| Table of contents | |
| How to Solve Linear Equations in Two Variables | |
| Equations with Three Variables | |
| Solved Examples |
A linear equation is an equation that gives straight line when plotted on a graph.

Try yourself: What is the general form of a linear equation in two variables?
Linear equations in two variables are equations with a unique solution, no solutions, or infinitely many solutions. They can be present in different forms:

1. Standard Form of Linear Equations in Two Variables
2. Intercept Form of Linear Equations in Two Variables
3. Point Slope Form of Linear Equations in Two Variables
Let us consider two linear equations in two variables,
a1x + b1y + c1 = 0
a2x + b2y + c2 = 0
These two equations are said to form a system of simultaneous linear equations or simply a pair of linear equations.
Example: x + y − 3 = 0
2x − 5y + 1 = 0
Is a pair or a system of two simultaneous linear equations in two variables x and y.
Sol: A solution to a pair of linear equations in two variables is an ordered pair of numbers that satisfy both equations.
For the above example, x = 2, y = 1 is a solution to the pair of linear equations. We can verify this by substituting x = 2, y = 1 into each of these two equations.
The graphical representation of a pair of linear equations in two variables is always given by two straight lines which are intersecting lines or parallel lines or coincident lines.

The various methods to solve linear equations in two variables are given below:
The procedure of Substitution Method to Solve Linear Equations in Two Variables is as follows:
Step 1. Solve one of the given equations to get the value of one of the variables in terms of the other, whichever is convenient.
Step 2. Substitute the value of the variable so obtained in the other equation.
Step 3. Solve the resulting single variable equation. Now substitute this value into either of the two original equations and solve it to find the value of the second variable.
Example 1. Solve the following system of linear equations:
4x-3y = 8
x-2y = -3
Sol: The given equations are
4x-3y=8 ……….(i)
x-2y= -3 ……….(ii)
We can solve either equation for either variable. But to avoid fractions, we solve the second equation for x,
x = 2y - 3 ……….(iii)
Substituting this value of x in equation (i), we get
4(2y-3)-3y=8
8y-12-3y=8
5y=20
y=4.
Substituting this value of y in (ii), we get
x-24= -3
x-8= -3
x=5.
Hence, the solution is x = 5, y = 4.
Example 2. Solve the following system of linear equations:
8x+5y=9
3x+2y=4.
Sol: The given equations are
8x+5y=9 ……….(i)
3x+2y=4 ……….(ii)
From equation (ii), we get
2y = 4−3x
Substituting this value of y in (i), we get
Substituting this value of x in equation (ii), we get
3(-2) + 2y = 4
2y = 10
y = 5.
Hence, the solution is x = -2, y = 5.
This method uses the elimination of any one variable. This method is usually more convenient than the substitution method. An easy method to solve equations using elimination method is that if the coefficient of either x or y is 1 in any one of the equations, then multiply both sides of that equation by the coefficient of the same variable in the second equation. Further, add or subtract (according to the sign) to eliminate that variable.
Procedure of Elimination Method to Solve Linear Equations in Two Variables:
Step 1. Multiply one or both equations (if necessary) by a suitable number(s) in a way that addition or subtraction will eliminate one variable.
Step 2. Solve the resulting single variable equation to find the value of this variable. Now substitute this value into either of the two original equations and solve it to find the value of the variable that was earlier eliminated.
Procedure of Cross-Multiplication Method to Solve Linear Equations in Two Variables:
Let the system of simultaneous linear equations be
a1x + b1y + c1=0
a2x + b2y + c2 = 0
To solve this system of linear equations by cross-multiplication method, the solution is given by
The next method to solve linear equations in two variables is the graphical approach. To decode two linear equations in two variables graphically we will follow the below steps:
It is not always possible that both the lines will intersect one another, they can even be parallel or coincide with each other. In such a case we can follow the below conclusions:
Under this method, we will learn to determine the solution for a system of linear equations in two variables. The steps are as follows:
Step 1: Consider the questions as: a1x + b1y = c1 and a2x + b2y = c2
Step 2: We would first locate the determinant developed by the coefficients of x and y and mark it as Δ.
Step 3: Next we will obtain the determinant Δx which is the determinant calculated by replacing the first column of Δ with the constant terms in the equation.
Step 4: Similarly we will determine the determinant Δy which is calculated by replacing the second column of Δ with the constant terms in the equation.
Step 5: Lastly the solution for the provided system of linear equations is received by the formulas:
Try yourself: What is the solution to the system of linear equations x + y = 5 and 2x - 3y = 7?

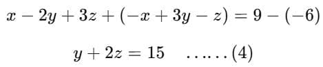
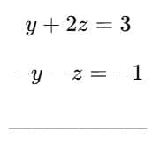
Step 1. Take any two equations out of the given three equations, and solve them for one variable.
Again, take two equations and solve it for the same variable as above.
Now solve the two equation so form. and find their value, and put the value in any of the three equation.
For example,

Step 2. Add equations (1) and (2) to eliminate x

Step 3. Solve, equations 1 and 3 by multiplying equation (1) with -2 and adding to equation (3)

Step 4. Solve for equations 4 and 5

z= 2, x= 1, y= -1
Therefore, the solution for the given three equations is (1, -1, 2)
Hence, in this way, we can solve linear equations in three variables.
Q1: For some real numbers a and b, the system of equations
has infinitely many solutions for x and y. Then, the maximum possible value of ab is:(a) 33
(b) 25
(c) 15
(d) 55
Ans: (a)
Sol: It is given that for some real numbers a and b, the system of equations 
8b has infinitely many solutions for x and y.
Hence, we can say that 
This equation can be used to find the value of a, and b.
Firstly, we will determine the value of b.

Hence, the values of b are 5, and -3, respectively.
The value of a can be expressed in terms of b, which is

The correct option is A.
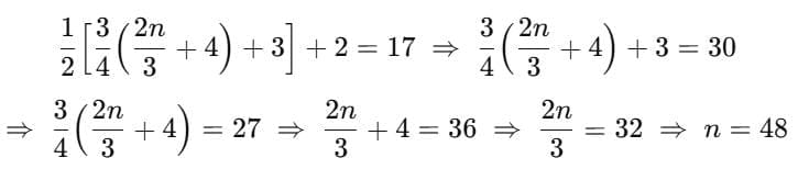
Q2: Three friends, returning from a movie, stopped to eat at a restaurant. After dinner, they paid their bill and noticed a bowl of mints at the front counter. Sita took one-third of the mints, but returned four because she had a momentary pang of guilt. Fatima then took one-fourth of what was left but returned three for a similar reason. Eswari then took half of the remainder but threw two back into the bowl. The bowl had only 17 mints left when the raid was over. How many mints were originally in the bowl?
(a) 38
(b) 31
(c) 41
(d) None of these
Answer (D)
Solution:
After Sita: she takes
and puts back 4.
Remaining = 
After Fatima: she takes
and puts back 3.
Remaining = 
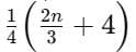
After Eswari: she takes of what remains and puts back .
Final remaining = 
Now solve: 
Q3: In 2010, a library contained a total of 11500 books in two categories – fiction and nonfiction. In 2015, the library contained a total of 12760 books in these two categories. During this period, there was 10% increase in the fiction category while there was 12% increase in the non-fiction category. How many fiction books were in the library in 2015?
(a) 6160
(b) 6600
(c) 6000
(d) 5500
Answer (B)
Solution:
Let the number of fiction and non-fiction books in 2010 = 100a, 100b, respectively
It is given that the total number of books in 2010 = 11500
100a + 100b = 11500 ——-Eq 1
The number of fiction and non-fiction books in 2015 = 110a, 112b, respectively
110a + 112b = 12760 ——-Eq 2
On solving both the equations, we get b = 55, a = 60
The number of fiction books in 2015 = 110*60=6600
142 videos|286 docs|88 tests |
| 1. What is a linear equation and how is it defined? | ![]() |
| 2. How can I represent a system of simultaneous linear equations in two variables? | ![]() |
| 3. What are the possible nature of solutions for linear equations in two variables? | ![]() |
| 4. What methods can I use to solve linear equations in two variables? | ![]() |
| 5. How do equations with three variables differ from those with two variables? | ![]() |