CLAT Exam  >  CLAT Test  >  PU LLB Mock Test - 7 (New Pattern) - CLAT MCQ

CLAT PU LLB Mock Test - 7 (New Pattern) Free Online Test 2026


Full Mock Test & Solutions: PU LLB Mock Test - 7 (New Pattern) (100 Questions)

You can boost your CLAT 2026 exam preparation with this PU LLB Mock Test - 7 (New Pattern) (available with detailed solutions).. This mock test has been designed with the analysis of important topics, recent trends of the exam, and previous year questions of the last 3-years. All the questions have been designed to mirror the official pattern of CLAT 2026 exam, helping you build speed, accuracy as per the actual exam.

Mock Test Highlights:

  • - Format: Multiple Choice Questions (MCQ)
  • - Duration: 90 minutes
  • - Total Questions: 100
  • - Analysis: Detailed Solutions & Performance Insights
  • - Sections covered: English & Reasoning ability, General knowledge

Sign up on EduRev for free and get access to these mock tests, get your All India Rank, and identify your weak areas to improve your marks & rank in the actual exam.

PU LLB Mock Test - 7 (New Pattern) - Question 1

Directions: In the following question, the two words given to the left of sign (: :) bear a certain relationship to each other. The same relationship exists between the two words to its right, one of which is missing. Find the missing word from the given alternatives.

Nile : River : : Pacific : ?

Detailed Solution: Question 1

Nile is a river, and the Pacific is an ocean.

Hence, option 1 is correct.

PU LLB Mock Test - 7 (New Pattern) - Question 2

Directions: In the following question, the two words given to the left of sign (: :) bear a certain relationship to each other. The same relationship exists between the two words to its right, one of which is missing. Find the missing word from the given alternatives.

Umbrella : Rain : : Sweater : ?

Detailed Solution: Question 2

We use an umbrella when it is raining. We wear a sweater when it is cold.

Hence, option 4 is correct.

PU LLB Mock Test - 7 (New Pattern) - Question 3

Directions: Fill in the blank with the suitable preposition.

Are you familiar ___________ the habits of your son?

Detailed Solution: Question 3

'Familiar with', in the given sentence, would be appropriate as it is used in the sense of inquiring whether you have a good knowledge of your son's habit.

PU LLB Mock Test - 7 (New Pattern) - Question 4

Directions: Fill in the blank with the most appropriate option.

The court acquitted George ___________ fraud charges.

Detailed Solution: Question 4

'Acquit (one) of' means 'to determine that one is not guilty of a crime or other wrongdoing'.

Option 1 is correct.

PU LLB Mock Test - 7 (New Pattern) - Question 5

Directions: Fill in the blank with the suitable preposition.

It has been a long ___________ I talked to you.

Detailed Solution: Question 5

'Since' is used with reference to a specific time in the past.

PU LLB Mock Test - 7 (New Pattern) - Question 6

Directions: Select the part of speech of the underlined word in the given sentence.

Don't run the bike so fast.

Detailed Solution: Question 6

'Run', which in the given context means 'to move, or move something, quickly in a particular direction', is a verb.

PU LLB Mock Test - 7 (New Pattern) - Question 7

Directions: Select the part of speech of the underlined word in the given sentence.

We took so many things but we forgot to take the mat.

Detailed Solution: Question 7

'But', in the given sentence, is used as a conjunction as it contrasts between what was bought and what was left out, i.e. the mat.

PU LLB Mock Test - 7 (New Pattern) - Question 8

Directions: In the following question, choose the word which best fills the blank from the four given options.

The food grain stocks in India are at an all-time ________.

Detailed Solution: Question 8

The correct phrase is 'all-time high.' This refers to the highest level that has ever been. Other options don't form the correct phrase.

PU LLB Mock Test - 7 (New Pattern) - Question 9

Directions: A series is given, with one term missing. Choose the correct alternative from the given options that will complete the series.

12, 23, 34, 45, ?, 67, 78, 89

Detailed Solution: Question 9

12 + 11 = 23

23 + 11 = 34

34 + 11 = 45

45 + 11 = 56

56 + 11 = 67

67 + 11 = 78

78 + 11 = 89

PU LLB Mock Test - 7 (New Pattern) - Question 10

Directions: A series is given with one term missing. Choose the correct one from the given options that will complete the series.

CDF, DEG, EFH, ?

Detailed Solution: Question 10

PU LLB Mock Test - 7 (New Pattern) - Question 11

Directions: Complete the series.

100, 50, 52, 26, 28, ?, 16, 8

Detailed Solution: Question 11

100 ÷ 2 = 50

50 + 2 = 52

52 ÷ 2 = 26

26 + 2 = 28

28 ÷ 2 = 14

14 + 2 = 16

16 ÷ 2 = 8

PU LLB Mock Test - 7 (New Pattern) - Question 12

Directions: In which of the following answer figures the question figure can be embedded?

Question Figure:

Answer Figures:

Detailed Solution: Question 12

Question figure is hidden in answer figure (C).

PU LLB Mock Test - 7 (New Pattern) - Question 13

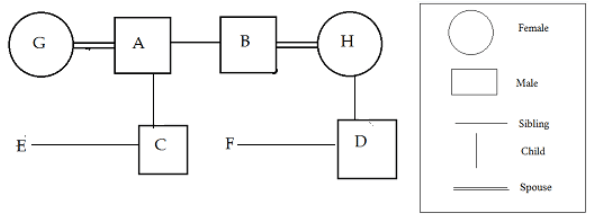
In a family of eight persons, there are two couples, each having two children. C and D are cousin brothers. The father of E is married to G, who is the aunt of F. F's mother, H, is married to B, the brother of A. C is the nephew of H. How is A related to D?

Detailed Solution: Question 13

According to the given question, A is the uncle of D.

Hence, answer option (1) is correct.

PU LLB Mock Test - 7 (New Pattern) - Question 14

Pointing to a man in a photograph, Anitha said, "His mother's only daughter is my mother." How is Anitha related to that man?

Detailed Solution: Question 14

His mother's only daughter = His sister

Sister of the man Anitha is pointing to = Anitha's mother

Mother's brother = Uncle

Therefore, Anitha is the niece of the man she is pointing to.

PU LLB Mock Test - 7 (New Pattern) - Question 15

Direction: Read the following information carefully and answer the given question.

The sports week of a college was organized from 19th to 26th of a month, 19th being Wednesday. During that period, six games Cricket (C), Badminton (B), Table Tennis (T), Kho-Kho (K), Hockey (H), and Football (F) were played, one game on each day.

(1) Hockey was not played on the closing day, i.e. 26th.

(2) Table Tennis was played just one day before Cricket was played.

(3) Football was not played on either Wednesday or Saturday.

(4) No game was played on Thursday and Sunday.

(5) Kho-Kho was played on Monday.

(6) There was a gap of two days between Cricket and Football.

Q. Which game was played on the 24th?

Detailed Solution: Question 15

No game was played on Thursday and Sunday. Kho-Kho was played on Monday.

There was a gap of two days between Cricket and Football. Football was not played on either Wednesday or Saturday. Table Tennis was played just one day before Cricket was played. Hockey was not played on the closing day, i.e. 26th. So we get the final arrangement as given below.

Kho-Kho was played on 24th.

PU LLB Mock Test - 7 (New Pattern) - Question 16

Direction: Read the following information carefully and answer the given question.

The sports week of a college was organized from 19th to 26th of a month, 19th being Wednesday. During that period, six games Cricket (C), Badminton (B), Table Tennis (T), Kho-Kho (K), Hockey (H), and Football (F) were played, one game on each day.

(1) Hockey was not played on the closing day, i.e. 26th.

(2) Table Tennis was played just one day before Cricket was played.

(3) Football was not played on either Wednesday or Saturday.

(4) No game was played on Thursday and Sunday.

(5) Kho-Kho was played on Monday.

(6) There was a gap of two days between Cricket and Football.

Q. How many days gap is there between Hockey and Football?

Detailed Solution: Question 16

No game was played on Thursday and Sunday. Kho-Kho was played on Monday.

There was a gap of two days between Cricket and Football. Football was not played on either Wednesday or Saturday. Table Tennis was played just one day before Cricket was played. Hockey was not played on the closing day, i.e. 26th. So we get the final arrangement as given below.

The gap between Hockey and Football is of 5 days.

PU LLB Mock Test - 7 (New Pattern) - Question 17

Direction: Study the diagram and answer the following question.

How many players are neither artists nor doctors?

Detailed Solution: Question 17

Number of players that are neither artists nor doctors = 20 + 15 = 35

PU LLB Mock Test - 7 (New Pattern) - Question 18

Direction: Read the following passage and answer the question that follows:

Asia's importance to Canada has become increasingly evident, particularly with regard to investment from China, patterns of migration and cultural exchange, and the need to cooperate on global problems such as climate change. The rising economies in Asia translate into Asian countries having a greater say in the rules that determine global trade, the global financial system and global security. Asia's rise will have a significant impact on global economic and political dynamics, as well as influence on the arts, culture and innovation of the world. Canada must determine what the future of its engagement with Asia will be.

While Canadians may understand the role of Asia in Canada's history and multicultural communities, their current views on the region are unclear and many Canadians view Asia guardedly. In 2010, the Asia Pacific Foundation of Canada polled Canadians about their opinions concerning Asia. The results showed that Canadians recognized Asia's strength during the post-recession recovery, with 62% agreeing that closer engagement with Asia is necessary for the country's future prosperity. Poll respondents also acknowledged the need for businesses and the government to focus their attention on Asia.

Despite this awareness, only 29% of respondents consider Canada part of the Asia Pacific region and remain wary of embracing China, even as they acknowledge its growing power. Canadians were more favorable towards India's economic and political rise, viewing India as less threatening socially and militarily.

Q. According to the passage, what was the purpose of conducting the polls?

Detailed Solution: Question 18

"In 2010, the Asia Pacific Foundation of Canada polled Canadians about their opinions concerning Asia" which shows that option 4 is the correct answer.

PU LLB Mock Test - 7 (New Pattern) - Question 19

Direction: Read the following passage and answer the question that follows:

Asia's importance to Canada has become increasingly evident, particularly with regard to investment from China, patterns of migration and cultural exchange, and the need to cooperate on global problems such as climate change. The rising economies in Asia translate into Asian countries having a greater say in the rules that determine global trade, the global financial system and global security. Asia's rise will have a significant impact on global economic and political dynamics, as well as influence on the arts, culture and innovation of the world. Canada must determine what the future of its engagement with Asia will be.

While Canadians may understand the role of Asia in Canada's history and multicultural communities, their current views on the region are unclear and many Canadians view Asia guardedly. In 2010, the Asia Pacific Foundation of Canada polled Canadians about their opinions concerning Asia. The results showed that Canadians recognized Asia's strength during the post-recession recovery, with 62% agreeing that closer engagement with Asia is necessary for the country's future prosperity. Poll respondents also acknowledged the need for businesses and the government to focus their attention on Asia.

Despite this awareness, only 29% of respondents consider Canada part of the Asia Pacific region and remain wary of embracing China, even as they acknowledge its growing power. Canadians were more favorable towards India's economic and political rise, viewing India as less threatening socially and militarily.

Q. The passage primarily discusses

Detailed Solution: Question 19

The first line of the passage "Asia's importance to Canada has become increasingly evident, ..." leads us to the answer and it is elaborated throughout the passage.

PU LLB Mock Test - 7 (New Pattern) - Question 20

Direction: Read the following passage and answer the question that follows:

Asia's importance to Canada has become increasingly evident, particularly with regard to investment from China, patterns of migration and cultural exchange, and the need to cooperate on global problems such as climate change. The rising economies in Asia translate into Asian countries having a greater say in the rules that determine global trade, the global financial system and global security. Asia's rise will have a significant impact on global economic and political dynamics, as well as influence on the arts, culture and innovation of the world. Canada must determine what the future of its engagement with Asia will be.

While Canadians may understand the role of Asia in Canada's history and multicultural communities, their current views on the region are unclear and many Canadians view Asia guardedly. In 2010, the Asia Pacific Foundation of Canada polled Canadians about their opinions concerning Asia. The results showed that Canadians recognized Asia's strength during the post-recession recovery, with 62% agreeing that closer engagement with Asia is necessary for the country's future prosperity. Poll respondents also acknowledged the need for businesses and the government to focus their attention on Asia.

Despite this awareness, only 29% of respondents consider Canada part of the Asia Pacific region and remain wary of embracing China, even as they acknowledge its growing power. Canadians were more favorable towards India's economic and political rise, viewing India as less threatening socially and militarily.

Q. What is the meaning of the word 'guardedly' in the passage?

Detailed Solution: Question 20

Refer to the line, ''While Canadians may understand the role of Asia in Canada's history and multicultural communities, their current views on the region are unclear and many Canadians view Asia guardedly''. This implies that the word 'guardedly' is used in a negative context. Here, 'guardedly' means 'in a conservative manner'. Thus, option 3 'cautiously' is correct.

PU LLB Mock Test - 7 (New Pattern) - Question 21

Which of the following organizations deals with refugees?

Detailed Solution: Question 21

'United Nations High Commissioner For Refugees' also known as UN Refugee Agency, protects and supports refugees at the request of the government.

PU LLB Mock Test - 7 (New Pattern) - Question 22

The case of S. R. Bommai v. Union of India (1994) is related to

Detailed Solution: Question 22

S. R. Bommai v. Union of India ([1994] 2 SCR 644 : AIR 1994 SC 1918 : (1994)3 SCC1) is a landmark decision of the Supreme Court of India, where the Court discussed at length provisions of Article 356 of the Constitution of India and related issues. Under Article 356 of the Constitution of India, if a state government is unable to function according to Constitutional provisions, the Union government can take direct control of the state machinery by imposing President's rule in the state. This case had a huge impact on Centre-State Relations.

PU LLB Mock Test - 7 (New Pattern) - Question 23

___________ is the measurement of things such as fingerprints and retinal scans used for security access.

Detailed Solution: Question 23

Biometrics is the technical term for body measurements and calculations. It refers to metrics related to human characteristics. Biometrics authentication (or realistic authentication) is used in computer science as a form of identification and access control. It is the measurement of things such as fingerprints and retinal scans used for security access.

PU LLB Mock Test - 7 (New Pattern) - Question 24

In 1930, Mahatma Gandhi started the Civil Disobedience Movement from

Detailed Solution: Question 24

On 12th March, 1930, Gandhi started his Civil Disobedience Movement by starting the Dandi March from Sabarmati Ashram in Gujarat and reached Dandi on 6th April, 1930, and broke the salt law.

PU LLB Mock Test - 7 (New Pattern) - Question 25

In the context of computers, what can be the use of 'cookies'?

(a) Maintain information

(b) Run a programme

(c) Deliver a virus

Choose the correct answer:

Detailed Solution: Question 25

A cookie is a text string that is included with Hypertext Transfer Protocol requests and responses. Cookies are used to maintain information as you navigate different pages on a website or return to the website at a later time. Cookies cannot be used to run code (programmes) or deliver viruses to your computer. One of their primary purposes is to provide a convenience feature that you can use to save time — it tells the web server that you have returned to the page. If you personalize web pages or register for products and services, a cookie helps the page server recall your specific information, like billing address, shipping address.

PU LLB Mock Test - 7 (New Pattern) - Question 26

In which country did the game of chess originate?

Detailed Solution: Question 26

Chess is a two-player strategy board game played on a chessboard, a checkered game board with 64 squares arranged in an 8 × 8 grid. The game is played by millions of people worldwide. Chess is believed to be derived from the Indian game chaturanga sometime before the 7th century.

PU LLB Mock Test - 7 (New Pattern) - Question 27

Lake Sambhar is nearest to which of the following cities of Rajasthan?

Detailed Solution: Question 27

Lake Sambhar is nearest to Jaipur. Sambhar, situated in the Indian state of Rajasthan, is a municipality of Jaipur and is also popularly known as Salt Lake City. Sambhar is India's largest salt lake which is located 96 km south-west of the city of Jaipur.

PU LLB Mock Test - 7 (New Pattern) - Question 28

Heart attack is caused due to blockage of coronary arteries (most commonly) by

Detailed Solution: Question 28

Coronary artery disease is caused by plaque buildup in the wall of the arteries that supply blood to the heart (called coronary arteries). Plaque is made up of cholesterol deposits. Plaque buildup causes the inside of the arteries to narrow over time. This process is called atherosclerosis.

PU LLB Mock Test - 7 (New Pattern) - Question 29

Silver revolution in India is associated with

Detailed Solution: Question 29

Egg or poultry production is associated with the silver revolution.

Potato production - round revolution

Fish production - blue revolution

Fertiliser production - grey revolution

PU LLB Mock Test - 7 (New Pattern) - Question 30

Who authored the book Law, Justice and Judicial Power - Justice P N Bhagwati's Approach?

Detailed Solution: Question 30

The book titled Law, Justice and Judicial Power - Justice P N Bhagwati's Approach has been authored by Professor (Dr.) Mool Chand Sharma. It was formally released by Chief Justice of India, Justice Ranjan Gogoi at a function held in New Delhi. The book is a collection of 24 essays written in honor of Justice Bhagwati, celebrating his judicial work and landmark judgments as well as his work towards introducing PIL in India.

View more questions
Information about PU LLB Mock Test - 7 (New Pattern) Page
In this test you can find the Exam questions for PU LLB Mock Test - 7 (New Pattern) solved & explained in the simplest way possible. Besides giving Questions and answers for PU LLB Mock Test - 7 (New Pattern), EduRev gives you an ample number of Online tests for practice
Download as PDF