Screwed Joints

SCREWED JOINTS

  • A screw made by cutting a single helical groove on the cylinder is known as single threaded screw and if a second threaded is cut in the space between the grooves of the first a double threaded screw is formed. The helical grooves may be cut either right hand or left hand.
     
  • Advantages of screwed Joints 
    • Screwed joints are highly reliable in operation. 
    • Screwed joints are convenient to assemble and disassemble 
    • Screws are relatively cheap to produce to standardisation and highly efficient manufacturing processes. 
    • The main disadvantage of the screwed joints is the stress concentration in the threaded portion which are vulnerable points under variable load conditions. 
    • The strength of the screwed joints is not comparable with that of riveted or welded joints.

Screwed Joints

  • Terminology 
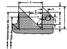
    • Major diameter. It is the largest diameter of an external or internal screw thread.
      The screw is specified by this diameter. It is also known as outside or nominal diameter. 
    • Pitch diameter. It is the diameter of imaginary cylinder, on cylindrical screw thread the surface of which would pass through the thread at such points as to make equal the width of the thread and the width of spaces between the threads. It is also called an effective diameter. 
    • Pitch = Screwed Joints
    • Pitch. It is the distance from a point on one thread to the corresponding point on the next. This is measured in an axial direction between corresponding points in the same axial plane.
    • Lead. It is the distance between two corresponding points on the same helix. It may also be defined as the distance which a screw thread advances axially in one rotation of the nut. Lead is equal to the pitch in case of single start threads, it is twice the pitch in double start and so on. (l = np).
       
  • Forms of screw threads 
    • British standard whit worth (B.S.W.) threads. It is a symmetrical V-thread in which the angle between the flanks, measured in axial plane, is 55°. These threads are found on bolts and screwed fastenings for special purposes. The B.S.W. with fine pitches are used where great strength at the root is required, these threads are also used for fine adjustments and where the connected parts are subjected to increased vibrations as in aero and automobile work.

Screwed Joints

  • British Association threads-(B.A.). This is a B.S.W. thread with fine pitches. These threads are used on screws for precision work.

Screwed Joints

  • American national standard thread. This thread has flat crests and roots. The flat crests can withstand more rough usage than sharp V-threads. These threads are used for general purposes e.g. on bolts, nuts, screws and tapped holes.

Screwed Joints

  •  Unified standard thread has rounded crests and roots with an included angle of 60°. 
     
  • Square thread. The square threads, because of their high efficiency, are widely used for transmission of power in either direction, such type of threads are usually found on the feed mechanism of machine tools, valves, spindles etc. The square threads are not so strong as V-threads but they offer less frictional resistance to motion than whithworth threads. The pitch of the square thread is often taken twice that of B.S.W. thread of the same diameter.

Screwed Joints

  • Acme thread. It is a modification of square thread. It is much stronger than square thread and can be easily produced. When used in conjunction with a split nut, as on the lead screw of a lathe, the tapered sides of the thread facilitate engagement and disengagement of the halves of the nut when required.

Screwed Joints

  • Knuckle thread. It has rounded top and bottom. It can be cast or rolled easily and can not economically be made on a machine. These threads are used for rough and ready work. They are usually found on railway carriage couplings necks of glass bottles and large moulded insulators used in electrical trade

Screwed Joints

  • Buttress thread. It is used for transmission of power only in one direction. The force is transmitted almost parallel to the axis. This thread has advantage of both square and V-threads. It has low frictional resistance characteristic of the square thread and have the same strength as V-threads. The spindle of bench vices are usually provided with buttress threads.

Screwed Joints

  • Metric thread. It is an Indian standard thread and is similar to B.S.W. It has an included angle of 60° instead of 55°.
     
  • Location of Screwed Joints
    • Fastenings should be located in such a way so that they will be subjected to tensile and/or shear loads and bending of the fastening should be reduced to a minimum.
      The bending of the fastening due to misalignment, tightening up loads, or external loads are responsible for many failures. In order to relive fastenings of bending stresses, the use of clearance spaces, spherical seat washers, or other devices may be used.
       
  • Common types of screw fastenings 
    • Through bolts. It is a cylindrical bar with threads for the nut at one end and head at the other end. The cylindrical part of the bolt is known as shank. The through bolts may or may not have machined finish and are made with either hexagonal or square heads. A through bolt should pass easily in the holes, when put under tension by a load along its axis. If the load acts perpendicular to the axis, tending to slide one of the connected parts along the other end thus subjecting it to shear.

Screwed Joints

  • Tap bolts. It is screwed into a tapped hole of one of the parts to be fastened without nut. 
  • Studs. A stud is a round bar threaded at both ends. One end of the stud is screwed into a tapped hole of the parts to be fastened, while the other end receives a nut on it. Studs are chiefly used instead of tap bolts. This is due to the fact that when tap bolts are unscrewed or replaced, they have a tendency to break the threads in the hole. This disadvantage is overcome by use of studs.

Screwed Joints

  • Cap screws. The cap screws are similar to tap bolts except that they are of small size and a variety of shapes of heads are available. 
  • Machine screws : They are similar to cap screws with the head slotted for a screw driver. These are generally used with a nut. 
  • Set screw. These are used to prevent relative motion between the two parts. A set screw is screw is screwed through a threaded hole in one part so that its point presses against friction between the point of the screw and one of the parts. They may be used instead of key or in connection with a key, where they prevent relative axial motion of the shaft, key and hub assembly.

Screwed Joints

 

  • Locking Devices
    In order to prevent, the loosening of fastening a large number of locking devices are available : 
    • Jam nut or lock nut. It has about one-half to two-third thickness of the standard nut. The thin lock nuts is first tightened down with ordinary force and then the upper nut is tightened down upon it. The upper nut is then held tightly while the lower one is slackened back against it. In slackening back the lock nut, a thin spanner is required which is difficult to find in many shops. Therefore to overcome this difficulty a thin nut is placed on the top. If the nuts are really tightened down as they should be, the upper nut carries a greater tensile load than the bottom one. In order to overcome both the difficulties both the nuts are made of the same thickness

Screwed Joints
Screwed Joints

  • Castle nut. It consists of a hexagonal portion with a cylindrical upper part which is slotted in line with the centre of each face. The split pin passes through two slots in the nut and a hole in the bolt, So that a positive lock is obtained unless the pin shears. It is considerably used on jobs subjected to sudden shocks and considerable vibration such as in automobile industry.

Screwed Joints

  • Sawn nut. It has a slot sawed about half way. After the nut is screwed down the small screw is tightened which produces more friction between the nut and the bolt.
    This prevents the loosening of nut.

Screwed Joints

  • Penn, ring or grooved nut : It has upper portion hexagonal and a lower part cylindrical. 
    It is largely used where bolts pass through connected pieces reasonably near their edges such as in marine type connecting rod ends.

Screwed Joints

  • Locking with Pin. The nuts may be locked by means of a taper pin or cotter pin passing through the middle of the nut.

Screwed Joints

  • Spring lock washer. As the nut tightens the washer against the piece below, one edge of the washer is caused to dig itself into that pieces, thus increasing the resistance so that the nut will not loosen so easily.

Screwed Joints

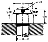
  • Designation of Screw threads 
    • Size designation. The size of the screw thread is designated by the letter 'M' followed by diameter and pitch, the two being separated by the sign ×. When there is no indication of the pitch it, shall mean that a coarse pitch is implied. 
    • Tolerance designation. This shall include
      • A figure designating tolerance grade as indicated below : '7' for fine grade, '8' for normal grade, and '9' for coarse grade.
      • A letter designating the tolerance position as indicated below : 'H' for unit thread 'd' for bolt thread with allowance and 'h' for bolt threadwithout allowance. 
    • For example, A bold thread of 6 mm size of coarse pitch and with allowance on the threads and normal tolerance grade is designated as M6-8d.
       
  • Initial stresses due to screwing up forces  
    • Tensile stress due to stretching of bolt : Bolts are designed on the basis of direct tensile stress with a large factor of safety in order to account for the indeterminates stresses.
      The initial tension in a bolt, Pi = 2840d Newton
      d ® Nominal diameter of bolt, in mm.
      
  • If the bolt is not initially stressed, then the maximum safe axial load which may be applied to it, is given by
    P = Permissible stress × Cross-sectional area at bottom of the thread (stress area).

Screwed Joints

where, dp = pitch diameter
dc = core or minor diameter 

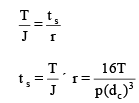
  • Torsional shear stress caused by the frictional resistance of the threads during its tightening :

Screwed Joints

where, ts = Torsional shear stress
T = Torque applied
dc = minor or core diameter of the thread. 

  • Shear stress across the thread : The average shear stress across the screw thread

Screwed Joints

where, b = width of the thread section at the root.
The average thread shearing stress for nut is

Screwed Joints

d - major diameter 

  • Compression or crushing stress on thread

Screwed Joints

n = number of threads in engagement

The document Screwed Joints is a part of the Mechanical Engineering Course Mechanical Engineering SSC JE (Technical).
All you need of Mechanical Engineering at this link: Mechanical Engineering

FAQs on Screwed Joints

1. What is a screwed joint in mechanical engineering?
A screwed joint is a type of fastening method used in mechanical engineering to join two or more components together. It involves the use of screws or bolts that are inserted into pre-drilled holes and tightened with a tool, such as a wrench or screwdriver. The threads on the screws or bolts create a secure connection by gripping the material and applying compressive forces.
2. What are the advantages of using screwed joints in mechanical engineering?
There are several advantages of using screwed joints in mechanical engineering: - Easy assembly and disassembly: Screwed joints allow for easy installation and removal of components, making maintenance and repairs more convenient. - Adjustable tightness: The tightness of a screwed joint can be adjusted by applying more or less torque to the screws or bolts, allowing for flexibility in joining different materials or accommodating varying loads. - Durable and reliable: When properly designed and tightened, screwed joints provide a strong and stable connection that can withstand high loads and vibrations. - Cost-effective: Screwed joints are generally more cost-effective compared to other fastening methods like welding or adhesive bonding. - Reusability: Unlike some other fastening methods, screwed joints can be easily disassembled and reassembled multiple times without losing their effectiveness.
3. What factors should be considered when selecting screws or bolts for screwed joints?
When selecting screws or bolts for screwed joints, several factors need to be considered: - Material compatibility: The screws or bolts should be made of a material that is compatible with the materials being joined. For example, stainless steel screws are often used for joining metal components to prevent corrosion. - Strength requirements: The screws or bolts should have sufficient strength to withstand the anticipated loads and forces without failure. This involves considering factors such as the material's yield strength and the design's safety factor. - Size and length: The size and length of the screws or bolts should be appropriate for the application to ensure proper engagement and clamping force. - Thread type: Different thread types, such as coarse or fine threads, may be suitable for different applications. The selection depends on factors like the material being joined, the required tightness, and the anticipated loads. - Environmental conditions: Environmental factors, such as temperature, humidity, or exposure to chemicals, may influence the choice of screws or bolts. Special coatings or materials may be necessary to ensure long-term durability.
4. How can screwed joints be tightened properly?
Proper tightening of screwed joints is crucial to ensure their effectiveness and prevent failure. Here are some guidelines for proper tightening: - Use a calibrated torque wrench: A calibrated torque wrench should be used to apply the correct amount of torque. This helps prevent overtightening, which can damage the components, or undertightening, which can result in a loose joint. - Follow manufacturer's guidelines: Manufacturers often provide specific torque values for their screws or bolts. These values should be followed to achieve the desired tightness. - Consider preload and clamping force: The desired tightness should be determined based on the required preload and clamping force. Preload refers to the initial tension applied to the screws or bolts, while clamping force is the force that holds the components together. - Use a tightening sequence: If multiple screws or bolts are used in a joint, they should be tightened in a specific sequence to distribute the load evenly. This prevents uneven stress distribution and potential joint failure. - Retighten if necessary: In some cases, screwed joints may experience relaxation or loss of tightness over time. It is important to periodically check and retighten the screws or bolts if needed.
5. What are some common issues or failures associated with screwed joints?
Some common issues or failures associated with screwed joints include: - Overtightening or undertightening: Improper tightening can lead to joint failure. Overtightening can cause the screws or bolts to strip or break, while undertightening can result in a loose joint that may eventually come apart. - Thread galling: Thread galling occurs when the mating threads seize or lock together due to excessive friction. This can make disassembly difficult and may damage the threads. - Fatigue failure: Repeated loading and unloading of a screwed joint can lead to fatigue failure, where cracks or fractures develop over time. This is particularly common in joints subjected to cyclic or dynamic loads. - Corrosion: If the screws or bolts and the joined materials are not compatible, corrosion can occur, weakening the joint. This is especially important to consider when joining dissimilar metals. - Vibration loosening: Vibrations can cause the screws or bolts to gradually loosen over time. The use of locking mechanisms, such as lock washers or thread-locking compounds, can help prevent this issue.
Explore Courses for Mechanical Engineering exam
Get EduRev Notes directly in your Google search
Related Searches
Viva Questions, Semester Notes, ppt, Objective type Questions, pdf , Free, Screwed Joints, shortcuts and tricks, Exam, Screwed Joints, MCQs, study material, Important questions, video lectures, Screwed Joints, Summary, Extra Questions, past year papers, Previous Year Questions with Solutions, Sample Paper, practice quizzes, mock tests for examination;