You can prepare effectively for CAT Quantitative Aptitude (Quant) with this dedicated MCQ Practice Test (available with solutions) on the important topic of "Test: CAT Quantitative Aptitude- 1". These 22 questions have been designed by the experts with the latest curriculum of CAT 2026, to help you master the concept.
Test Highlights:
Sign up on EduRev for free to attempt this test and track your preparation progress.
Some milk from a container, having 40 litres of milk, is drawn out and replaced with an equal amount of water. This process is repeated two more times and after that, only 20.48 litres of milk is left in the container. What is the amount of solution (in litres) removed in each iteration?
Detailed Solution: Question 1
Eight years ago, the ratio of ages of Akhil and Akash was 1:5. 12 years from now, the ratio changes to 7 : 15. Find the sum of the antecedent and the consequent of the ratio of their present ages, when the ratio is in its lowest form.
Detailed Solution: Question 2
Ratnesh bought a fridge and a television from big bazaar. He was promised 20% discount on the fridge and 25% discount on the television. However, a con salesman, interchanged the discount offered on both the items and processed the bill. If the mark price of the television is 4 times that of the fridge, then what is the ratio of the amount actually paid by Ratnesh to that he would have paid if he was not cheated?
Detailed Solution: Question 3
Arun, Barun, Chandan and Diksha have books in the ratio
respectively. What is the the minimum number of books they must be having altogether?
(Enter ‘0’ as the answer if the answer cannot be determined.)
Detailed Solution: Question 4
Given that [(x-y)(1/4)] = 2 and [(3x−2y) 1/2] = 5. What is the minimum possible integral value of y? [x] is equal to greatest integer less than or equal to x.
How many points in the region enclosed by x > 0, y < 0 and 7x - 9y < 63 have integral coordinates?
Detailed Solution: Question 6
A circle with radius 6 cm is inscribed inside an equilateral triangle ABC. Three smaller circle are drawn touching the incircle and the sides of ABC as shown in the figure. Another triangle is formed by joining centres P,Q and R of these smaller circles. What is the perimeter of triangle PQR?

Detailed Solution: Question 7
In a circle, two chords AB and CD intersect at a point E as shown in the figure. If AB = 6 cm and CD = 10 cm and ∠ OED = 30°, then find out the radius of the given circle.
Detailed Solution: Question 8
How many scalene triangles with integral sides can be formed with a perimeter of 45 cm?
Detailed Solution: Question 9
AB and AC are tangents to the circle with centre O. If the radius of the circle is 5 and length of the tangent is 5√3, what is the area of the shaded region?

Detailed Solution: Question 10
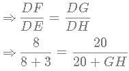
In a quadrilateral ABCD, point E lies on side AB such that AE:EB = 2:3. If the point F, divides DE in 8:3 and DG = 20 cm, then find out the area of △BGC to that of △DGC.

Detailed Solution: Question 11
The minimum value of the expression |x+3|+|x-3|+|x-6|+|x-5|+|x+5|
Detailed Solution: Question 12
Find the number of non-negative integral points that satisfy 2x + y > 16 and x + 2y = 20.
Detailed Solution: Question 13
Which condition will a,b,c satisfy if the set of equations 3x + 4y + z = a, 2x + 6y + 4z = b and x - y - 2z = c has atleast 1 solution ? Also a + b + c ≠ 0.
Detailed Solution: Question 14
Solve for x in the following equation:
log 10 (x−1) + log10 (2x-1)= 2 * log10 (x+1)
Detailed Solution: Question 15
If (|log (6x+4) (3x−2)|)=1. What is the number of possible values of x?
Detailed Solution: Question 16
Find the product of all the values of 3x+2 such that the values of x satisfy the following equation: log3(18 - 3x) =3−x.
Detailed Solution: Question 17
What is the sum of all multiples of 3 less than 1000 which give an odd remainder when divided by 11 ?
Detailed Solution: Question 18
A dishonest shopkeeper sells sugar at cost price but makes 25% profit by using faulty weights. He decides to give a discount to attract more customers. What percent of discount should he offer to make 12% profit?
Detailed Solution: Question 19
Let ABC be a right-angled triangle with BC as the hypotenuse. Lengths of AB and AC are 15 km and 20 krn, respectively. The minimum possible time, in minutes, required to reach the hypotenuse from A at a speed of 30 km per hour is
Detailed Solution: Question 20
If a, b, c, and d are integers such that a + b + c + d = 30, then the minimum possible value of
(a - b)2 + (a - c)2 + (a - d)2 is
Detailed Solution: Question 21
DIRECTIONS for the question: Solve the following question and mark the best possible option.
A person can complete a job in 120 days. He works alone on Day 1. On Day 2, he is joined by another person who also can complete the job in exactly 120 days. On Day 3, they are joined by another person of equal efficiency. Like this, everyday a new person with the same efficiency joins the work. How many days are required to complete the job?
Detailed Solution: Question 22
136 videos|255 docs|86 tests |