Binomial Theorem
A. Binomial Theorem
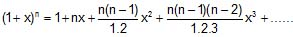
The formula by which any positive integral power of a binomial expression can be expanded in the form of a series is known as Binomial Theorem. If
then

This theorem can be proved by induction.
Observations :
(a) The number of terms in the expansion is (n + 1) i.e. one more than the index.
(b) The sum of the indices of x & y in each term is n.
(c) The binomial coefficients of the terms (nC0, nC1.........) equidistant from the beginning and the end are equal.

Sol. The numerator is of the form a3 + b3 + 3ab (a + b) = (a + b)3 where a = 18, and b = 7
Nr = (18 + 7)3 = (25)3. Denominator can be written as

B. IMPORTANT TERMS IN THE BINOMIAL EXPANSION ARE
(a) General term : The general term or the (r + 1)th term in the expansion of (x + y)n is given by
Tr+1 = nCrxn-r. yr
Ex.2 Find : (a) The coefficient of x7 in the expansion of
(b) The coefficient of x-7 in the expansion of
Also, find the relation between a and b, so that these coefficients are equal.
Sol.
(a) In the expansion of the general terms is
putting 22 – 3r = 7 ⇒ 3r = 15 ⇒ r = 5
Hence the coefficient of
(b) In the expansion of , general terms is
putting 11 – 3r = – 7 ⇒ 3r = 18 ⇒ r = 6
Hence the coefficient of
Also given coefficient of = coefficient of
⇒ ab = 1 ( ∴ 11C5 = 11C6). Which is a required relation between a and b.

Ex.3 Find the number of rational terms in the expansion of (91/4 + 81/6)1000.
Sol.


The possible set of values of r is {0, 2, 4, ..........1000}. Hence, number of rational terms is 501
(b) Middle term : The middle term(s) in the expansion of (x + y)n is (are)
(i) If n is even, there is only one middle term which is given by T(n + 2)/2 = nCn/2. xn/2. yn/2
(ii) If n is odd, there are two middle terms which are &
Ex.4 
Sol.

(c) Term independent of x : Term independent of x contains no x ; Hence find the value of r for which the exponent of x is zero.
Ex.5 The term independent of x in
is
Sol.

(d) Numerically greatest term : To find the greatest term in the expansion of (x + a)n.


Ex.6 Find numerically the greatest term in the expansion of (3 -5x)11 when x = 1/5
Sol.

From above we say that the value of both greatest terms are equal.
C.
Ex.7

Sol.

==================================================================
D. Some Results on Binomial Coefficients
(a) C0 + C1 + C2 + ............+ Cn = 2n
(b) C0 + C2 + C4 + ............= C1 + C3 + C5 + .......... = 2n -1


Remember : (2n) ! = 2n. n! [1.3.5........(2n -1)]
Ex.8 If (1 + x)n = C0 + C1x + C2x2 +.................+ Cnxn then show that the sum of the products of the

Sol.

Ex.9 
Sol.

E. Binomial theorem for negative or fractional indices

Note :
(i) When the index n is a positive integer the number of terms in the expansion of (1 + x)n is finite i.e. (n + 1) & the coefficient of successive terms are : nC0, nC1, nC2, .........., nCn
(ii) When the index is other than a positive integer such as negative integer or fraction, the number of terms in the expansion of (1 + x)n is infinite and the symbol nCr cannot be used to denote the coefficient of the general term.

(iv) The expansions in ascending powers of x are only valid if x is 'small'. If x is large i.e. |x| > 1 then we may find it convenient to expand in powers of 1/x, which then will be small.
=======================================================================
F. Approximations
If x < 1, the terms of the above expansion go on decreasing and if x be very small, a stage may be reached when we may neglect the terms containing higher powers of x in the expansion. Thus, if x be so small that its squares and higher powers may be neglected then (1 + x)n = 1 + nx, approximately,
This is an approximate value of (1 + x)n
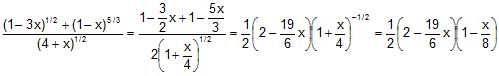
Ex.10 If x is so small such that its square and higher powers may be neglected then find the approximate value of
Sol.

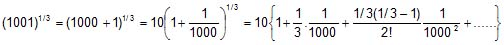
Ex.11 The value of cube root of 1001 upto five decimal places is
Sol.
= 10 {1 + 0.0003333 -0.00000011 + ......} = 10.00333
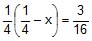
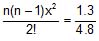
Ex.12 The sum of is
Sol. Comparing with 1 + nx + + ...... ⇒ nx = 1/4 ...(i)
& or
⇒
⇒
⇒
...(ii) {by (i)}
putting the value of x in (i) ⇒ ⇒ n =
sum of series = (1 + x)n = (1 -1/2)-1/2 = (1/2)-1/2 =
G. Exponential series
(a) e is an irrational number lying between 2.7 & 2.8. Its value correct upto 10 places of decimal is 2.7182818284.
(b) Logarithms to the base 'e' are known as the Napierian system, so named after Napier, their inventor. They are also called Natural Logarithm.
(c)
where x may be any real or complex number &
(d)
(e)
H. Logarithmic series
(a) ln (1 + x) = x - where

(b) ln (1 -x) = where

Remember :
(i)
(ii) eln x = x
(iii) ln2 = 0.693
(iv) ln 10 = 2.303
| 1. What is the Binomial Theorem? | ![]() |
| 2. How do we find the term independent of x in the expansion of (2x + 3)^5? | ![]() |
| 3. How many terms are there in the expansion of (a + b + c)^7? | ![]() |
| 4. Can the Binomial Theorem be applied to expressions with more than two terms? | ![]() |
| 5. What is the significance of the binomial coefficients in the Binomial Theorem? | ![]() |