You can prepare effectively for NEET Topic-wise MCQ Tests for NEET with this dedicated MCQ Practice Test (available with solutions) on the important topic of "Test: Electrostatic Potential due to a Point Charge". These 10 questions have been designed by the experts with the latest curriculum of NEET 2026, to help you master the concept.
Test Highlights:
Sign up on EduRev for free to attempt this test and track your preparation progress.
Electric potential due to a point charge q at a distance r from the point is _______ (in the air).
Detailed Solution: Question 1
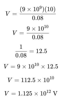
Calculate electric potential due to a point charge of 10C at a distance of 8cm away from the charge.
Detailed Solution: Question 2
What is the amount of work done to bring a charge of 4*10-3C charge from infinity to a point whose electric potential is 2*102V?
Detailed Solution: Question 3
Two point charges 10C and -10C are placed at a certain distance. What is the electric potential of their midpoint?
Detailed Solution: Question 4
What is the electric potential of the system?

Detailed Solution: Question 5
A small charge q is rotated in a complete circular path of radius r surrounding another charge Q. The work done in this process is _________
Detailed Solution: Question 6
Two plates are kept at a distance of 0.1m and their potential difference is 20V. An electron is kept at rest on the surface of the plate with lower potential. What will be the velocity of the electron when it strikes another plate?
Detailed Solution: Question 7
Electric field intensity and electric potential at a certain distance from a point charge is 32 N/C and 16 J/C. What is the distance from the charge?
Detailed Solution: Question 8
Three charges –q, Q and –q are placed in a straight line maintaining equal distance from each other. What should be the ratio q/Q so that the net electric potential of the system is zero?
Detailed Solution: Question 9
Three positive charges are kept at the vertices of an equilateral triangle. We can make the potential energy of the system zero by adjusting the amount of charges. This statement is ______
Detailed Solution: Question 10
6 docs|803 tests |