapter Notes

,

Summary

,

MCQs

,

Viva Questions

,

Chapter Notes

,

Chapter Notes

,

Objective type Questions

;