FIR Filters | Signals and Systems - Electronics and Communication Engineering (ECE) PDF Download

In digital signal processing, there are two main types of filters: FIR and IIR

FIR filters have a finite impulse response, which means they settle to zero in a fixed amount of time. This is different from IIR filters, which can keep responding indefinitely. 

An FIR filter of order N takes N+1 samples to settle to zero.

Let us study Fourier Series Method to design an FIR Filter.

Fourier series Method

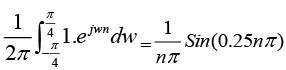
1. Frequency response of a discrete-time filter is a periodic function with period Ωs (sampling freq).

FIR Filters | Signals and Systems - Electronics and Communication Engineering (ECE)

FIR Filters | Signals and Systems - Electronics and Communication Engineering (ECE)


2. From the F.S analysis we know that any periodic function can be expressed as a linear combination of complex exponentials.

Desired Frequency Response

The desired freqency response of a discrete time filter can be represented by F.S as

FIR Filters | Signals and Systems - Electronics and Communication Engineering (ECE) 

where, T = sampling period

Fourier Series Coefficient

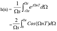
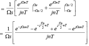
The F.S coefficient or impulse response samples of filter can be obtained using

FIR Filters | Signals and Systems - Electronics and Communication Engineering (ECE)

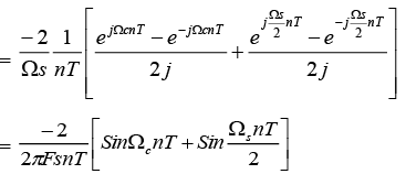
clearly if we wish to realize this filter with impulse response h(n), then it must have finite number of coefficients, which is equivalent to truncating the infinite expansion of H(e jΩT) ,which leads to approximation of (e jΩT ) which is denoted by 

FIR Filters | Signals and Systems - Electronics and Communication Engineering (ECE)

We choose m=n-1/2,   in order to keep ‘n’ no of samples in h(n).

FIR Filters | Signals and Systems - Electronics and Communication Engineering (ECE)

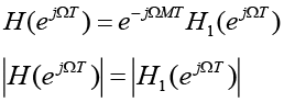
However, this filter can’t be physically realizable due to the presence of +ve powers of Z, means that the filter must produce an output that is advanced in time with respect to the i/p. this difficulty can be overcome by introducing a delay  M=N-1/2, samples.

Therefore H(z) = Z-M H1(z) = Z-M FIR Filters | Signals and Systems - Electronics and Communication Engineering (ECE)

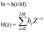
H(z) = h(-M)Z0 + h(-M+1) Z-1 +…. +h(M) Z-2M

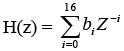
Let bi = h(i-M) for  i=0 to 2M

H(z) = FIR Filters | Signals and Systems - Electronics and Communication Engineering (ECE) be the transfer function of discrete filter that is physically realizable.

Properties

1. N=2M+1, impulse response co-eff, bi = 0 to 2M.

2. h(n) is symmetric about bM

Ex:   M=4

FIR Filters | Signals and Systems - Electronics and Communication Engineering (ECE)

3. The duration of impulse response is Ti = 2MT

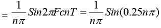
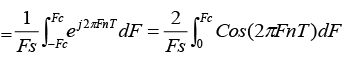
4. Its magnitude and time delay function can be found in the following way

FIR Filters | Signals and Systems - Electronics and Communication Engineering (ECE)

This implies that magnitude response of the filter we have desired approximates the desire magnitude response. The time delay of H(ejw) is a constant M. thus sinusoids of different frequencies are delayed by the same amount as they are processed by the filter, we have designed. Consequently, this is a linear phase filter, which means that it does not introduce phase distortion.

Example 1:

Design a LPF (FIR) filter with frequency response

FIR Filters | Signals and Systems - Electronics and Communication Engineering (ECE)

Solution:

FIR Filters | Signals and Systems - Electronics and Communication Engineering (ECE)

FIR Filters | Signals and Systems - Electronics and Communication Engineering (ECE)

FIR Filters | Signals and Systems - Electronics and Communication Engineering (ECE)

FIR Filters | Signals and Systems - Electronics and Communication Engineering (ECE)

FIR Filters | Signals and Systems - Electronics and Communication Engineering (ECE)

FIR Filters | Signals and Systems - Electronics and Communication Engineering (ECE)

FIR Filters | Signals and Systems - Electronics and Communication Engineering (ECE)

Example 2:

Design LPF that approximate following frequency response.

H(F)    = 1     0≤ F ≤ 1000Hz

                                     = 0 else where 1000 ≤ F≤ Fs/2

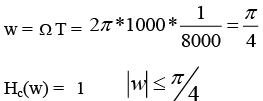
When the sampling frequency is 8000 SPS (Samples per second). The impulse response duration is to be limited to 2.5ms.

Solution:

FIR Filters | Signals and Systems - Electronics and Communication Engineering (ECE) N=21

FIR Filters | Signals and Systems - Electronics and Communication Engineering (ECE)

FIR Filters | Signals and Systems - Electronics and Communication Engineering (ECE)FIR Filters | Signals and Systems - Electronics and Communication Engineering (ECE)

FIR Filters | Signals and Systems - Electronics and Communication Engineering (ECE)

OR

FIR Filters | Signals and Systems - Electronics and Communication Engineering (ECE)

FIR Filters | Signals and Systems - Electronics and Communication Engineering (ECE)

FIR Filters | Signals and Systems - Electronics and Communication Engineering (ECE)

h(0) = 0.25      h(6) = -0.05305

h(1) = 0.22508   h(7) = -0.03215

h(2) = 0.15915     h(8) = 0

h(3) = 0.07503    h(9) = 0.02501

h(4) = 0    h(10) = 0.03183

h(5) = -0.04502

bi = h(i-10)

FIR Filters | Signals and Systems - Electronics and Communication Engineering (ECE)

FIR HPF

FIR Filters | Signals and Systems - Electronics and Communication Engineering (ECE)

FIR Filters | Signals and Systems - Electronics and Communication Engineering (ECE)

FIR Filters | Signals and Systems - Electronics and Communication Engineering (ECE)

FIR Filters | Signals and Systems - Electronics and Communication Engineering (ECE)

FIR Filters | Signals and Systems - Electronics and Communication Engineering (ECE)

FIR BPF

FIR Filters | Signals and Systems - Electronics and Communication Engineering (ECE)FIR Filters | Signals and Systems - Electronics and Communication Engineering (ECE)

Example:

Desing a BPF for H(f) = 1 160≤ F ≤ 200Hz

                                                 = 0 else where

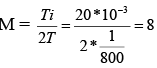
Fs = 800 SPS and Ti = 20 ms

Solution:

FIR Filters | Signals and Systems - Electronics and Communication Engineering (ECE) N = 17

FIR Filters | Signals and Systems - Electronics and Communication Engineering (ECE)FIR Filters | Signals and Systems - Electronics and Communication Engineering (ECE)

h(0) = 0.1      h(4) = 0.07568

h(1) = 0.01558    h(5) = 0.06366

h(2) = -0.09355  h(6) = -0.05046

h(3) = -0.04374   h(7) = -0.07220   h(8) = 0.02338

FIR Filters | Signals and Systems - Electronics and Communication Engineering (ECE)

bi = h(i-8)    h(-n) = h(n)

 

The document FIR Filters | Signals and Systems - Electronics and Communication Engineering (ECE) is a part of the Electronics and Communication Engineering (ECE) Course Signals and Systems.
All you need of Electronics and Communication Engineering (ECE) at this link: Electronics and Communication Engineering (ECE)
36 videos|117 docs|63 tests

FAQs on FIR Filters - Signals and Systems - Electronics and Communication Engineering (ECE)

1. What is a FIR filter?
Ans. A Finite Impulse Response (FIR) filter is a type of digital filter that uses a finite number of past input samples to calculate the current output sample. It is a non-recursive filter, meaning that it does not use feedback from previous output samples. The filter coefficients are fixed and do not change over time.
2. How does a FIR filter work?
Ans. A FIR filter works by convolving the input signal with a set of filter coefficients. Each filter coefficient represents the desired amplitude and phase response of the filter at a particular frequency. The input signal is multiplied by each coefficient, and the results are summed to produce the output signal. The filter coefficients determine the frequency response and shape of the filter.
3. What are the advantages of FIR filters?
Ans. FIR filters have several advantages, including linear phase response, stability, and easy implementation. Their linear phase response ensures that all frequency components of the input signal experience the same delay, which is important in applications where preserving the signal's timing is crucial. FIR filters are also inherently stable, meaning they do not exhibit oscillations or instability. Additionally, FIR filters can be easily implemented using digital signal processing techniques.
4. What are the limitations of FIR filters?
Ans. FIR filters have some limitations, including higher computational requirements compared to other filter types. Since FIR filters do not use feedback, they require a longer filter length to achieve a similar level of frequency selectivity as recursive filters. This can result in increased computational complexity and memory requirements. Additionally, FIR filters may introduce a significant delay due to the filter length, which can be problematic in real-time applications.
5. How can FIR filters be designed?
Ans. FIR filters can be designed using various methods, such as windowing, frequency sampling, and optimization algorithms. Windowing methods involve multiplying a desired frequency response with a window function to obtain the filter coefficients. Frequency sampling methods directly specify the desired frequency response at specific frequencies and interpolate the coefficients. Optimization algorithms aim to minimize the difference between the desired and actual frequency response by adjusting the filter coefficients iteratively. The choice of design method depends on the desired filter characteristics and design requirements.
Related Searches

FIR Filters | Signals and Systems - Electronics and Communication Engineering (ECE)

,

Viva Questions

,

Summary

,

practice quizzes

,

video lectures

,

Objective type Questions

,

mock tests for examination

,

Extra Questions

,

past year papers

,

study material

,

shortcuts and tricks

,

Important questions

,

Previous Year Questions with Solutions

,

pdf

,

FIR Filters | Signals and Systems - Electronics and Communication Engineering (ECE)

,

Free

,

Exam

,

Sample Paper

,

ppt

,

Semester Notes

,

MCQs

,

FIR Filters | Signals and Systems - Electronics and Communication Engineering (ECE)

;