
Example 1: The annual budget for a road construction project is $25,200 budgeted equally over 12 months. If by the end of the third month the actual expenses have been $7,420, how much has the construction project gone over budget?
(a) $2150
(b) $3340
(c) $1120
(d) $980
(e) $1640
Ans: (c)
The total budget for the project is $25,200.
This budget is spread equally over 12 months, so to find out how much can be spent each month, we divide the total budget by 12:
So, $2,100 can be spent each month.
Since $2,100 is the monthly budget, the amount planned to be spent over 3 months is:
Planned Expenses for 3 months = 2,100 × 3 = 6,300
So, the planned expenses for the first 3 months should be $6,300.
The actual expenses by the end of the third month are $7,420.
To find out how much the project has gone over budget, we subtract the planned expenses from the actual expenses:
Over Budget = 7,420 − 6,300 = 1,120
The project has gone over budget by $1,120.
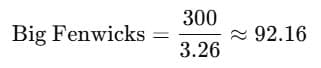
Example 2: The Duchy of Grand Fenwick uses an unusual currency system. It takes 24 tiny fenwicks to make a big fenwick.
At current exchange rates, 1 big fenwick can be exchanged for $3.26 American currency. For how much in Grand Fenwick currency can an American tourist exchange $300 (rounded to the nearest tiny fenwick)?
(a) 92 big fenwicks and 1 tiny fenwick
(b) 40 big fenwicks and 18 tiny fenwicks
(c) 108 big fenwicks and 16 tiny fenwicks
(d) 296 big fenwicks and 16 tiny fenwicks
(e) None of the above
Ans: (e)
We know that 1 big fenwick is worth $3.26.
To find out how many big fenwicks are needed to exchange $300, divide $300 by the value of 1 big fenwick:
So, the tourist can get 92 big fenwicks and a fraction of another big fenwick.
The fractional big fenwick is 0.16 big fenwicks. Since 1 big fenwick equals 24 tiny fenwicks, we multiply 0.16 by 24:
Tiny Fenwicks = 0.16 × 24 = 3.84
Rounding 3.84 to the nearest whole number gives us 4 tiny fenwicks.
The tourist will receive 92 big fenwicks and 4 tiny fenwicks.
Example 3: The ratio 3 to 1/2 is equal to the ratio:
(a) 1 to 6
(b) 3 to 2
(c) 2 to 3
(d) 6 to 1
(e) 5 to 1
Ans: (d)
The ratio 3 to 1/2 is the same as
which equals a ratio of 6 to 1.Also, if you double both sides of the ratio, you get 6 to 1.
Example 4: The ratio 4 to 1/4 is equal to which of the following ratios?
(a) 8 to 1
(b) 12 to 1
(c) 16 to 1
(d) 16 to 3
(e) 6 to 1
Ans: (c)
The ratio 4 to 1/4 is equal to
.
To simplify a fraction divided by another fraction, we multiply by the reciprocal of the second fraction. The reciprocal of 1/4 is 4. So, we multiply 4 by 4:
So, the ratio 4 to 1/4 is equal to 16. This can be written as the ratio 16 to 1.
Example 5: On a map, one and a half inches represents sixty actual miles. In terms of N, what distance in actual miles is represented by N inches on the map?
(a) 45N mi
(b)40/N mi
(c) 40N mi
(d) 90/N mi
(e) 90 N mi
Ans: (b)
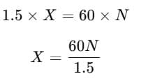
We are told that 1.5 inches on the map represents 60 actual miles. So, the ratio of map inches to actual miles is:
1.5 inches = 60 miles
We want to find the actual miles represented by N inches.
Since 1.5 inches represents 60 miles, we can set up the proportion to find the distance for N inches:
Let the actual miles be represented by X.
We now solve for X (the actual miles):
Cross-multiply to get:
= 40 N
So, the actual distance represented by N inches on the map is 40N miles.
Example 6: The Kingdom of Zenda uses an unusual currency system. It takes 16 kronkheits to make a grotnik and 12 grotniks to make a gazoo.
At current, $1 can be exchanged for 8 grotniks and 8 kronkheits. For how much American currency can a visitor from Zenda exchange a 100-gazoo bill, to the nearest cent?
(a) $ 141.18
(b) $ 85.00
(c) $ 11.76
(d) $ 70.83
(e) None of the above
Ans: (a)
We are told that 12 grotniks = 1 gazoo. Therefore, 100 gazoo = 100 × 12 = 1200 grotniks.
We also know that 1 grotnik = 16 kronkheits. Therefore, 1200 grotniks = 1200 × 16 = 19,200 kronkheits.
The total amount in Zenda currency is 1200 grotniks + 19,200 kronkheits.
The exchange rate is $1 for 8 grotniks and 8 kronkheits. This means, for 1 unit of Zenda currency (combining both grotniks and kronkheits), it’s equivalent to $1.
The total number of units of Zenda currency is 1200 grotniks + 19,200 kronkheits = 1200 + 19,200 = 20,400 units. Since 8 grotniks and 8 kronkheits = $1, we can now calculate the total amount in dollars:
So, the visitor from Zenda can exchange $141.18 for a 100-gazoo bill.
Example 7: A box contains red and blue marbles. The probablity of picking a red is 1/3. There are 30 blue marbles. How many total marbles are there?
(a) 45
(b) 50
(c) 40
(d) 60
(e) 90
Ans: (a)
We know the probability of picking a red marble is 1/3, meaning that for every 3 marbles, 1 marble is red. The number of blue marbles is given as 30.
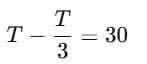
Let the total number of marbles be T. Since the probability of picking a red marble is 1/3, the number of red marbles is T/3.
We know that the total number of marbles is the sum of the red marbles and the blue marbles:
This equation says the total number of marbles is equal to the number of red marbles (which is T/3) plus the 30 blue marbles.
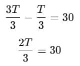
To solve for T, first subtract T/3 from both sides:
Now, simplify the left side by getting a common denominator:
Multiply both sides by 3 to eliminate the denominator:
2T = 90
Now divide both sides by 2:
T = 45
Example 8: In a certain classroom all of the students are either sophomores or juniors. The number of boys and girls in the classroom are equal. Of the girls 3/7 are sophomores, and there are 24 junior boys. If the number of junior boys in the classroom are in the same proportion to the total amount of boys as the number of sophomore girls are to the total number of girls, how many students are in the classroom?
(a) 96
(b) 72
(c) 56
(d) 168
(e) 112
Ans: (e)
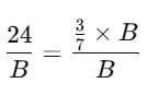
Let the total number of boys in the classroom be B. Since the number of boys and girls are equal, the total number of girls in the classroom is also B. The total number of students in the classroom is 2B.
Of the girls, 3/7 are sophomores, which means 4/7 of the girls are juniors. Therefore, the number of sophomore girls is:
The number of junior girls is:
We are told that there are 24 junior boys. The ratio of junior boys to total boys is the same as the ratio of sophomore girls to total girls. Therefore, we can set up the proportion:
Since the total number of students is 2B, the total number of students is:
2 × 56 = 112
The total number of students in the classroom is 112.
Example 9: Nishita has necklaces, bracelets, and rings in a ratio of 7:5:4. If she has 64 jewelry items total, how many bracelets does she have?
(a) 16
(b) 20
(c) 5
(d) 28
(e) 32
Ans: (b)
The ratio of necklaces, bracelets, and rings is given as 7:5:4. This means for every 7 necklaces, there are 5 bracelets and 4 rings.
The total parts in the ratio are:So, there are 16 parts in total, and these 16 parts represent the 64 jewelry items.
To find out how many items one part represents, divide the total number of jewelry items (64) by the total number of parts (16):
So, each part represents 4 jewelry items.
The number of bracelets corresponds to 5 parts in the ratio. Therefore, the number of bracelets is:
Nishita has 20 bracelets.
Example 10: Five different pizza places offer five different specials. Assuming that all of these pizzas are of the same thickness and that all are of the same quality, which of the following is the best buy?
(a) A round pizza 10 inches in diameter for $5.99
(b) A round pizza 12 inches in diameter for $8.99
(c) A 12 inch by 8 inch rectangular pizza for $9.99
(d) A 9 inch by 9 inch square pizza for $6.99
(e) A 10 inch by 10 inch square pizza for $7.99
Ans: (a)
Since all the pizzas are of the same thickness, we can compare the area of each pizza to determine the best buy. The pizza with the most area for the least cost will be the best buy.
The formula for the area of a round pizza is:
Area = π×r2
where r is the radius (half of the diameter).
(a) A round pizza 10 inches in diameter for $5.99
The radius is 10 / 2 = 5 inches.
Area = π × 52 = π × 25 ≈ 78.54 square inches
(b) A round pizza 12 inches in diameter for $8.99
The radius is 12 / 2 = 6 inches.
Area = π × 62 = π × 36 ≈ 113.10 square inches
The formula for the area of a rectangle is:
Area = length × width
(c) A 12 inch by 8 inch rectangular pizza for $9.99
Area = 12 × 8 = 96 square inches
(d) A 9 inch by 9 inch square pizza for $6.99
Area = 9 × 9 = 81 square inches
(e) A 10 inch by 10 inch square pizza for $7.99
Area = 10 × 10 = 100 square inches
Now, we calculate the cost per square inch for each pizza by dividing the price by the area:
The pizza that offers the most area for the least cost is the 10-inch round pizza for $5.99, with the lowest cost per square inch at approximately 0.076 dollars per square inch.
Example 11: If the ratio of the ages of two friends A and B is 3 : 5 and that of B and C is 3 : 5 and the sum of the ages of all 3 friends is 147, how old is B?
(a) 15 years
(b) 75 years
(c) 49 years
(d) 45 years
(e) 27 years
Ans: (d)
We are given the following information:
- The ratio of the ages of A and B is 3:5.
- The ratio of the ages of B and C is 3:5.
- The sum of the ages of A, B, and C is 147.
Let the ages of A, B, and C be in terms of a common variable x.
Since the ratio of A's age to B's age is 3:5, let:
- A's age = 3x
- B's age = 5x
Since the ratio of B's age to C's age is also 3:5, let:
- B's age = 3y (but we already know B's age is 5x, so 3y = 5x)
- C's age = 5y
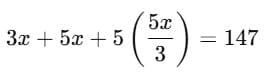
The total sum of the ages of A, B, and C is 147, so:
A’s age + B’s age + C’s age = 147
Substituting the expressions for the ages:
3x + 5x + 5y = 147
From 3y = 5x, we can solve for y:
Substitute y = 5x/3 into the sum equation:
⇒
Multiply through by 3 to eliminate the fraction:
24x + 25x = 441
Combine like terms:
49x = 441
Solve for x:
Since B's age = 5x, substitute x = 9:
B′s age = 5×9 = 45
B is 45 years old.
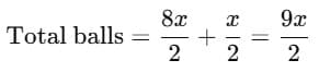
Example 12: A box contains x red balls, thrice as many green balls and, half as many blue balls as there are red balls. If the box contains no other balls, which of the following could be the number of balls in the box?
(a) 22
(b) 44
(c) 54
(d) 33
(e) 24
Ans: (c)
The number of red balls is x.
The number of green balls is 3x (thrice as many as the red balls).
The number of blue balls is x/2 (half as many as the red balls).The total number of balls in the box is the sum of the red, green, and blue balls:
To combine the terms, convert 4x into a fraction with denominator 2:
For the total number of balls to be an integer, x must be an even number because 9x/2 needs to be a whole number. So, x must be even.
Now, let's check the given options to see which one gives an integer value for the total number of balls.
(a) 22
If x = 22, the total number of balls is:
So, the total number of balls is 99, which is not 22.
(b) 44
If x = 44, the total number of balls is:
So, the total number of balls is 198, which is not 44.
(c) 54
If x = 54, the total number of balls is:
So, the total number of balls is 243, which is not 54.
(d) 33
If x = 33, the total number of balls is:
Since 148.5 is not an integer, 33 is not the answer.
(e) 24
If x = 24, the total number of balls is:
So, the total number of balls is 108, which is an integer and matches the correct condition.
The correct number of balls in the box is 108, which is a possible total when x = 24.
Example 13: If a, b, and c are numbers such that (a + b) : (b + c) : (c + a) is 15 : 11 : 12, then
(a) Quantity A is greater
(b) Quantity B is greater
(c) The two quantities are equal
(d) Cannot be determined
Ans: (d)
Given Data
(a + b) : (b + c) : (c + a) = 15 : 11 : 12
To compare a and c, it is sufficient if we compare the first two components of this ratio.
(a + b) : (c + b) = 15 : 11
Since b is a constant present in both the components, we can find the greater of the two terms, a and c, by equating the above ratio.
However, the caveat is that the ratio a + b : c + b is 15 : 11. Either both a and c are positive or are negative.
Case 1: Both a and c are positive
Let the value of (a + b) be 15x, and (c + b) be 11x.
If x is positive it is evident that 15x > 11x.
∴ (a + b) > (c + b)
Based on Case 1, we can deduce that a > c.
Case 2: Both a and c are negative
Let the value of (a + b) be 15x, and (c + b) be 11x.
If x is negative it is evident that 15x < 11x.
∴ (a + b) < (c + b)
Based on Case 2, we can deduce that a < c.
Because both possibilities exist, we are not able to deduce which of the two quantities a or c is greater based on the information given in the question. The key to getting the answer right is to remember that 15: 11 need not always result in the two quantities being positive.
193 videos|174 docs|152 tests |
| 1. What is the difference between ratio and proportion? | ![]() |
| 2. How do you simplify ratios? | ![]() |
| 3. How can ratios be used in real life? | ![]() |
| 4. What is the rule for solving proportions? | ![]() |
| 5. Can ratios and proportions be used in geometry? | ![]() |