NEET Exam  >  NEET Notes  >  Chemistry Class 11  >  Quantum Numbers, Orbitals & Their Shapes

Quantum Numbers, Orbitals & Their Shapes

Quantum Numbers

In the solution of the Schrödinger equation for the hydrogen atom, a set of quantum numbers arises that describe allowed states of an electron. Three quantum numbers (n, l, ml) come from the spatial form of the wavefunction and a fourth quantum number (ms) arises from the intrinsic spin of the electron. According to the Pauli exclusion principle, no two electrons in an atom can have the same set of all four quantum numbers; this restriction determines how electrons fill atomic orbitals and is fundamental to the structure of the periodic table.

Principal quantum number (n)

The principal quantum number, n, results from the radial solution of the Schrödinger equation for the hydrogen atom and takes integral values:

  • Permissible values: n = 1, 2, 3, ... (all positive integers).
  • It identifies the shell and largely determines the average distance of the electron from the nucleus (higher n → larger orbital size).
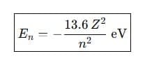
  • For the hydrogen atom the bound-state energy is given by the expression En = -13.6 eV / n², so energy depends only on n in hydrogen.

Principal quantum number (n)

  • In many-electron atoms, energy depends on both n and l, so orbital ordering can change; for example, in many atoms the general ordering for s-orbitals is 4s > 3s > 2s > 1s in terms of size and average distance from the nucleus (but careful: the energy ordering among subshells depends on electron-electron interactions).
  • The total number of orbitals in the nth shell equals .
  • The maximum number of electrons that can occupy the nth shell is 2n².
  • The principal quantum number helps determine the radial probability distribution of an orbital.
  • The principal quantum number also restricts allowed values of the azimuthal quantum number l (see next section).
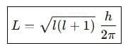
  • The orbital angular momentum magnitude is related to l by L = √(l(l+1)) × h/2π.  
Principal quantum number (n)Principal quantum number (n)

Azimuthal (angular momentum) quantum number (l)

The azimuthal or angular momentum quantum number, l, arises from the angular part of the wavefunction and determines the shape of the orbital.

  • Permissible values: l = 0, 1, 2, ..., (n - 1). Thus, the allowed values of l are limited by the principal quantum number n.
  • The value of l identifies the subshell (s, p, d, f, ...) and the general shape and number of angular nodes of the orbital.
  • The number of possible values of l for a given n equals n.
  • The number of orbitals in a subshell with quantum number l is 2l + 1 (these correspond to the different ml values).
lNotationName (historic)General shape
0ssharpspherical
1pprincipaldumbbell-shaped (two lobes)
2ddiffuseclover or double-dumbbell shapes
3ffundamentalmore complex shapes

Magnetic quantum number (ml)

The magnetic quantum number, ml, specifies the orientation of an orbital angular momentum in space relative to a chosen axis (usually the z-axis).

  • Permissible values: ml = -l, -l+1, ..., 0, ..., +l (integer steps).
  • The z-component of angular momentum is quantized: Lz = ml × h / 2π.
  • There are 2l + 1 possible orientations for a given l, corresponding to the number of orbitals in that subshell.
  • In the presence of an external magnetic field, these orientations have different energies and give rise to the Zeeman effect (splitting of spectral lines).
  • The vector model of angular momentum provides a qualitative way to visualise how the angular momentum vector projects onto an axis; ml determines the allowed projections.

MULTIPLE CHOICE QUESTION
Try yourself: What does the azimuthal quantum number (l) determine?
A

Energy level

B

Shape of the orbital

C

Distance from nucleus

D

Number of electrons

Spin quantum number (ms)

Electrons have an intrinsic angular momentum called spin. Spin is an intrinsic (non-classical) property of electrons and is not derived from spatial wavefunctions.

  • The spin quantum number for an electron is s = 1/2 and its projection is given by ms = +1/2 or ms = -1/2.
  • Because there are two possible ms values, each orbital (specified by n, l, ml) can hold up to two electrons with opposite spins (this is the origin of the factor 2 in the 2n² rule).
  • The two spin orientations correspond to two possible z-components of spin angular momentum and are associated with two values of the electron's magnetic moment. Interaction of the spin magnetic moment with an external magnetic field leads to additional energy splitting (fine structure and spin-orbit effects).
Spin quantum number (ms)

Orbitals

An orbital is a region in space, described by a wavefunction ψ(n, l, ml), where the probability of finding an electron is appreciable. Orbitals are designated by the set of three quantum numbers (n, l, ml) that arise from the solution of the Schrödinger equation.

Different Atomic OrbitalsDifferent Atomic Orbitals

Shapes of atomic orbitals

The wavefunction ψ itself is a mathematical function; its square, |ψ|², gives the probability density for an electron at a point in space (Max Born interpretation). Plots of |ψ|² or constant |ψ|² boundary-surface diagrams show the shapes and sizes of orbitals.

Shapes of atomic orbitals
  • Boundary-surface diagrams are drawn at a constant value of |ψ|² that encloses a region where the probability of finding the electron is large (commonly chosen ≈ 90%).
  • There is no finite boundary corresponding to 100% probability because |ψ|² tails extend to infinity, though with rapidly decreasing values.

MULTIPLE CHOICE QUESTION
Try yourself: What does the wavefunction ψ represent in an orbital?
A

A physical boundary

B

A chemical bond

C

A mathematical function

D

An electron's charge

s orbitals

  • All s orbitals (l = 0) are spherically symmetric about the nucleus; the boundary surface is a sphere (appearing as a circle in two dimensions).
  • The probability density for a 1s orbital is maximum at the nucleus and decreases monotonically with distance.
  • Higher ns orbitals have radial nodes. An ns orbital has (n - 1) total nodes; for s orbitals these are all radial nodes. For example, 2s has one radial node, 3s has two radial nodes, and so on.
  • The size of s orbitals increases with n: 4s > 3s > 2s > 1s (in terms of average radius and boundary size).
Spheres for s-OrbitalsSpheres for s-Orbitals
Charge Cloud Diagram of s-OrbitalsCharge Cloud Diagram of s-Orbitals

p orbitals

  • For l = 1 the orbitals are p orbitals. There are three p orbitals for a given n (except when n = 1): 2p has three orientations corresponding to ml = -1, 0, +1.
  • Each p orbital consists of two lobes separated by a nodal plane passing through the nucleus where |ψ|² = 0.
  • Designations such as 2px, 2py, 2pz indicate orientation along the x, y or z axis. The three p orbitals are mutually perpendicular and equivalent in energy in hydrogenic atoms.
  • Radial nodes for np orbitals are given by n - l - 1 = n - 2; for example, 3p has one radial node, 4p has two radial nodes, etc.
  • With increasing principal quantum number the size and energy of p orbitals increase: 4p > 3p > 2p (as regards size and average distance from nucleus).
2p Orbitals2p Orbitals

d orbitals

  • For l = 2 the orbitals are d orbitals. The minimum principal quantum number allowing d orbitals is n = 3.
  • There are five possible ml values for l = 2: -2, -1, 0, +1, +2, so five d orbitals exist in a d subshell.
  • The five d orbitals are commonly written as dxy, dyz, dxz, dx²-y², d; four of these have similar cloverleaf shapes while d has a distinct doughnut-and-lobes shape.
  • In hydrogen-like atoms the five d orbitals are degenerate (same energy). In many-electron atoms crystal field or ligand interactions and electron-electron repulsion can lift this degeneracy.
d Orbitals and Their Shapesd Orbitals and Their Shapes

Nodes

  • Radial nodes are spherical surfaces where the radial part of the wavefunction changes sign and |ψ|² = 0. Number of radial nodes = n - l - 1.
  • Angular nodes are planes or cones where the angular part of the wavefunction is zero (for p orbitals the nodal plane is one; for d orbitals there are two angular nodes, etc.). Number of angular nodes = l.
  • Total number of nodes (radial + angular) = n - 1.
Angular nodes for the pz orbital correspond to the xy-plane being a nodal plane.
For dxy, nodal planes lie along axes that cause the characteristic orientation of that orbital's lobes.

The document Quantum Numbers, Orbitals & Their Shapes is a part of the NEET Course Chemistry Class 11.
All you need of NEET at this link: NEET

FAQs on Quantum Numbers, Orbitals & Their Shapes

1. What are quantum numbers and how do they relate to atomic orbitals?
Ans. Quantum numbers are a set of four numbers that describe the properties and characteristics of an electron in an atom. They include the principal quantum number (n), the azimuthal quantum number (l), the magnetic quantum number (ml), and the spin quantum number (ms). These quantum numbers determine the energy level, shape, orientation, and spin of an electron in an atomic orbital.
2. What are atomic orbitals and how are they related to the shapes of orbitals?
Ans. Atomic orbitals are regions in space where there is a high probability of finding an electron in an atom. They are represented by mathematical functions called wavefunctions. The shapes of atomic orbitals are determined by the values of the azimuthal quantum number (l). For example, the s orbital (l=0) is spherical in shape, the p orbital (l=1) is dumbbell-shaped, and the d orbital (l=2) has more complex shapes.
3. How can we understand atomic orbitals through boundary surface diagrams?
Ans. Boundary surface diagrams are graphical representations that help visualize the shape and orientation of atomic orbitals. These diagrams depict regions in space where there is a high probability of finding an electron. The boundaries of the regions are represented by surfaces, which are often shown as solid or shaded areas. By looking at these diagrams, we can gain a better understanding of the spatial distribution of electrons in different orbitals.
4. How does the principal quantum number (n) affect the energy level of an electron in an atomic orbital?
Ans. The principal quantum number (n) determines the energy level of an electron in an atomic orbital. It represents the distance of the electron from the nucleus of an atom. As the value of n increases, the energy level of the electron increases, and the electron is found further away from the nucleus. Electrons with higher values of n occupy higher energy levels and are more loosely bound to the nucleus.
5. What is the significance of the spin quantum number (ms) in atomic orbitals?
Ans. The spin quantum number (ms) describes the spin orientation of an electron within an atomic orbital. It can have two possible values: +1/2 or -1/2, representing the spin-up and spin-down states, respectively. This quantum number is important because it determines the electron's magnetic moment and its behavior in an external magnetic field. Additionally, the Pauli exclusion principle states that no two electrons in an atom can have the same set of quantum numbers, including the spin quantum number.
Explore Courses for NEET exam
Get EduRev Notes directly in your Google search
Related Searches
Viva Questions, MCQs, Free, video lectures, Quantum Numbers, Quantum Numbers, Orbitals & Their Shapes, ppt, Semester Notes, Orbitals & Their Shapes, study material, past year papers, Quantum Numbers, Exam, Extra Questions, Important questions, Sample Paper, Summary, shortcuts and tricks, mock tests for examination, practice quizzes, Objective type Questions, Previous Year Questions with Solutions, Orbitals & Their Shapes, pdf ;