CBSE Class 10  >  Class 10 Test  >  Mathematics (Maths)   >  Important Questions: Pair of Linear Equations in Two Variables - Class 10 MCQ

Important Questions: Pair of Linear Equations in Two Variables - Free MCQ


MCQ Practice Test & Solutions: Important Questions: Pair of Linear Equations in Two Variables (10 Questions)

You can prepare effectively for Class 10 Mathematics (Maths) Class 10 with this dedicated MCQ Practice Test (available with solutions) on the important topic of "Important Questions: Pair of Linear Equations in Two Variables". These 10 questions have been designed by the experts with the latest curriculum of Class 10 2026, to help you master the concept.

Test Highlights:

  • - Format: Multiple Choice Questions (MCQ)
  • - Duration: 10 minutes
  • - Number of Questions: 10

Sign up on EduRev for free to attempt this test and track your preparation progress.

Important Questions: Pair of Linear Equations in Two Variables - Question 1

If a pair of linear equations has infinitely many solutions, then the lines representing them will be

Detailed Solution: Question 1

If two lines i.e. a pair of linear equations, has infinitely many solutions it means lines are overlapping each other i.e. coincident lines.

Important Questions: Pair of Linear Equations in Two Variables - Question 2

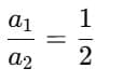
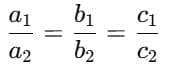
The pair of linear equations 2x + 3y = 5 and 4x + 6y = 10 is

Detailed Solution: Question 2

a1 / a2 = b1 / b2 = c1 / c2
2/4 = 3/6 = 5/10
1/2 = 1/2 = 1/2
So, a1 / a2 = b1 / b2 = c1 / c2 
When these are equal then it is consistent.
Therefore option (C) is correct .

Important Questions: Pair of Linear Equations in Two Variables - Question 3

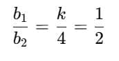
For which value of k does the pair of equations x + ky = 5 and 2x + 4y = 10 have infinitely many solutions?

Detailed Solution: Question 3

Step 1: Write equations in standard form
x + ky - 5 = 0 ..........(1)
2x + 4y -10 = 0 ..........(2)

Step 2: Use condition for infinitely many solutions
For a pair of linear equations
a1​x + b1​y + c1 ​= 0
a2​x + b2​y + c2 ​= 0
The condition is:

Step 3: Compare coefficients
From equation (1):
a1 ​= 1, b1 ​= k, c1 ​= −5
From equation (2):
a2 ​= 2, b2 ​= 4, c2 ​= −10

Step 4: Find the value of k


k = 2

So, Correct Option: B

Important Questions: Pair of Linear Equations in Two Variables - Question 4

The pair of equations y = 0 and y = - 7 has

Detailed Solution: Question 4

The equation are y=0 and y=-7
y=0 is on the x-axis and y=-7 is the line parallel to the x-axes at a distance 7 units from y=0
The line will be parallel
if we try to solve these equations we get 0=7 which is absurd.
So the equations are inconsistent.
Therefore there is no solution.

Important Questions: Pair of Linear Equations in Two Variables - Question 5

The father’s age is six times his son’s age. Four years hence, the age of the father will be four times his son. The present ages (in years) of the son and the father are, respectively. 

Detailed Solution: Question 5

Let the present age of father's be x years and present age of son's be y years.

According to the problem
x = 6y 
After 4 years
x + 4 = 4(y + 4)
Hence we get two equations
x = 6y ...(1)
x + 4 = 4(y + 4) ...(2)
Simplifying eq (2)
x + 4 = 4y + 16
x - 4y = 12
Put x = 6y in eq(2), we get
6y - 4y = 12
2y = 12
y = 6 years
and x = 6y = 36 years
Present age of son = 6 years
and present age of father = 36 years

Important Questions: Pair of Linear Equations in Two Variables - Question 6

The pair of equations x = a and y = b graphically represents lines which are

Detailed Solution: Question 6

By graphically in every condition, if a, b>>0; a, b< 0, a>0, b< 0; a<0, b>0 but a = b≠ 0.
The pair of equations x = a and y = b graphically represents lines which are intersecting at (a, b).
If a, b > 0 

Similarly, in all cases two lines intersect at (a, b).

Important Questions: Pair of Linear Equations in Two Variables - Question 7

The sum of the digits of a two-digit number is 9. If 27 is added to it, the digit of the number gets reversed. The number is

Detailed Solution: Question 7

Lets,

First digit number = x

Second digit number = y

Number = (x+10y)

A/Q,

x + y = 9 ...................... (i)

A/Q,

(x+10y) = (10x+y) + 27

x + 10y = 10x + y +27

9x - 9y = 27

9(x - y) = 27

x - y = 27/9

x - y = 3 ......................... (ii)

Equation (i) and (ii) we get,

x = 3

Putting the value of x in eq.(i)

we get,

y = 6

Number = (10x +y)

= 10 x 3 + 6

= 30 + 6

= 36

Important Questions: Pair of Linear Equations in Two Variables - Question 8

Match the Column:

Detailed Solution: Question 8

The solution can be improved by analysing the image and understanding the correct pairing of items. This leads us to conclude that the correct answer is option D (1 - A, 2 - C, 3 - B).

Important Questions: Pair of Linear Equations in Two Variables - Question 9

If x = a, y = b is the solution of the pair of equations x - y = 2 and x + y = 4, then the respective values of a and b are

Detailed Solution: Question 9

To find the values of a and b in the equations, follow these steps:

  • We have the equations: x - y = 2 and x + y = 4.
  • Add these two equations together:
    • (x - y) + (x + y) = 2 + 4
    • 2x = 6
    • x = 3
  • Substitute x = 3 back into the first equation:
    • 3 - y = 2
    • y = 1

Thus, the values a and b are 3 and 1, respectively.

Important Questions: Pair of Linear Equations in Two Variables - Question 10

A pair of linear equations which has a unique solution x = 2, y = - 3 is

Detailed Solution: Question 10

From the first equation of option B, Rearrange the equation
x - 4y -14 = 0
x = 4y+14

Substituting the value of x into the second equation 
5(4y + 14) - y - 13 = 0
20y + 70 - y -13 = 0
19y + 57 = 0
19y = -57
y = -57 ÷ 19 
y = -3

Putting y = -3 in x = 4y+14
x = 4(-3) + 14
x = -12 + 14
x = 2

So, Option B is correct.

118 videos|526 docs|45 tests
Information about Important Questions: Pair of Linear Equations in Two Variables Page
In this test you can find the Exam questions for Important Questions: Pair of Linear Equations in Two Variables solved & explained in the simplest way possible. Besides giving Questions and answers for Important Questions: Pair of Linear Equations in Two Variables, EduRev gives you an ample number of Online tests for practice
118 videos|526 docs|45 tests
Download as PDF