Collisions are events in which two or more bodies exert large forces on each other for a very short time, causing abrupt changes in their velocities, kinetic energies and momenta. Collisions illustrate the application of conservation laws - especially the conservation of linear momentum - and provide clear examples of how energy may be redistributed between kinetic and other forms (for example, internal energy or potential energy during deformation).

A collision may be conceptually divided into three stages:

Two conservation principles are central to collision problems:
Collisions are classified in two common ways:


The collision in which both the total linear momentum and the total kinetic energy of the system remain conserved is called an elastic collision.
The collision in which only the total linear momentum is conserved but kinetic energy is not conserved (some is dissipated or converted into other forms) is called an inelastic collision.

If the initial and final velocities of colliding bodies lie along the same line, then the collision is called one dimensional or head-on collision.
Applying Newton’s experimental law, we have


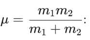
Equivalent form using reduced mass 

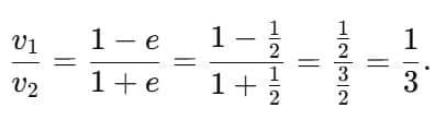
Example 1:
One sphere collides with another sphere of the same mass at rest inelastically. If the coefficient of restitution is , the ratio of their speeds after the collision is:
(a)
(b)
(c)
(d)
Sol: (c) 1 : 3
Explanation:
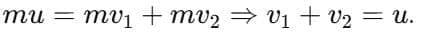
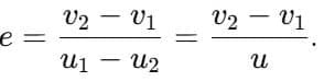
Let masses be equal: m1 = m2 = m, initial velocities: u1 = u, u2 = 0. After the collision, the speeds are v1 and v2.
Momentum: 
Restitution: 
Solving, we get v2 = 1 + e2 u, v1 = 1 − e2 u.
Therefore, 
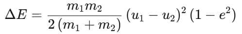
In a perfectly inelastic collision the bodies move independently before impact but after collision they stick together and move as a single combined mass.

(i) When the colliding bodies move in the same direction:
By conservation of momentum:


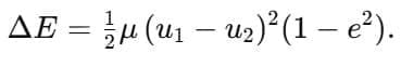
Loss in kinetic energy:


(ii) When the colliding bodies move in opposite directions:

By conservation of momentum:


When m1u1 > m2u2, then vcomb > 0 (positive), i.e., the combined body moves along the direction of motion of mass m1.
When m1u1 < m2u2, then vcomb < 0, i.e., the combined body moves opposite to the motion of mass m1.
Loss in kinetic energy:

Example 2: A body of mass 2 kg is placed on a horizontal frictionless surface. It is connected to one end of a spring whose force constant is 250 N/m. The other end of the spring is joined with the wall. A particle of mass 0.15 kg moving horizontally with speed v sticks to the body after collision. If it compresses the spring by 10 cm, the velocity of the particle is
(a) 3 m/s
(b) 5 m/s
(c) 10 m/s
(d) 15 m/s
Sol:

By the conservation of linear momentum: initial momentum of particle = final momentum of the combined mass.

By conservation of energy: compression of the spring stores the kinetic energy of the combined mass after collision.

Substituting and solving:


Putting numerical values:


Let two bodies of masses m1 and m2 moving with initial velocities u1 and u2 in the same direction and they collide such that after collision their final velocities are v1 and v2 respectively.

Conservation of momentum:

This implies:

Conservation of kinetic energy:

This implies:

Dividing the energy equation by the momentum equation leads to the relation between relative velocities before and after collision (equivalent to the restitution relation for elastic collisions):

This implies:

Further, from the derived relations we obtain expressions for v1 and v2 in terms of u1, u2, m1 and m2:

Substituting and rearranging, we get:

Similarly:

(i) Equal masses (m1 = m2):

(ii) Very heavy projectile on a light target (m1 ≫ m2):


Substituting m2 = 0, we get:
v1 = u1 and v2 = 2u1 − u2
Sub case: u2 = 0, i.e. the target is at rest.
Example: Collision of a truck with a cyclist.

(iii) Light projectile colliding with a very heavy target (m1 ≪ m2):
Example: Collision of a ball with a massive wall.
Before collision: The ball of mass m1 = 50 gm is moving with velocity u1 = 30 m/s, and the wall is stationary.
After collision: The ball rebounds with velocity v1 = −26 m/s, and the wall remains stationary with v2 = 2 m/s.
Sub case:
If u2 = 0 (i.e., the target is at rest), then v1 = −u1 and v2 = 0.
This means the ball rebounds with the same speed in the opposite direction when the target is stationary.

Example 3:
Assertion (A): In an elastic collision of two billiard balls, the total kinetic energy is conserved during the short time of collision of the balls (i.e., when they are in contact).
Reason (R): Energy spent against friction does not follow the law of conservation of energy.
(a) Both A and R are true, and R is a correct explanation of A
(b) Both A and R are true, but R is not a correct explanation of A
(c) A is true, but R is false
(d) Both A and R are false
Sol: (d) Both A and R are false
Explanation:
(i) During the short contact time some kinetic energy may be temporarily stored as elastic potential energy of deformation; if rebound is perfectly elastic that stored energy returns to kinetic energy, but during contact the instantaneous kinetic energy of individual bodies may change. Thus the statement that kinetic energy is conserved at every instant during contact is not strictly correct.
(ii) The law of conservation of energy is always valid; energy "spent" against friction is converted into other forms (heat, sound), but total energy remains conserved.
If the initial and final velocities of colliding bodies do not lie along the same line, then the collision is called two dimensional or oblique Collision.
In horizontal direction,
m1u1 cos α1 + m2u2 cos α2= m1v1 cos β1 + m2v2 cos β2

In vertical direction.
m1u1 sin α1 – m2u2 sin α2 = m1u1 sin β1 – m2u2 sin β2
If m1 = m2 and α1 + α2 = 90°
then β1 + β2 = 90°
If a particle A of mass m1 moving along z-axis with a speed u makes an elastic collision with another stationary body B of mass m2

From conservation law of momentum,
m1u = m1v1 cos α + m2v2 cos β
sin β2v2 sin α – m1v1O = m
Example 4 : Three particles A, B, and C of equal mass are moving with the same velocity v along the medians of an equilateral triangle. These particles collide at the center G of the triangle. After the collision, A becomes stationary, B retraces its path with velocity v, then the magnitude and direction of the velocity of C will be:
(a) v and opposite to B
(b) v and in the direction of A
(c)
(d) v and in the direction of B

Sol:
From the figure (I), it is clear that before the collision, the initial momentum of the system is zero.
After the collision, A becomes stationary, B retraces its path with velocity v. Let C move with velocity V making an angle θ from the horizontal. As the initial momentum of the system is zero, therefore horizontal and vertical momentum after the collision should also be equal to zero.
From figure (II):
Horizontal momentum: v cosθ + v cos30∘ = 0 ……(i)
Vertical momentum: v sinθ − v sin30∘ = 0 ……(ii)
By solving (i) and (ii), we get θ = −30∘ and V = v, i.e., C will move with velocity v in the direction of B.
97 videos|376 docs|102 tests |
| 1. What are the main types of collisions in physics? | ![]() |
| 2. How do you calculate the momentum before and after a collision? | ![]() |
| 3. What is the difference between elastic and inelastic collisions? | ![]() |
| 4. How does momentum conservation apply to collisions? | ![]() |
| 5. What are real-life examples of collisions? | ![]() |