| Table of contents | |
| Some Solved Examples on Above Concepts | |
| Comparing Two Rational Numbers | |
| Representation of Rational Numbers on the Number Line | |
| Rational Numbers between Two Rational Numbers |
In your study of numbers you began by counting objects around you. These counting numbers and their extensions form different sets that are useful for different purposes.

A number is called a rational number if it can be written in the form p/q, where p and q are integers and q ≠ 0.


Definition: A set is said to be closed under an operation if applying that operation to members of the set always yields a member of the same set. Rational numbers are closed under addition, subtraction, multiplication and division (except division by zero).

Definition: An operation is commutative if changing the order of the operands does not change the result. Addition and multiplication of rational numbers are commutative:

Try yourself: Which of the following properties is NOT true for rational numbers?
Definition: An operation is associative if the way in which operands are grouped does not affect the result. Addition and multiplication of rational numbers are associative:

Zero is the additive identity. Adding zero to any number does not change that number.

One is the multiplicative identity. Multiplying any number by 1 leaves it unchanged.
For any integer or rational number x, there exists a number -x (called the additive inverse) such that x + (-x) = 0. Examples:


The reciprocal or multiplicative inverse of a rational number
is another rational number 
For example, 
Zero has no reciprocal because there is no rational number that, when multiplied by 0, results in 1.
Zero has no reciprocal because there is no rational number that, when multiplied by 0, results in 1.
In general, if
is the reciprocal of
, then 
Same Denominator: If two rational numbers have the same denominator, simply add their numerators. The denominator remains unchanged.
Example: =1
Different Denominators: Convert the rational numbers to have a common denominator before adding. Find equivalent fractions with the same denominator, then add the numerators. Example:
Additive Inverses: Two rational numbers whose sum is zero are additive inverses of each other. Example: &
Same Denominator: If the rational numbers have the same denominator, subtract their numerators. The denominator remains the same. Example:
Different Denominators: Convert to equivalent rational numbers with a common denominator before subtracting. Subtract the numerators and keep the common denominator. Example:
Multiply the numerators together and the denominators together. Maintain the signs correctly. Example:
Reciprocals: Two rational numbers whose product is 1 are reciprocals of each other. Example: and ;
A rational number and its reciprocal will always have the same sign.
Example 1: Simplify the rational number -16/(-24).
Ans:
Step 1: Identify the common factors of both numerator and denominator. In this case, the common factors are 2, 4, and 8.
Step 2: Divide both numerator and denominator by the greatest common factor, which is 8.
(-16) ÷ 8 = - 2
(-24) ÷ 8 = - 3
So, -16/(-24) simplifies to -2/-3 =x 2/3
Example 2: Add the rational numbers 2/5 and 3/10.
Ans:
Step 1: Find the least common denominator (LCD) of both denominators. In this case, the LCD is 10.
Step 2: Convert both fractions to equivalent fractions with the LCD as the new denominator.
2/5 = 4/10 (multiply both numerator and denominator by 2)
3/10 = 3/10 (no change needed)
Step 3: Add the equivalent fractions.
4/10 + 3/10 = (4 + 3) / 10 = 7/10
So, 2/5 + 3/10 = 7/10.
Example 3: Using appropriate properties, find: -2/3 × 3/5 + 5/2 - 3/5 × 1/6.
Solution:
Rearrange terms to group common factors by commutativity:
-2/3 × 3/5 - 3/5 × 1/6 + 5/2
Factor 3/5 from the first two products:
= 3/5 (-2/3 - 1/6) + 5/2
Compute the expression in parentheses. Find common denominator 6:
-2/3 = -4/6, so -4/6 - 1/6 = -5/6
Thus 3/5 × (-5/6) + 5/2
= (3 × -5) / (5 × 6) + 5/2
= -15/30 + 5/2
Reduce -15/30 = -1/2
= -1/2 + 5/2
= (-1 + 5)/2 = 4/2 = 2
Example 4: Use appropriate properties to find: 2/5 × (-3/7) - 1/6 × 3/2 + 1/14 × 2/5.
Solution:
Rearrange terms by commutativity:
2/5 × (-3/7) + 1/14 × 2/5 - 1/6 × 3/2
Combine the first two terms which share factor 2/5:
= 2/5 × (-3/7 + 1/14) - 3/12
Compute inside parentheses with denominator 14: -3/7 = -6/14, so -6/14 + 1/14 = -5/14
Thus = 2/5 × (-5/14) - 1/4
= (2 × -5) / (5 × 14) - 1/4
= -10/70 - 1/4
Reduce -10/70 = -1/7
= -1/7 - 1/4
Find common denominator 28: (-4)/28 - 7/28 = (-11)/28
Therefore, the value is -11/28.
Example 5: Verify that -(-x) = x for:
(i) x = 11/15
(ii) x = -13/17
Solution:
(i) x = 11/15
We have, x = 11/15
The additive inverse of x is – x (as x + (-x) = 0).
Then, the additive inverse of 11/15 is – 11/15 (as 11/15 + (-11/15) = 0).
The same equality, 11/15 + (-11/15) = 0, shows that the additive inverse of -11/15 is 11/15.
Or, – (-11/15) = 11/15
i.e., -(-x) = x
(ii) -13/17
We have, x = -13/17
The additive inverse of x is – x (as x + (-x) = 0).
Then, the additive inverse of -13/17 is 13/17 (as 13/17 + (-13/17) = 0).
The same equality (-13/17 + 13/17) = 0, shows that the additive inverse of 13/17 is -13/17.
Or, – (13/17) = -13/17,
i.e., -(-x) = x
Try yourself: What is the sum of two rational numbers -3/7 and 5/7?
To compare rational numbers:
Try yourself: Which of the following rational numbers is the smallest?
Whole numbers, natural numbers and integers are represented on a number line by marking equal intervals and placing numbers accordingly. Rational numbers can also be represented on the number line: positive rationals are to the right of 0 and negative rationals are to the left of 0.

To represent a rational number p/q on the number line, divide each unit interval into q equal parts and count p such parts to the right of 0 if p is positive, or to the left if p is negative.

Between any two rational numbers there are infinitely many rational numbers; they can be found by taking averages or by finding finer equivalent fractions between them.
To find rational numbers between two given rational numbers, you can either make their denominators equal and list intermediate numerators, or repeatedly take the mean (average) of two numbers to get more numbers between them.
Example: Find three rational numbers between 1/4 and 1/2.
Ans:
Find the mean of 1/4 and 1/2.
Mean = (1/4 + 1/2) / 2
= (1/4 + 2/4) / 2
= (3/4) / 2 = 3/8
Now find the mean of 1/4 and 3/8 to get one rational number between them:
Mean = (1/4 + 3/8) / 2
= (2/8 + 3/8) / 2 = (5/8) / 2 = 5/16
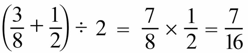
Find the mean of 3/8 and 1/2 to get another rational number between them:
Mean = (3/8 + 1/2) / 2
= (3/8 + 4/8) / 2 = (7/8) / 2 = 7/16
Hence three rational numbers between 1/4 and 1/2 are 5/16, 3/8 and 7/16.
Example: Find rational numbers between 3/5 and 3/7.
Make the denominators the same. LCM of 5 and 7 is 35.
3/5 = 21/35 and 3/7 = 15/35.
Now any fractions with denominator 35 and numerators between 15 and 21 are rational numbers between them, for example 16/35, 17/35, 18/35, 19/35, 20/35.
If desired, multiply numerator and denominator of 3/5 and 3/7 by the same integer to get equivalent fractions with larger denominators and thus obtain more rational numbers between them.
Remark: Between any two distinct rational numbers there are infinitely many rational numbers. They need not be integers.
For further practice and visual explanation you may watch the following video:
77 videos|386 docs|39 tests |
| 1. What is the need for understanding Rational Numbers in mathematics? | ![]() |
| 2. How are Rational Numbers defined and what sets them apart from other types of numbers? | ![]() |
| 3. What are some properties of Rational Numbers that make them unique? | ![]() |
| 4. How do you perform operations on Rational Numbers, such as addition, subtraction, multiplication, and division? | ![]() |
| 5. Can Rational Numbers be both positive and negative, and how do we differentiate between the two? | ![]() |
77 videos|386 docs|39 tests |
![]() | Explore Courses for Class 7 exam |