Mechanical properties of metal indicate the nature of its inherent behavior under the action of the external force.
Or, we can say mechanical properties are the properties of the metal which are associated with its ability to resist failure under the action of external forces.
Some of the most important Mechanical properties of the metal are:
1. Ductility
Ductility is the property by virtue of which material can be stretched to a reduced section under the action of tensile force.
Large deformations are thus possible in ductile materials before the absolute failure or rupture takes place, some of the examples are mild steel, aluminium, copper, manganese, lead, nickel, brass, bronze, monal metal etc.
MULTIPLE CHOICE QUESTION
Try yourself: It is the property of the material or a structure indicating the extent to which it can deform beyond the limit of yield deformation before failure or fracture is termed as:
A
Ductility
B
Brittleness
C
Slenderness ratio
D
Aspect ratio
Correct Answer: A
Ductility:
The property of a material by virtue of which, it can be drawn into the wire with the application of tensile force is known as ductility.
It is the property of a structure that indicates yield deformation before the fracture in the structure.
It is measured as the ratio of elongation of the material at the fracture during the tensile test to the original length, expressed as a percentage.
It may also be expressed as the ratio of reduction in the cross-sectional area in the fractured specimen to the original cross-section area.
Report a problem
2. Brittleness
Brittleness is the lack of ductility i.e. material can not be stretched. In brittle materials, failure takes place with a relatively smaller deformation. This property is undesirable. For brittle materials fracture point & ultimate points are same, and after proportional limit very small strain is seen. Some of the examples are cast iron, concrete and glass.
Brittle Metal
To distinguish between these two types of materials, materials with strain less than 5% at fracture point are regarded as brittle and those having strains greater than 5% at fracture point are called ductile. (This value for mild steel at fracture is about 25%).
MULTIPLE CHOICE QUESTION
Try yourself: The tendency of material to fracture without appreciable deformation is called ______.
A
Plasticity
B
Stiffness
C
Brittleness
D
Toughness
Correct Answer: C
Brittleness: The property of a material by which it cannot be drawn out by tension into a smaller section is called brittleness. A brittle material fails instantly under the load without any significant deformation. E.g. cast iron, concrete, glass, etc.
Plasticity: Plasticity is a mechanical property of materials that shows the ability to deform under stress without breaking while retaining the deformed shape after the load is lifted. Metals with higher plasticity are better for forming. E.g. aluminium, copper etc.
Stiffness: Stiffness is expressed as Young’s modulus, also known as the modulus of elasticity. As one of the primary mechanical properties of materials, it defines the relationship between stress and strain. The bigger its value, the stiffer the material. Stiff material does not compress nor elongates easily.
Toughness: A tough material can take hard blows without rupturing. Toughness is often defined as a material’s ability to absorb energy without cracking. It is a combination of strength and plasticity.
Hardness: High-hardness values show that a material resists localized pressures. In simple terms, hard material is not easy to scrape or punctuate with lasting marks (plastic deformation).
Fatigue Strength: It expresses a material’s ability to withstand cyclic stresses.
Report a problem
3. Malleability
The property by which a material can be uniformly extended in all direction without rupture. A malleable material possess a high degree of plasticity. This property is of great use in operations like forging, hot rolling, drop (stamping) etc.
MULTIPLE CHOICE QUESTION
Try yourself: A good malleable material possess: _______.
A
low degree of plasticity
B
high degree of plasticity
C
necessarily great strength
D
necessarily high degree of ductility
Correct Answer: B
Malleability
Malleability is the property by virtue of which a material may be hammered or rolled into thin sheets without rupture.
This property generally increases with the increase of temperature.
Malleability is the ability of a metal to exhibit large deformation or plastic response when being subjected to a compressive force.
Lead, soft steel, wrought iron, silver, copper and aluminum are some materials in order of diminishing malleability.
Graphite is soft (Van der Walls forces) between two sheets of carbon atoms. But It is not malleable like metal, because of lack of plastic deformation (no dislocation movement in its structure).
Report a problem
4. Toughness
The property which enables materials to absorb energy without fracture. This property is very desirable in case of cyclic loading or shock loading.
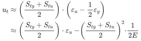
The "Modulus of toughness" is measured as area under entire stress-strain curve and is the energy absorbed by material of the specimen per unit volume upto fracture stage.
Modulus of toughness
where,
Sty is the tensile yield strength,
Stu is the tensile ultimate strength,
εy is the strain at yield,
εu is the ultimate strain (total strain at failure), and
E is the elastic modulus.
The Modulus of toughness will depend upon ultimate tensile strength and strain at failure (fracture strain). Hence the material which is very ductile will exhibit a higher modulus of toughness as the case with mild steel.
On the other hand the "Modulus of resilience" depends upon yield strength and hence a material with higher yield strength will have higher modulus of resilience
The 'Modulus of resilience' is the maximum elastic energy per unit volume that can be absorbed without attaining plastic stage. Modulus of resilience (u)=
Higher toughness a desirable property in materials used for gears, chains, crane hooks, freight car etc. Higher resilience is desirable in springs.
5. Hardness
Hardness is defined as the resistance to indentation or scratching or surface abrasion.
Based upon this there are two methods of hardness measurement : (i) Scratch hardness - Commonly measured by Mohr's test. (ii) Indentation hardness (abrasion) measured by deformation. 1. Brinell hardness method 2. Rockwell hardness 3. Vickers hardness 4. Knoop hardness
It should be noted that ductile materials are tough and brittle materials are hard.
6. Fatigue
It has been found that material behave differently under the static loading and dynamic loading.
The behaviour of material under variable loads (dynamic loads) is referred to as "fatigue". In recent past several failures of structures have been noted due to fatigue.
Factors affecting fatigue are: (i) Loading conditions (ii) Frequency of loading (iii) Corrosion (iv) Temperature (v) Stress concentration
MULTIPLE CHOICE QUESTION
Try yourself: A member which is subjected to reversible tensile or compressive stresses may fail at stresses lower than the ultimate stresses of the material. This property of metal is called_______.
A
Plasticity of the metal
B
Workability of the metal
C
Fatigue of the metal
D
Creep of metal
Correct Answer: C
Plasticity of the metal-
(i) The characteristics of the metal by which it undergoes inelastic strain beyond those at the elastic limit is Known as plasticity.
(ii) Plasticity can be described as the increase in strain at the same stress level. The ductile metals shows more plasticity.
Workability of the metal-
(i) Workability is defined as the extent to which a material be deformed in a specific metal working process without the formation of cracks. If ductility of the material is high the material can be mechanically worked with ease.
Fatigue of the metal-
(i) A member which is subjected to reversible tensile or compressive stresses may fail at stresses may fail at stresses lower than the ultimate stresses of the material. This property of metal is called fatigue of the metal.
(ii) Due to cyclic or reverse cyclic loading fracture failure may occur if total accumulated strain energy exceeds the toughness. Fatigue causes rough fracture surface even in ductile metals.
Creep-
(i) It is a permanent deformation which is recorded with passage of time at constant loading. It is plastic deformation in nature.
(ii) The temperature at which creep is uncontrollable is called homologous temperature.
Report a problem
7. Creep & Stress Relaxation
At any temperature, a material will progressively deform with the passage of time under constant loading, even if the stress is below yield point, this phenomenon is called creep. However such deformation is negligibly small at lower temperature.
At higher temperature, due to greater mobility of atoms, most of the material sloose their strength and elastic constants also get reduced. Hence greater deformation at elevated temperature results even under constant loading. Therefore creep is more pronounced at higher temperature, hence it must be considered for design of engines & furnaces.
The temperature at which the creep becomes very appreciable is half of the melting point temperature on absolute scale and is known as "Homologous temperature".
If a wire of metal is stretched between two immovable supports, so that it has an initial tension stress so. The stress in the wire gradually diminishes, eventually reaching a constant value. This process, which is a manifestation of creep, is called "Stress relaxation".
1. What's the difference between ductility and brittleness in metals?
Ans. Ductility is a metal's ability to deform permanently without breaking when tensile stress is applied, while brittleness refers to materials that fracture suddenly with minimal plastic deformation. Ductile metals like aluminium and copper show significant elongation before failure, whereas brittle materials like cast iron snap abruptly. Understanding this distinction helps predict material behaviour under load during mechanical design.
2. Why does yield strength matter more than ultimate tensile strength in engineering design?
Ans. Yield strength indicates the stress level where permanent deformation begins-the safe working limit for most components. Ultimate tensile strength shows the maximum stress before fracture, but exceeding yield strength causes irreversible shape changes, leading to service failure. Engineers design structures using yield strength to ensure components function within elastic limits, preventing unexpected plastic deformation and structural collapse.
3. How do elasticity and plasticity affect a metal's stress-strain curve?
Ans. The elastic region (linear portion) shows reversible deformation where stress and strain are proportional; removing load returns the metal to original shape. Beyond the yield point, plasticity dominates-permanent deformation occurs as atoms slip past each other. The stress-strain curve's shape reveals whether a metal behaves elastically (steep slope) or plastically (gradual curve), crucial for predicting material performance under load.
4. What causes the difference in hardness between different metals, and why is it tested?
Ans. Hardness depends on atomic bonding strength, crystal structure, and grain size-metals with stronger atomic bonds resist indentation better. The Brinell, Rockwell, and Vickers hardness tests measure resistance to permanent deformation, indicating wear resistance and material quality. Engineers use hardness data to select metals for high-friction applications like cutting tools and bearings, where scratch and wear resistance are critical.
5. How does malleability relate to metal forming processes like rolling and forging?
Ans. Malleability is the capacity to deform under compressive stress without fracturing-essential for shaping metals into sheets, wires, and complex forms. Metals like copper, gold, and mild steel exhibit high malleability, enabling rolling into thin sheets and forging into desired shapes. This property makes certain metals ideal for industrial manufacturing, allowing controlled plastic deformation without material failure during mechanical processing.
Important questions, Semester Notes, Mechanical Properties of Metals, pdf , past year papers, mock tests for examination, Exam, shortcuts and tricks, practice quizzes, Viva Questions, Previous Year Questions with Solutions, Objective type Questions, Sample Paper, video lectures, Mechanical Properties of Metals, MCQs, ppt, Mechanical Properties of Metals, Summary, Free, study material, Extra Questions;