You can boost your JEE 2026 exam preparation with this NATA Mock Test - 4 (available with detailed solutions).. This mock test has been designed with the analysis of important topics, recent trends of the exam, and previous year questions of the last 3-years. All the questions have been designed to mirror the official pattern of JEE 2026 exam, helping you build speed, accuracy as per the actual exam.
Mock Test Highlights:
Sign up on EduRev for free and get access to these mock tests, get your All India Rank, and identify your weak areas to improve your marks & rank in the actual exam.
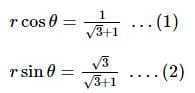
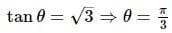
Detailed Solution: Question 1
Detailed Solution: Question 2
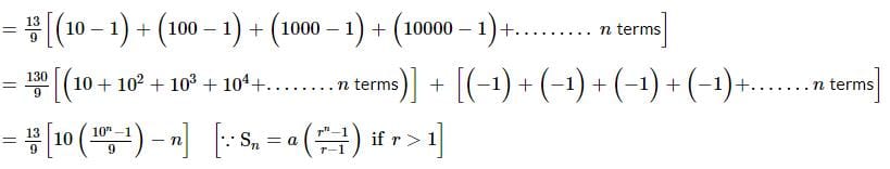
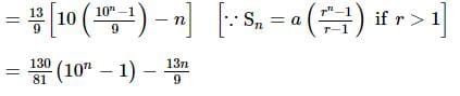
Find the sum of the following sequence:
13, 143, 1443, 14443,................. to n terms.
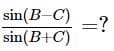
Detailed Solution: Question 3
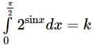
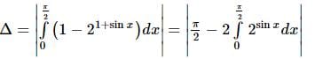
Area[sq.units] bounded by the curve y = 1 − 21+sinx and the x-axis for x∈[0, π/2], where
is
Detailed Solution: Question 4
Detailed Solution: Question 5
Detailed Solution: Question 6
Detailed Solution: Question 7
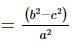
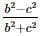
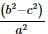
f α, β are the roots of x² - p(x + 1) + c = 0, then (α + 1)(β + 1) =
Detailed Solution: Question 8
Detailed Solution: Question 9
By using the inputs provided, answer the following question. If,
A # B means B is the father of A.
A * B means B is the mother of A.
A η B means B is the brother of A.
A | B means B is the sister of A.
Which of the following means X is the grandmother of Y?
Detailed Solution: Question 10
If in the certain word ‘DICKINSON’ is written as ‘357950210’ and ‘DIPP’ is written as ‘3566’, then write ‘PICNIC’ using the same code?
Detailed Solution: Question 11
Detailed Solution: Question 12
Find out which of the diagrams given in the alternatives correctly represents the relationship stated in the question. Sharks, Whales, Turtles
Detailed Solution: Question 13
Detailed Solution: Question 14
If the vertices of a triangle be (a, b - c), (b, c - a) and (c, a - b), then the centroid of the triangle lies
Detailed Solution: Question 15
Detailed Solution: Question 16
Detailed Solution: Question 17
The number of 4-letter words, with or without meaning, that can be formed out of the letters of the word 'LOGARITHMS', if repetition of letters is not allowed, is:
Detailed Solution: Question 18
Find the sum of the following sequence:
13, 143, 1443, 14443,................. to n terms.
Detailed Solution: Question 19
Area[sq.units] bounded by the curve y = 1 − 21+sinx and the x-axis for x∈[0, π/2], where
is
Detailed Solution: Question 20
Detailed Solution: Question 21
Detailed Solution: Question 22
Detailed Solution: Question 23
If A and B are fixed points in the plane such that PA/PB = k (constant) for all P on a given circle, then the value of k cannot be equal to:
Detailed Solution: Question 24
Which one of the answer shows the correct views of 3D problem figure after the problem figure is open to a 2D image?

Detailed Solution: Question 25
By using the inputs provided, answer the following question. If,
A # B means B is the father of A.
A * B means B is the mother of A.
A η B means B is the brother of A.
A | B means B is the sister of A.
Which of the following means X is the grandmother of Y?
Detailed Solution: Question 26
Look at this series: J14, L16, __, P20, R22, ...
What number should fill the blank?
Detailed Solution: Question 27
If in the certain word ‘DICKINSON’ is written as ‘357950210’ and ‘DIPP’ is written as ‘3566’, then write ‘PICNIC’ using the same code?
Detailed Solution: Question 28
Find out which of the diagrams given in the alternatives correctly represents the relationship stated in the question. Sharks, Whales, Turtles
Detailed Solution: Question 29
Select a suitable figure from the Answer Figures that would replace the question mark (?).


Detailed Solution: Question 30
1 videos|10 docs|17 tests |