You can prepare effectively for JEE Crack JEE with 35 Years of Previous Year Solved Papers with this dedicated MCQ Practice Test (available with solutions) on the important topic of "Test: Single Correct MCQs: Properties of Triangle | JEE Advanced". These 19 questions have been designed by the experts with the latest curriculum of JEE 2026, to help you master the concept.
Test Highlights:
Sign up on EduRev for free to attempt this test and track your preparation progress.
If the bisector of the angle P of a triangle PQR meets QR in S, then
Detailed Solution: Question 1
From the top of a light-house 60 metres high with its base at the sea-level, the angle of depression of a boat is 15°. The distance of the boat from the foot of the light house is
Detailed Solution: Question 2
In a triangle ABC, angle A is greater than angle B. If the measures of angles A and B satisfy the equation 3 sin x – 4 sin3x – k = 0, 0 < k < 1, then the measure of angle C is
Detailed Solution: Question 3
If the lengths of the sides of triangle are 3, 5, 7 then the largest angle of the triangle is
Detailed Solution: Question 4
In a triangle ABC,
Let D divide BC internally in the ratio 
Detailed Solution: Question 5
In a triangle ABC, 
Detailed Solution: Question 6
In a triangle ABC, let ∠C = π/2. If r is the inradius and R is the circumradius of the triangle, then 2(r + R) is equal to
Detailed Solution: Question 7
A pole stands vertically inside a triangular park ΔABC. If the angle of elevation of the top of the pole from each corner of the park is same, then in ΔABC the foot of the pole is at the
Detailed Solution: Question 8
A man from the top of a 100 metres high tower sees a car moving towards the tower at an angle of depression of 30°. After some time, the angle of depression becomes 60°. The distance (in metres) travelled by the car during this time is
Detailed Solution: Question 9
Which of the following pieces of data does NOT uniquely determine an acute-angled triangle ABC (R being the radius of the circumcircle)?
Detailed Solution: Question 10
If the angles of a triangle are in the ratio 4 : 1 : 1, then the ratio of the longest side to the perimeter is
Detailed Solution: Question 11
The sides of a triangle are in th e rat io 1 : √3 : 2, then the angles of the triangle are in the ratio
Detailed Solution: Question 12
In an equil ateral triangle, 3 coins of radii 1 unit each are kept so that they touch each other and also the sides of the triangle. Area of the triangle is

Detailed Solution: Question 13
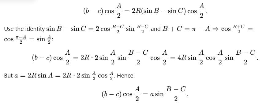
In a triangle ABC, a, b, c are the lengths of its sides and A, B, C are the angles of triangle ABC. The correct relation is given by
Detailed Solution: Question 14
One angle of an isosceles Δ is 120º and radius of its incircle = √3 . Then the area of the triangle in sq. units is
Detailed Solution: Question 15
Let ABCD be a quadrilateral with area 18, with side AB parallel to the side CD and 2AB = CD. Let AD be perpendicular to AB and CD. If a circle is drawn inside the quadrilateral ABCD touching all the sides, then its radius is
Detailed Solution: Question 16
If the angles A, B and C of a triangle are in an arithmetic progression and if a, b and c denote the lengths of the sides opposite to A, B and C respectively, then the value of the expression 
Detailed Solution: Question 17
Let PQR be a triangle of area
where a, b, and c are the lengths of the sides of the triangle 
Detailed Solution: Question 18
In a triangle the sum of two sides is x and the product of the same sides is y. If x2 – c2 = y, where c is the third side of the triangle, then the ratio of the in radius to the circum-radius of the triangle is
Detailed Solution: Question 19
347 docs|185 tests |