Fluid Statics

Pascal's Law and Basic Concepts

  • Pascal's Law: The intensity of pressure at a point in a stationary (static) fluid is the same in all directions.
    px = py = pz
    In static fluids pressure varies only with depth; in moving fluids pressure may also vary in horizontal directions.
  • Pressure is force per unit area and is expressed in SI as Pascal (N/m2) or in engineering practice often in bar.
    1 bar = 105 N/m2
    1 MPa = 10 bar
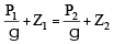
  • Piezometric head: For static fluids the piezometric head is constant along a connected fluid at rest; it indicates the sum of pressure head and elevation head for a fluid particle.
Pascal`s Law and Basic Concepts
Pascal`s Law and Basic Concepts

Hydrostatic Pressure: Variation with Depth

  • Hydrostatic pressure law: Pressure at a depth measured from a reference level increases linearly with vertical depth.
    p = pref + ρ g h
    where ρ is fluid density, g is acceleration due to gravity and h is vertical depth measured from the reference level.
  • Specific weight (also called weight density) is γ = ρ g. The hydrostatic relation may be written as p = pref + γ h.
  • Hydrostatic paradox: The total force on a plane surface in a fluid depends only on the pressure distribution (hence depth and area) and not on the total volume of fluid above. Containers of different shapes but with the same fluid depth exert the same pressure on their bases.

Pressure Scales

  • Absolute pressure: Pressure measured with reference to absolute vacuum. Absolute pressure cannot be negative; minimum possible value is zero.
    Absolute pressure = Gauge pressure + Local atmospheric pressure
  • Gauge pressure: Pressure measured relative to the local atmospheric pressure (atmospheric pressure taken as zero). Gauge pressure may be positive, zero or negative (negative gauge = partial vacuum).
    Gauge pressure = Absolute pressure - Local atmospheric pressure
  • Vacuum pressure: The difference between local atmospheric pressure and absolute pressure when absolute pressure is less than atmosphere.
    Vacuum pressure = Local atmospheric pressure - Absolute pressure
  • Atmospheric pressure: Varies with altitude, temperature and local weather. It is measured by a barometer.
    At mean sea level atmospheric pressure is approximately 1.01 × 105 Pa = 1 bar = equivalent to about 10.3 m of water head or 76 cm of mercury.

Pressure Measuring Devices

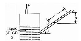
  • Piezometer: A simple vertical transparent tube open to the atmosphere and connected to a point in a liquid; the liquid rises to a height representing the pressure head at that point.
    Useful for measuring small positive gauge pressures. For a fluid of density ρ, p = ρ g h, where h is the height of the liquid column above the point of connection.
  • Manometer: Uses a column (or columns) of a manometric liquid to measure pressure by balancing pressure differences.
    The manometric liquid should have relatively high density and low vapour pressure.
    Common types include simple (U-tube) manometer and differential manometer; both can measure positive and negative gauge pressures depending on arrangement.
  • Simple (U-tube) manometer: Measures the pressure at one point relative to another (often atmosphere). The difference in heights of the manometric liquid columns gives the pressure difference via Δp = ρm g Δh, where ρm is the density of the manometric liquid.
  • Differential manometer: Measures the difference in pressure between two points in the same or different fluids. Heights of manometric liquid columns on the two limbs are related to the two pressures by hydrostatic balance equations.
  • Micromanometer: A modified U-tube in which one limb has a much larger cross-sectional area than the other to measure very small pressure differences accurately.
  • Inclined manometer: Uses an inclined tube to increase length of travel for a small vertical change, improving sensitivity for measuring small pressure differences such as low-velocity gas flows.
  • Mechanical gauges: Based on elastic deformation of elements (springs, Bourdon tubes) to indicate pressure; suitable for rough or direct readings of relatively high pressures. Example: Bourdon tube pressure gauge.
  • Aneroid and mercury barometers: Instruments for measuring atmospheric pressure on an absolute scale. A mercury barometer measures atmosphere load as height of mercury column; an aneroid barometer uses a sealed evacuated capsule that expands/contracts with pressure.
Pressure Measuring Devices

Additional Concepts and Definitions

  • Specific gravity (S) of a liquid is the ratio of its density to the density of water at a specified temperature.
    S = ρ / ρwater.
  • Relation of specific weight: If γw = specific weight of water and γ = specific weight of manometric liquid, then γ = S × γw.
  • Piezometric head and total head: Piezometric head at a point in a liquid is p/(ρ g) + z, where p/(ρ g) is pressure head and z is elevation above a datum. In static fluids this remains constant along a connected body of liquid at rest.

Forces on Immersed Surfaces and Buoyancy

  • Force on an immersed plane surface: The total hydrostatic force on a plane surface equals the pressure at the centroid times the area.
    The line of action (resultant) passes through the centre of pressure, which is generally below the centroid for a plane surface submerged in a fluid.
  • Buoyancy and Archimedes' principle: A body immersed in a fluid experiences an upward buoyant force equal to the weight of fluid displaced by the body.
    Buoyant force = ρfluid Vdisplaced g.
    This principle determines whether a body floats, sinks or remains neutrally buoyant.
  • Stability of floating bodies: Determined by the relative positions of the centre of gravity of the body and the metacentre of the displaced-fluid geometry. For initial stability, the metacentre must be above the centre of gravity.
Forces on Immersed Surfaces and Buoyancy
Forces on Immersed Surfaces and Buoyancy

Practical Notes and Applications

  • Choice of manometric liquid depends on required sensitivity and compatibility with measured fluids; common liquids include mercury (for high pressure) and water or oil (for lower pressures).
  • When using a piezometer, ensure the tube is vertical and open to atmosphere; it cannot measure negative pressures (vacuum) directly.
  • Bourdon gauges require calibration and are sensitive to vibration and temperature; they provide convenient direct readings for plant and workshop use.
  • Barometers are essential for weather observations, altitude corrections and for converting between gauge and absolute pressures.

Symbols and common formulae (summary)
p = pref + ρ g h
pabs = pgauge + patm
Δp (manometer) = ρm g Δh
Buoyant force = ρfluid V g

The document Fluid Statics is a part of the Mechanical Engineering Course Mechanical Engineering SSC JE (Technical).
All you need of Mechanical Engineering at this link: Mechanical Engineering

FAQs on Fluid Statics

1. What is fluid statics in mechanical engineering?
Fluid statics is a branch of fluid mechanics that deals with the behavior of fluids at rest. It primarily focuses on studying the equilibrium and pressure distribution of fluids, such as liquids and gases, when they are not in motion.
2. How is the pressure in a fluid at rest distributed?
In a fluid at rest, the pressure is distributed uniformly in all directions. This is known as hydrostatic pressure. The pressure increases with depth and is the same at a given depth regardless of the shape of the container. This is due to the weight of the fluid column above a specific point.
3. What is Pascal's law and its significance in fluid statics?
Pascal's law states that any change in pressure applied to an enclosed fluid will be transmitted undiminished to all portions of the fluid and to the walls of the container. This principle is crucial in hydraulic systems and plays a significant role in various applications, such as hydraulic lifts, brakes, and jacks.
4. How is buoyancy related to fluid statics?
Buoyancy is the upward force exerted on an object immersed in a fluid. It is directly proportional to the weight of the fluid displaced by the object. According to Archimedes' principle, an object submerged in a fluid experiences an upward buoyant force equal to the weight of the fluid it displaces. Buoyancy is an essential concept in designing ships, submarines, and hot air balloons.
5. What are some practical applications of fluid statics in mechanical engineering?
Fluid statics has numerous practical applications in mechanical engineering. Some examples include designing and analyzing pressure vessels, determining the stability of floating structures like ships and offshore platforms, calculating the forces exerted on dams and retaining walls due to water pressure, and understanding the behavior of fluids in pipes and pipelines.
Explore Courses for Mechanical Engineering exam
Get EduRev Notes directly in your Google search
Related Searches
shortcuts and tricks, Viva Questions, pdf , past year papers, Semester Notes, Summary, practice quizzes, Previous Year Questions with Solutions, Fluid Statics, Fluid Statics, video lectures, Extra Questions, study material, Fluid Statics, MCQs, Objective type Questions, Exam, ppt, Sample Paper, Free, Important questions, mock tests for examination;