
An atom has no sharp boundary because the probability of finding an electron never becomes exactly zero at any finite distance. Therefore atomic radius is an operational or effective size - typically defined as the distance of closest approach between nuclei in bonded or nearest-neighbour atoms. Several radii are used depending on the context.
The covalent radius (for a single bond) is one-half of the distance between the centres of two identical atoms joined by a single covalent bond. Covalent radii are most useful for non-metals and are commonly used to estimate bond lengths.
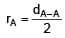
For homoatomic diatomic molecules,

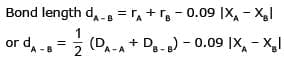
For near-homonuclear (heterodiatomic with similar electronegativities),
For heteronuclear diatomic molecules with a significant electronegativity difference, Stevenson and Schomaker gave an empirical correction:
where XA and XB are electronegativities of atoms A and B respectively.
Example . Calculate the bond length of C-X bond, if C-C bond length is 1.54 Å, X-X bond length is 1.00 Å and electronegativity values of C and X are 2.0 and 3.0 respectively.
Sol.
C-C bond length = 1.54 Å
rC = 1.54/2 = 0.77 Å
rX = 1.00/2 = 0.50 Å
Using the Stevenson-Schomaker correction,
dC-X = rC + rX - 0.09 (XX - XC)
dC-X = 0.77 + 0.50 - 0.09(3 - 2) = 1.27 - 0.09 = 1.18 Å
Thus the C-X bond length is 1.18 Å.
The van der Waals radius is one-half of the internuclear distance between two non-bonded adjacent atoms in neighbouring molecules in the condensed phase (usually solid or liquid). It describes how close two atoms can approach when they are not chemically bonded.
van der Waals radii depend on how atoms are packed in the solid state and are not applicable to metallic bonding.
Comparison between covalent and van der Waals radii:
| Element | H | O | F | S | Br |
|---|---|---|---|---|---|
| Covalent radius (Å) | 0.37 | 0.66 | 0.64 | 1.04 | 1.11 |
| van der Waals radius (Å) | 1.20 | 1.40 | 1.35 | 1.85 | 1.95 |
The metallic radius is one-half of the distance between the nuclei of two adjacent metal atoms in a metallic crystal lattice. Metallic radii are usually larger than covalent radii because metallic bonding is delocalised and generally weaker than covalent bonding, producing longer internuclear distances.
For example :
| Metal | Metallic radius (pm) | Covalent radius (pm) |
|---|---|---|
| K | 231 | 203 |
| Na | 186 | 154 |
Variation In a Period | Variation In a Group |
In a period left to right: | In a group top to bottom : |
Z increases by one unit | Z increases by more than one unit |
Zeff. also increases | Zeff. almost remains constant (due to increased screening effect of inner shells electrons) |
n remains constant (no of orbits) | n increases (no. of orbits) |
As a result of these electrons are pulled close to the nucleus by the increased Zeff. rn ∝ 1/Z* Thus atomic radii decreases with increase in atomic number in a period from left to right | The effect of increased number of atomic shells overweigh the effect of increased screening effect. |

The ionic radius is the effective distance from the nucleus of an ion up to which it has an influence in an ionic bond. Ionic radii depend on the charge and the electron configuration of the ion.
Cation | Anion |
It is formed by the toss of one or more electrons from the valence shell of an atom of an element. (ii) In a Cation, the number | It is formed by the gain of one or more electrons In the valence shell of an atom of an element. Anions are larger than the parent atoms because (1) Anion Is formed by gain of one or more electrons in the neutral atom and thus number of electron |
Example: Na and Cl
| Na | Na+ | |
|---|---|---|
| Number of protons | 11 | 11 |
| Electronic configuration | 1s2 2s2 2p6 3s1 | 1s22s2 2p6 |
| Cl | Cl- | |
| Number of electrons | 17 | 18 |
| Number of protons | 17 | 17 |

Ionisation enthalpy (IE) or ionisation energy is the energy required to remove an electron from an isolated gaseous atom (or ion) to form a cation. For successive removals we have first ionisation enthalpy IE1, second IE2, third IE3, etc.
General trend: IE1 < IE2 < IE3 ... because as electrons are removed the remaining electrons are held more strongly by the nucleus.


As noble gases have completely filled electronic configuration, they have highest ionisation energies in their respective periods.
Elements with high ionisation energies are less electropositive (less metallic); decreasing IE corresponds to increasing metallic (electropositive) character, greater reducing power and higher chemical reactivity for metals (exceptions exist, e.g., Li among alkali metals).
Example 3. First and second ionisation energies of Mg(g) are 740 and 1450 kJ mol-1. Calculate percentage of Mg+ (g) and Mg2+ (g), if 1 g of Mg(g) absorbs 50 kJ of energy.
Sol.
Sol. Number of moles of 1g of Mg = 1/24 = 0.0417
Energy required to convert Mg(g) to Mg+(g) = 0.0417 x 740 = 30.83 kJ
Remaining energy = 50 - 30.83 = 19.17 kJ
Number of moles of Mg2+ formed = 17.19/1450 = 0.0132
Thus, remaining Mg+ will be = 0.0417 - 0.0132 = 0.0285
% Mg+ = (0.0285/ 0.0417) × 100 = 68.35%
% Mg+ = 100 - 68.35 = 31.65%
Electron gain enthalpy (electron affinity, EA) is the enthalpy change when an electron is added to a neutral gaseous atom to form an anion. It measures the ease with which an atom accepts an electron.

Electron addition may be exothermic (negative EA) or endothermic (positive EA). The addition of a second electron to a singly charged anion is usually endothermic due to electrostatic repulsion.
EA(i) (first electron gain) is typically exothermic, but EA(ii) (second electron gain) is endothermic for most atoms.
(ii) Electron affinity ∞ Effective nuclear charge (zeff)
(iii) Electron affinity
Key relations noted in the input:
Example 4. How many Cl atoms can you ionise in the process [reaction shown in image] if the energy liberated for the process [image] for one Avogadro number of atoms. Given IP = 13.0 eV and EA = 3.60 eV.
Sol.
Let n atoms be ionised. 6.02 × 1023 × EA = n × IP
Example 5. The first ionisation potential of Li is 5.4 eV and the electron affinity of Cl is 3.6 eV. Calculate ΔH in kcal mol-1 for the reaction [image].
Sol.
The overall reaction is written into two partial equations 
= 1.8 × 23.06 kcal mol-1 = 41.508 kcal mol-1
Example 6. For the gaseous reaction [image] the value was calculated to be 19 kcal under conditions where cations and anions were prevented by electrostatic separation from combining with each other. The ionisation potential of K is 4.3 eV. What is the electron affinity of F?
Sol.
Example 7. The electron affinity of chlorine is 3.7 eV. How much energy in kcal is released when 2 g of chlorine is completely converted to Cl- ion in the gaseous state? (1 eV = 23.06 kcal mol-1)
Sol.
35.5 3.7 × 23.06 kcal
l .'. Energy released for conversion of 2 g gaseous chlorine into CI- ions
× 2 = 4.8 kcal
Hydration enthalpy (hydration energy) is the energy released when one mole of gaseous ions becomes surrounded by water molecules and forms hydrated ions in aqueous solution. It is an important component of solvation and helps determine solubility and reaction energetics in aqueous phase.
Note: Hydration enthalpy decreases down the group because ions become larger and their charge density decreases; lattice enthalpy often decreases faster (due to r-1 dependence in many lattice energy approximations), so overall solubility trends result from the balance between lattice and hydration enthalpies.
Lattice enthalpy is the energy associated with formation of one mole of an ionic solid from its gaseous ions. It is a measure of the strength of the ionic lattice and strongly influences melting point, hardness, solubility and other physical properties of ionic compounds.
Electronegativity is the tendency of an atom (in a bonded molecule) to attract shared electrons towards itself. It is a dimensionless quantity and cannot be measured directly; several scales have been proposed to quantify it.
The magnitude of electronegativity depends on ionisation potential and electron affinity; higher IE and more negative EA typically indicate higher electronegativity.
No single direct experimental method exists to determine electronegativity; common scales are:
(a) Pauling Scale
Linus Pauling introduced a semi-empirical scale based on bond dissociation energies. The difference in Pauling electronegativities is related to extra stabilization (ionic character) in an A-B bond compared to the average of A-A and B-B bonds.
(b) Mulliken Scale
Mulliken proposed that electronegativity can be taken as the arithmetic mean of ionisation energy (IE) and electron affinity (EA):
When IE and EA are in electron-volts, Mulliken values may be converted to the Pauling scale by an empirical factor (Mulliken values are larger numerically by a factor ≈ 2.8 compared to Pauling values).
(c) Allred-Rochow Scale
Allred and Rochow defined electronegativity as the electrostatic force exerted by the nucleus on valence electrons, proportional to effective nuclear charge divided by the square of an appropriate radius:
where Zeffective is the effective nuclear charge and r is the covalent radius (in Å).
Example 8. Ionisation potential and electron affinity of fluorine are 17.42 eV and 3.45 eV respectively. Calculate the electronegativity of fluorine according to Mulliken.
Sol.
When both IP and EA are taken in eV, Mulliken electronegativity = (IP + EA) / 2.
(I) Nomenclature. In binary compounds of two non-metals, the more electronegative element is named last with the suffix -ide. The less electronegative element is named first.
Example 9. Write correct formula and name of the following:
(a) ICl or ClI (b) FCl or ClF (c) BrCl or ClBr (d) BrI or IBr (e) OF2 or F2O (f) Cl2O or OCl2
Sol.
(a) ICl : Iodine chloride (I+ Cl-)
(b) ClF : Chlorine fluoride (Cl+ F-)
(c) BrCl : Bromine chloride (Br+ Cl-)
(d) IBr : Iodine bromide
(e) OF2 : Oxygen difluoride (oxygen is less electronegative than fluorine so O is written first)
(f) Cl2O : Dichlorine monoxide
(II) Nature of bond. If the difference of electronegativities is ≳ 1.7 (Pauling criterion) the bond is largely ionic; if the difference is less, the bond is largely covalent. (HF is an exception: although Δχ ≈ 1.9, the bond is largely covalent.)
(III) Metallic and nonmetallic character. Metals have low electronegativity; nonmetals have high electronegativity.
(IV) Partial ionic character in covalent bonds. Difference in electronegativities produces partial ionic character. Hanni and Smith provided an empirical relation to estimate percentage ionic character from Δχ.
Percentage ionic character =
where Δ = XA - XB, with X being electronegativity values.
(V) Bond length. Increasing difference of electronegativities generally shortens bond length due to increased bond polarity (Shoemaker and Stephenson equation referenced in the input).
(VI) Bond strength and stability. Bond strength A-B increases with increasing difference of electronegativities; for example, H-F > H-Cl > H-Br > H-I.
Example 10. Electronegativity is highest for which?
(1) -CH3(sp3)
(2) H2C = CH2(sp2)
(3) CH ≡ CH(sp)
(4) Equal in all
Ans. (3)
Ex.11 CF3NH2 is not a base, whereas CH3NH2 is a base. What is the reason ?
Sol. Fluorine atoms are strongly electronegative and withdraw electron density from nitrogen through inductive effect, reducing availability of the lone pair on N for protonation; hence CF3NH2 is a much weaker base than CH3NH2.
Example 12. OF2 is called oxygen difluoride, whereas Cl2O is called dichlorine monoxide. Why?
Sol. In OF2, fluorine is more electronegative than oxygen, so O carries positive character and is written first. In Cl2O, oxygen is more electronegative than chlorine, so Cl appears first as positive centres and O last as negative centre.
Example 13. Calculate electronegativity of fluorine from the following data:
EH - H = 104.2 kcal mol-1,
EF-F = 36.6 kcal mol-1
EH-F = 134.6 kcal mol-1,
XH = 2.1
Sol.
Using Pauling's equation relating bond energies,

Example 14 (repeat of Ex.7 in input). The electron affinity of chlorine is 3.7 eV. How much energy in kcal is released when 2 g of chlorine is completely converted to Cl- ion in a gaseous state? (1 eV = 23.06 kcal mol-1)
Sol.
35.5 3.7 × 23.06 kcal
∴ Energy released for conversion of 2 g gaseous chlorine into Cl- ions
× 2 = 4.8 kcal
Example 15 (Pauling repeat). Calculate electronegativity of fluorine from: EH-H = 104.2 kcal mol-1,
EF-F = 36.6 kcal mol-1,
EH-F = 134.6 kcal mol-1,
XH = 2.05.
Sol.

From (i)
= = 1.5534
xF = xH + 1.4434 = 2.05 + 1.5534 = 3.6034
Metals tend to lose electrons to form cations; this electropositive tendency defines their metallic character. Trends in metallic character follow ionisation energy and atomic size: metallic character increases where ionisation energy is low and size is large.
Oxygen reacts with most elements (exceptions: noble gases and some noble metals like Au, Pd, Pt under ordinary conditions) to form oxides. Oxides vary in bonding and properties according to the element:
The tendency of Group 1 (alkali) metals to form oxygen-rich compounds (peroxides, superoxides) increases down the group due to increasing cation radius and decreasing charge density. In Group 2, heavier members (Ca, Sr, Ba) form peroxides under appropriate conditions (Be does not).
Oxides of IA and IIA dissolve in water forming basic solution where as other oxides do not dissolve in water.
Oxygen combines with many non-metals to form covalent oxides such as CO, CO2, SO2, P4O10, Cl2O7 etc.
Examples of nonmetal oxide hydrolysis:
P4O10 + 6H2O → 4H3 PO4 ;
SO3 + H2O → H2SO4 : Cl2O7 + H2O → 2HClO4
Na2O | MgO | Al2O3 | SiO2 | P4O10 | SO3 | Cl2O7 |
Strongly | basic | Basic | amphoteric | Weakly Acidic | acidic | Acidic |
Strongly acidic CO, N2O, NO and H2O are neutral oxides.
Oxidation state (or valency in simple contexts) is the formal charge that an atom would have if all bonds were considered completely ionic. It can be inferred from electronic configuration or by counting electrons in the valence shell.


Across a period left to right the number of valence electrons increases from 1 to 8. When elements combine with hydrogen or oxygen, oxidation states vary; for example, in Na2O oxygen is -2 and Na is +1, whereas in F2O oxygen is +2 and fluorine is -1 because fluorine is more electronegative than oxygen.
Down a group the number of valence electrons remains the same so elements of a group commonly show similar valences (e.g., alkali metals are typically +1, alkaline earths +2).
The elements of the second period (Li, Be, B, C, N, O, F) show several anomalous properties compared with the heavier elements of the same groups. These anomalies arise mainly from small size, high electronegativity and absence of inner d/f orbitals.

Observed anomalies and reasons:
| 1. What is the effective nuclear charge and how does it impact the physical properties of elements? | ![]() |
| 2. How does the atomic radius change as you move across a period in the periodic table? | ![]() |
| 3. What is the trend in ionization energy as you move down a group in the periodic table? | ![]() |
| 4. How does electronegativity vary across a period in the periodic table? | ![]() |
| 5. Why do elements within a group in the periodic table have similar chemical properties? | ![]() |