The probability distribution of a random variable is given by

If p1 + p2 + p3 = 0.8 and p2 + p3 + p4 = 0.9 then
Let R be a relation on N defined by x + 2y = 8. The domain of R is:
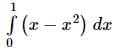
The area of the region bounded by the curve y = x − x² between x = 0 and x = 1 is:
If ∑x = 15, ∑y = 36, ∑xy = 110, and n = 5, then cov(x, y) equals:
If it was Monday on 4th February of 2004,what was the day on 1st January of the same year?
Which of the following pairs of symbols will be opposite faces when the given sheet is folded to form a cube?

Read the following information carefully and answer the question that follows.
(i) 'A + B' means 'A is the father of B'.
(ii) 'A × B' means 'A is the daughter of B'.
(iii) 'A ÷ B' means 'A is the brother of B'.
(iv) 'A − B' means 'A is the wife of B'.
In ‘L − M + K ÷ F’, how is F related to L?
In the question given below which one of the five answer figures on the right should come after the problem figures on the left, if the sequence were continued?

In a certain code, POLISH is written as MLIFPE, then DIG is the code for which word?
Four words have been given out of which three are alike in some manner, while the fourth one is different. Choose the word which is different from the rest.
In the following question figure, find the answer figure which can be formed by rotating the question figure 180°Clockwise direction?

Where is the vanishing point located in a zero-point perspective drawing
Which one of the following is not the principal organ of the United Nations?
What is the difference between an absolute date and a relative date?
Consider the following statements
1. Nuclear Supplier Group is a group at Nuclear Supplier Countries that seek to prevent nuclear proliferation by controlling the export at materials, equipment and technology that can be used to manufacture nuclear weapon.
2. The Nuclear Supplier Group was founded in 1974.
3. NSG have 5 members who have veto power in UN and Nuclear Power Countries.
Which of the statement(s) given above is/are correct?