Mechanical Engineering Exam  >  Mechanical Engineering Notes  >  Fluid Mechanics  >  Short Notes: Fluid Kinematics

Short Notes: Fluid Kinematics

Introduction

Fluid Kinematics deals with the motion of fluids such as displacement, velocity, acceleration, and other aspects. This topic is useful in terms of exams and knowledge of the candidate.

Kinematics is the branch of classical mechanics that describes the motion of bodies and systems without consideration of the forces the cause the motion.

Types of Fluid Flows

Fluid flow may be classified under the following headings:

1. Steady & Unsteady Flow

Types of Fluid Flows

2. Uniform and Non-Uniform Flow

Types of Fluid Flows

3. Laminar and Turbulent Flow

Types of Fluid Flows

4. Rotational & Irrotational Flow

Types of Fluid Flows

MULTIPLE CHOICE QUESTION

Try yourself: Which of the following related fluid flow parameters exist both in rotational and irrotational flows?

A

Vorticity

B

Stream function

C

Velocity potential

D

Both Vorticity and Stream function

Combining these, the most common flow types are:

Types of Fluid Flows

(a) Steady uniform flow

  • Conditions do not change with position in the stream or with time.
    Example: flow of water in a pipe of constant diameter at a constant velocity.

Steady Uniform FlowSteady Uniform Flow

MULTIPLE CHOICE QUESTION

Try yourself: If the total acceleration of fluid flow is always zero, then it is:

A

unsteady and uniform flow

B

steady and uniform flow

C

steady but non-uniform flow

D

unsteady and non-uniform flow

(b) Steady non-uniform flow

  • Conditions change from point to point in the stream but do not change with time.
    Example: Flow in a tapering pipe with constant velocity at the inlet.

(c) Unsteady uniform flow

  • At a given instant in time the conditions at every point are the same but will change with time.
    Example: A pipe of constant diameter connected to a pump pumping at a constant rate which is then switched off.

(d) Unsteady non-uniform flow

  • Every condition of the flow may change from point to point and with time at every point.
    Example: Waves in a channel

Flow Pattern

Three types of fluid element trajectories are defined: Streamlines, Pathlines, and Streaklines
  • Pathline is the actual path traveled by an individual fluid particle over some time period. The pathline of a fluid element A is simply the path it takes through space as a function of time. An example of a pathline is the trajectory taken by one puff of smoke which is carried by the steady or unsteady wind.
  • Timeline is a set of fluid particles that form a line at a given instant.
  • Streamline is a line that is everywhere tangent to the velocity field. Streamlines are obtained analytically by integrating the equations defining lines tangent to the velocity field as illustrated in the figure below:
    Flow Patternwhere u, v, and w are the velocity components in x, y and z directions respectively as sketched.
  • Streakline is the locus of particles that have earlier passed through a prescribed point.
    a. A streakline is associated with a particular point P in space which has the fluid moving past it.
    b. All points which pass through this point are said to form the streakline of point P.
    c. An example of a streakline is the continuous line of smoke emitted by a chimney at point P, which will have some curved shape if the wind has a time-varying direction.
  • Streamtube: The streamlines passing through all these points form the surface of a stream-tube. Because there is no flow across the surface, each cross-section of the stream tube carries the same mass flow. So the stream tube is equivalent to a channel flow embedded in the rest of the flow field.
    Flow Pattern

Note: The figure below illustrates streamlines, pathlines, and streaklines for the case of a smoke being continuously emitted by a chimney at point P, in the presence of a shifting wind.

In a steady flow, streamlines, pathlines, and streaklines all coincide.

In this example, they would all be marked by the smoke line.Flow Pattern

Velocity of Fluid Particle

  • Velocity of a fluid along any direction can be defined as the rate of change of displacement of the fluid along that direction.
  • Let V be the resultant velocity of a fluid along any direction and u, v and w be the velocity components in x, y and z directions respectively.
  • Mathematically the velocity components can be written as:
    u = f ( x, y, z, t )
    w = f ( x, y, z, t )
    v = f ( x, y, z, t )
  • Let VR is resultant velocity at any point in a fluid flow. 
  • Resultant velocity VR = ui + vj + wk
    Velocity of Fluid Particle

Where u = dx/dt, v = dy/dt and w = dz/dt are the resultant vectors in X, Y and Z directions, respectively.

MULTIPLE CHOICE QUESTION
Try yourself: Which type of fluid flow is characterized by conditions changing from point to point in the stream but not changing with time?
A

Steady uniform flow

B

Steady non-uniform flow

C

Unsteady uniform flow

D

Unsteady non-uniform flow

Acceleration of Fluid Particle

  • Acceleration of a fluid element along any direction can be defined as the rate of change of velocity of the fluid along that direction.
  • If ax , ay and az are the components of acceleration along x, y and z directions respectively, they can be mathematically written as ax = du/ dt.
    Acceleration of Fluid Particle

Stream Function

  • The partial derivative of the stream function with respect to any direction gives the velocity component at right angles to that direction. It is denoted by ψ.
    Stream Function
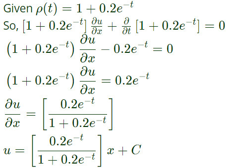
  • Continuity equation for two-dimensional flow is:
    Stream Function

Equations of Rotational Flow

  • As ψ satisfies the continuity equation hence if ψ exists then it is a possible case of fluid flow.
  • Rotational components of fluid particles are:
    Equations of Rotational Flow

Equation of Irrotational Flow

  • If ωx = ωy = ωz then, flow is irrotational.
  • For irrotational flow, ωz = 0
    Equation of Irrotational Flow
  • This is Laplace equation for ψ.

Note: It can be concluded that if stream function (ψ) exits, it is a possible case of fluid flow. But we can't decide whether flow is rotational or irrotational. But if stream function ψ satisfies Laplace equation then, it is a possible case of irrotational flow otherwise it is rotational flow.

Velocity Potential Function

It is a scalar function of space and time such that its negative derivative with respect to any direction gives the fluid velocity in that direction. It is denoted by φ.
Velocity Potential Function

We know that continuity equation for steady flow is:

Velocity Potential Function

Velocity Potential Function

Velocity Potential Function

  • If φ satisfies the Laplace equation, then it is a possible case of fluid flow.

Rotational component ωz can be given by:

Velocity Potential Function

It shows that φ exits then, flow will be irrotational.

Relation between Stream Function and Velocity Potential

We know,Relation between Stream Function and Velocity Potential

and

Relation between Stream Function and Velocity Potential

Relation between Stream Function and Velocity Potential

Stream versus Velocity Function

Stream versus Velocity Function

Example 1: The velocity field of a two-dimensional, incompressible flow is given by
Stream versus Velocity Function
where Stream versus Velocity Functiondenote the unit vectors in x and y directions, respectively. If v(x,0)=coshx, then v ( 0 , - 1 ) v(0,-1)
(a) 1
(b) 2
(c) 3
(d) 4

Ans: (c)
Solution:

For an incompressible flow, Stream versus Velocity Function
Given; the velocity field of a two-dimensional, incompressible flow,
Stream versus Velocity Function
Now, Stream versus Velocity Function(for an incompressible flow)
Stream versus Velocity Function
Integrate both sides,
Stream versus Velocity Function
Now, from equation (1)
Stream versus Velocity Function

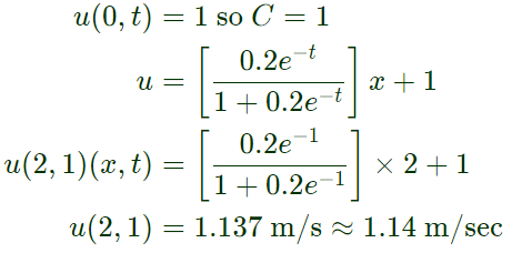
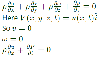
Example 2: Consider a unidirectional fluid flow with the velocity field given by
Stream versus Velocity Function
where  u(0,t)=1. If the spatially homogeneous density field varies with time  t as
Stream versus Velocity Function
the value of u(2,1) is _______. (Rounded off to two decimal places)
Assume all quantities to be dimensionless.

(a) 1.14
(b) 2.25
(c) 3.65
(d) 8.25
Ans: (a)
Continuity equation for unsteady flow
Stream versus Velocity Function
Stream versus Velocity Function
Since
Stream versus Velocity Function

Example 3: The velocity field of a certain two-dimensional flow is given by
Stream versus Velocity Function
where k=2s -1 . The coordinates  x and y are in meters. Assume gravitational effects to be negligible. If the density of the fluid is 1000kg/m 3 and the pressure at the origin is 100 kPa, the pressure at the location (2 m, 2 m) is _____________ kPa. (Answer in integer)

(a) 64
(b) 26
(c) 84
(d) 98
Ans: (c)
Solution:
To find the pressure at location (2m,2m) we apply Bernouli's equation
Stream versus Velocity Function
We will apply this equation between two points Origin (0,0) and location (2 m,2 m)
At Origin (0,0)
Stream versus Velocity Function
At Iocation (2,2)
Stream versus Velocity Function
magnitude of velocity
Stream versus Velocity Function
Applying Bernouli's theorem
Stream versus Velocity Function

The document Short Notes: Fluid Kinematics is a part of the Mechanical Engineering Course Fluid Mechanics for Mechanical Engineering.
All you need of Mechanical Engineering at this link: Mechanical Engineering

FAQs on Short Notes: Fluid Kinematics

1. What is the significance of flow pattern in fluid kinematics?
Ans. The flow pattern in fluid kinematics provides valuable information about how the fluid is moving, including its direction and speed. Understanding the flow pattern helps engineers analyze and predict fluid behavior in various systems.
2. How is the velocity of a fluid particle determined in fluid kinematics?
Ans. The velocity of a fluid particle in fluid kinematics is determined by measuring the rate of change of its position with respect to time. This provides valuable insight into how fast the fluid is moving at a specific point in the system.
3. What is the role of stream function in fluid kinematics?
Ans. The stream function in fluid kinematics is a mathematical function that helps visualize and analyze fluid flow patterns. It is particularly useful in studying irrotational flows, where the fluid particles do not rotate as they move.
4. How does acceleration of a fluid particle impact fluid kinematics?
Ans. The acceleration of a fluid particle in fluid kinematics provides information about how the velocity of the particle is changing over time. This can help engineers understand the dynamics of the fluid flow and predict potential changes in the system.
5. How can the velocity potential function be used in fluid kinematics analysis?
Ans. The velocity potential function in fluid kinematics is a scalar field that can be used to represent the velocity of a fluid flow. It is particularly useful in analyzing potential flows, where the flow is irrotational and can be described using a single scalar function.
Explore Courses for Mechanical Engineering exam
Get EduRev Notes directly in your Google search
Related Searches
Previous Year Questions with Solutions, Summary, video lectures, Exam, ppt, Extra Questions, past year papers, practice quizzes, Important questions, study material, pdf , Sample Paper, mock tests for examination, MCQs, Short Notes: Fluid Kinematics, Objective type Questions, Semester Notes, shortcuts and tricks, Short Notes: Fluid Kinematics, Short Notes: Fluid Kinematics, Viva Questions, Free;