You can prepare effectively for Airforce X Y / Indian Navy SSR Mathematics for Airmen Group X with this dedicated MCQ Practice Test (available with solutions) on the important topic of "Test: Matrices & Determinants - 2". These 20 questions have been designed by the experts with the latest curriculum of Airforce X Y / Indian Navy SSR 2026, to help you master the concept.
Test Highlights:
Sign up on EduRev for free to attempt this test and track your preparation progress.
Detailed Solution: Question 1
If the rank of a matrix A is 2, then the rank of 2A is
If A is a skew-symmetric matrix, then trace of A is
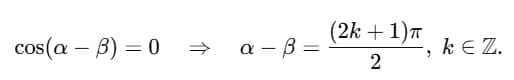
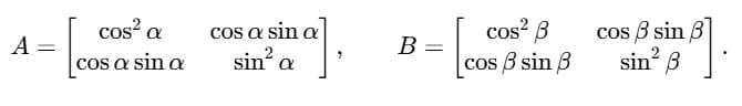
Detailed Solution: Question 8
If A and B are the matrices shown in the image below and the product AB is the null matrix, then α - β is 
Detailed Solution: Question 9
If A is a square matrix such that AA` = I, then value of A`A is
If A is a square matrix of order n such that its elements are polynomial in x and its r-rows become identical for x = k, then
If A is a 3-rowed square matrix, then | 5 A | is equal to
In the determinant
, the ratio of the cofactor to its minor of the element – 3 is
If ω is an imaginary cube root of unity and x is real number, then which one of the following is a factor of 
If A is a square matrix of order 4, and I is a unit matrix, then it is true that
147 videos|192 docs|197 tests |