CBSE Class 8  >  Class 8 Test  >  Mathematics (Maths) (Old NCERT)  >  Olympiad Test: Algebraic Expressions And Identities - Class 8 MCQ

Olympiad Test: Algebraic Expressions And Identities - Free MCQ with solutions


MCQ Practice Test & Solutions: Olympiad Test: Algebraic Expressions And Identities (20 Questions)

You can prepare effectively for Class 8 Mathematics (Maths) Class 8 (Old NCERT) with this dedicated MCQ Practice Test (available with solutions) on the important topic of "Olympiad Test: Algebraic Expressions And Identities". These 20 questions have been designed by the experts with the latest curriculum of Class 8 2026, to help you master the concept.

Test Highlights:

  • - Format: Multiple Choice Questions (MCQ)
  • - Duration: 20 minutes
  • - Number of Questions: 20

Sign up on EduRev for free to attempt this test and track your preparation progress.

Olympiad Test: Algebraic Expressions And Identities - Question 1

Which of the following is an expression?

Detailed Solution: Question 1

(c) Becoz highest power of variable 'x' is not equal to zero . ..

Olympiad Test: Algebraic Expressions And Identities - Question 2

Which of the following is a binomial?

Detailed Solution: Question 2

An algebraic expression consisting of unlike terms is called a binomial. 

so, 2x+7 is a binomial as it contains two unlike terms i.e 2x and 7.

Olympiad Test: Algebraic Expressions And Identities - Question 3

Expressions consists of _____________ and _______________.

Detailed Solution: Question 3

Variables and constants .This is because an expression is made up of these only.

Olympiad Test: Algebraic Expressions And Identities - Question 4

What degree does x3 - x2y2 - 8y2+ 2 have?

Detailed Solution: Question 4

Olympiad Test: Algebraic Expressions And Identities - Question 5

When numbers/literals are added or subtracted, they are called _________.

Detailed Solution: Question 5

Each number or literal is referred to as a term in algebra. When these terms are combined through addition or subtraction, they form an expression. Thus, the correct answer is 'terms.'

Olympiad Test: Algebraic Expressions And Identities - Question 6

Multiply (a + 7) and (b – 5).

Detailed Solution: Question 6

Olympiad Test: Algebraic Expressions And Identities - Question 7

Simplify: (x + y) (2x – 3y + z) – (2x – 3y)z 

Detailed Solution: Question 7

Olympiad Test: Algebraic Expressions And Identities - Question 8

If (x+1/x) = 6, find  x2+1/x2 

Detailed Solution: Question 8

x²+1/x² can be written as (x+1/x)²-2 on putting values we have 6²-2=34
(x+1/x)= x²+1/x²+2(x)(1/x)
(x+1/x)= x²+1/x²+2
(x+1/x)2-2 = x²+1/x²

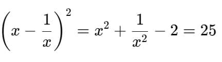
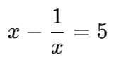
Olympiad Test: Algebraic Expressions And Identities - Question 9

If     then Find 

Detailed Solution: Question 9

Given:

Square both sides:

So,

Olympiad Test: Algebraic Expressions And Identities - Question 10

Which of the following is an expression?

Detailed Solution: Question 10

Option C is correct bcuz, an expression consists of at least one variable like :- x, y, z as well as a number. An expression can also be like this :- 2xy, 3y², 5xy+8, 6z²-3, etc

Olympiad Test: Algebraic Expressions And Identities - Question 11

Which of the following is a trinomial?

Detailed Solution: Question 11

Because monomial 1 term binomial, 2 terms and trinomial 3 terms therefor 7_3x+4y trinomial.

Olympiad Test: Algebraic Expressions And Identities - Question 12

Which of the following is like term as 3xy2?

Detailed Solution: Question 12

To determine which option is a like term to 3xy2, we need to identify terms that have the same variables raised to the same powers.
- Option A: 7xy - The variable part is xy, but in the given term, it's xy2. Since the exponents of y differ, these are not like terms.
- Option B: 7xy2 - The variable part is xy2, which matches exactly with the given term. Therefore, this is a like term.
- Option C: 7x - The variable part is x, but in the given term, it's xy2. Since the variables are different, these are not like terms.
- Option D: 7y2 - The variable part is y2, but in the given term, it's xy2. Since one includes x and the other does not, they are not like terms.
Thus, the correct answer is B because 7xy2 has the same variables with the same exponents as 3xy2, making them like terms.

Olympiad Test: Algebraic Expressions And Identities - Question 13

Subtract 3x (x – 4y + 5z) from 4x (2x – 3y + 10z).

Detailed Solution: Question 13

Correct option is D.

Olympiad Test: Algebraic Expressions And Identities - Question 14

n (4 + m) = 4n + ___ 

Detailed Solution: Question 14

N(4+m) = 4n + ___Here , n is multiplied by 4 which is added to n multiplied by m.so, n×4= 4n n×m= nm so the answer is 4n + nm.

Olympiad Test: Algebraic Expressions And Identities - Question 15

Using identity evaluate 297 × 303.

Detailed Solution: Question 15

297×303
(300-3)(300+3)
(300)whole square (3)whole square
90000-9
89991. identity 
{a-b} {a+b} ={a square} - {b square}

Olympiad Test: Algebraic Expressions And Identities - Question 16

Simplify: (1.5x – 4y)(1.5x + 4y +3) – 4.5x +12y 

Detailed Solution: Question 16

Simplify: (1.5x – 4y)(1.5x + 4y + 3) – 4.5x + 12y

To simplify the expression, follow these steps:

  • Multiply the binomial (1.5x – 4y) by the trinomial (1.5x + 4y + 3).
  • This results in:
    • 1.5x * 1.5x = 2.25x²
    • 1.5x * 4y = 6xy
    • 1.5x * 3 = 4.5x
    • -4y * 1.5x = -6xy
    • -4y * 4y = -16y²
    • -4y * 3 = -12y
  • Combine these results:
    • 2.25x² + (6xy - 6xy) - 16y² - 12y
  • Now, subtract (4.5x - 12y) from the result:
    • 2.25x² - 4.5x - 16y² + 12y

The final simplified expression is:

2.25x² - 16y²

Olympiad Test: Algebraic Expressions And Identities - Question 17

If x + y = 12 and xy = 32, find the value of x2+ y2.

Detailed Solution: Question 17

x=8 or 4 and y=4 or 8 so,x^2+y^2=64 +16 or 16 +64 =80 and that is option A.

Olympiad Test: Algebraic Expressions And Identities - Question 18

(x – a) (x + a) = ?

Detailed Solution: Question 18

(a-b)(a+b) = a^2 - b^2(x-a)(x+a) = x (x+a) -a (x+a) = x^2 + ax -ax -a^2 = x^2 - a ^2

Olympiad Test: Algebraic Expressions And Identities - Question 19

Which of the following is a trinomial?

Detailed Solution: Question 19

A trinomial is a polynomial consisting of exactly three terms. - Option A, 3a + 4b + 5, contains three distinct terms: 3a, 4b, and 5. - Options B, C, and D have fewer than three terms (binomials or monomials) and thus are not trinomials. Therefore, the correct answer is option A.

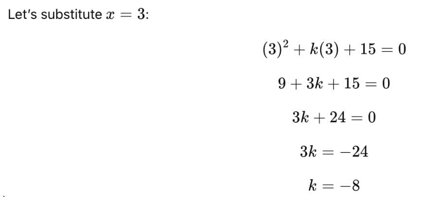
Olympiad Test: Algebraic Expressions And Identities - Question 20

If x = 3 is solution of x2 + kx + 15, value of k is

Detailed Solution: Question 20

112 videos|670 docs|49 tests
Information about Olympiad Test: Algebraic Expressions And Identities Page
In this test you can find the Exam questions for Olympiad Test: Algebraic Expressions And Identities solved & explained in the simplest way possible. Besides giving Questions and answers for Olympiad Test: Algebraic Expressions And Identities, EduRev gives you an ample number of Online tests for practice
Download as PDF