Regulatory Body Exams Exam  >  Regulatory Body Exams Test  >  RBI Grade B Mock Test Series & Past Year Papers 2026  >  Test: Reasoning Ability - 1 - Regulatory Body Exams MCQ

RBI Grade B Test: Reasoning Ability - 1 Free Online Test 2026


MCQ Practice Test & Solutions: Test: Reasoning Ability - 1 (20 Questions)

You can prepare effectively for Regulatory Body Exams RBI Grade B Mock Test Series & Past Year Papers 2026 with this dedicated MCQ Practice Test (available with solutions) on the important topic of "Test: Reasoning Ability - 1". These 20 questions have been designed by the experts with the latest curriculum of Regulatory Body Exams 2026, to help you master the concept.

Test Highlights:

  • - Format: Multiple Choice Questions (MCQ)
  • - Duration: 10 minutes
  • - Number of Questions: 20

Sign up on EduRev for free to attempt this test and track your preparation progress.

Test: Reasoning Ability - 1 - Question 1

Directions: Study the following information carefully and answer the questions given below.

A certain number of boxes are placed one above the other. Only one box is kept between Box X and Box Z, which is placed immediately above or below Box B. Box R is placed sixth from the bottom of the stack. Five boxes are kept between Box R and Box P, which is not the topmost box. Box S is kept either immediately above or immediately below Box P. As many boxes are kept between Box S and Box R as between Box R and Box K. Three boxes are kept between Box B and Box K and both the boxes are kept below Box R. As many boxes are placed above Box S as below Box Z. Box Q is kept exactly between Box P and Box R.

Q. Which of the following boxes occupies the bottom most position?

Detailed Solution: Question 1

Box R is placed sixth from the bottom of the stack. Five boxes are kept between Box R and Box P, which is not the topmost box. Box S is kept either immediately above or immediately below Box P. Box Q is kept exactly between Box P and Box R.

Three boxes are kept between Box B and Box K and both the boxes are kept below Box R. As many boxes are kept between Box S and Box R as between Box R and Box K.

Since Box K cannot be placed, Case 1 gets cancelled.

Only one box is kept between Box X and Box Z, which is placed immediately above or below Box B. As many boxes are placed above Box S as below Box Z.

Test: Reasoning Ability - 1 - Question 2

Directions: Study the following information carefully and answer the questions given below.

A certain number of boxes are placed one above the other. Only one box is kept between Box X and Box Z, which is placed immediately above or below Box B. Box R is placed sixth from the bottom of the stack. Five boxes are kept between Box R and Box P, which is not the topmost box. Box S is kept either immediately above or immediately below Box P. As many boxes are kept between Box S and Box R as between Box R and Box K. Three boxes are kept between Box B and Box K and both the boxes are kept below Box R. As many boxes are placed above Box S as below Box Z. Box Q is kept exactly between Box P and Box R.

Q. How many boxes are there in the above arrangement?

Detailed Solution: Question 2

Box R is placed sixth from the bottom of the stack. Five boxes are kept between Box R and Box P, which is not the topmost box. Box S is kept either immediately above or immediately below Box P. Box Q is kept exactly between Box P and Box R.

Three boxes are kept between Box B and Box K and both the boxes are kept below Box R. As many boxes are kept between Box S and Box R as between Box R and Box K.

Since Box K cannot be placed, Case 1 gets cancelled.

Only one box is kept between Box X and Box Z, which is placed immediately above or below Box B. As many boxes are placed above Box S as below Box Z.

Test: Reasoning Ability - 1 - Question 3

Directions: Study the following information carefully and answer the questions given below.

A certain number of boxes are placed one above the other. Only one box is kept between Box X and Box Z, which is placed immediately above or below Box B. Box R is placed sixth from the bottom of the stack. Five boxes are kept between Box R and Box P, which is not the topmost box. Box S is kept either immediately above or immediately below Box P. As many boxes are kept between Box S and Box R as between Box R and Box K. Three boxes are kept between Box B and Box K and both the boxes are kept below Box R. As many boxes are placed above Box S as below Box Z. Box Q is kept exactly between Box P and Box R.

Q. Which of the following statements is true with respect to the above arrangement?

Detailed Solution: Question 3

Box R is placed sixth from the bottom of the stack. Five boxes are kept between Box R and Box P, which is not the topmost box. Box S is kept either immediately above or immediately below Box P. Box Q is kept exactly between Box P and Box R.

Three boxes are kept between Box B and Box K and both the boxes are kept below Box R. As many boxes are kept between Box S and Box R as between Box R and Box K.

Since Box K cannot be placed, Case 1 gets cancelled.

Only one box is kept between Box X and Box Z, which is placed immediately above or below Box B. As many boxes are placed above Box S as below Box Z.

Test: Reasoning Ability - 1 - Question 4

Directions: Study the following information carefully and answer the questions given below.

A certain number of boxes are placed one above the other. Only one box is kept between Box X and Box Z, which is placed immediately above or below Box B. Box R is placed sixth from the bottom of the stack. Five boxes are kept between Box R and Box P, which is not the topmost box. Box S is kept either immediately above or immediately below Box P. As many boxes are kept between Box S and Box R as between Box R and Box K. Three boxes are kept between Box B and Box K and both the boxes are kept below Box R. As many boxes are placed above Box S as below Box Z. Box Q is kept exactly between Box P and Box R.

Q. Which of the following boxes occupies the bottom most position?

Detailed Solution: Question 4

Box R is placed sixth from the bottom of the stack. Five boxes are kept between Box R and Box P, which is not the topmost box. Box S is kept either immediately above or immediately below Box P. Box Q is kept exactly between Box P and Box R.

Three boxes are kept between Box B and Box K and both the boxes are kept below Box R. As many boxes are kept between Box S and Box R as between Box R and Box K.

Since Box K cannot be placed, Case 1 gets cancelled.

Only one box is kept between Box X and Box Z, which is placed immediately above or below Box B. As many boxes are placed above Box S as below Box Z.

Test: Reasoning Ability - 1 - Question 5

Directions: Study the following information carefully and answer the questions given below.

A certain number of boxes are placed one above the other. Only one box is kept between Box X and Box Z, which is placed immediately above or below Box B. Box R is placed sixth from the bottom of the stack. Five boxes are kept between Box R and Box P, which is not the topmost box. Box S is kept either immediately above or immediately below Box P. As many boxes are kept between Box S and Box R as between Box R and Box K. Three boxes are kept between Box B and Box K and both the boxes are kept below Box R. As many boxes are placed above Box S as below Box Z. Box Q is kept exactly between Box P and Box R.

Q. Which of the following pair represents the boxes that are placed immediately above and below Box B respectively?

Detailed Solution: Question 5

Box R is placed sixth from the bottom of the stack. Five boxes are kept between Box R and Box P, which is not the topmost box. Box S is kept either immediately above or immediately below Box P. Box Q is kept exactly between Box P and Box R.

Three boxes are kept between Box B and Box K and both the boxes are kept below Box R. As many boxes are kept between Box S and Box R as between Box R and Box K.

Since Box K cannot be placed, Case 1 gets cancelled.

Only one box is kept between Box X and Box Z, which is placed immediately above or below Box B. As many boxes are placed above Box S as below Box Z.

Test: Reasoning Ability - 1 - Question 6

Directions: In each of the following questions, relationship between different elements is shown in the statements followed by two conclusions. Find the conclusion which is definitely true.

Give answer:

a) If only conclusion I follows.

b) If only conclusion II follows.

c) If either conclusion I or II follows.

d) If neither conclusion I nor II follows.

e) If both conclusions I and II follow.

Statements:

K > L ≤ O = P; S ≤ L < Q

Conclusions:

I). S ≤ P

II). Q > K

Detailed Solution: Question 6

I). S ≤ P (S ≤ L ≤ O = P) → True

II). Q > K (Q > L < K) → False

So, only conclusion I follows.

Test: Reasoning Ability - 1 - Question 7

Directions: In each of the following questions, relationship between different elements is shown in the statements followed by two conclusions. Find the conclusion which is definitely true.

Give answer:

a) If only conclusion I follows.

b) If only conclusion II follows.

c) If either conclusion I or II follows.

d) If neither conclusion I nor II follows.

e) If both conclusions I and II follow.

Statements:

G < I > H ≥ D; C < S ≤ Y = H

Conclusions:

I). S ≤ D

II). I ≥ S

Detailed Solution: Question 7

I). S ≤ D (S ≤ Y = H ≥ D) →False

II). I ≥ S (I > H = Y ≥ S) → False

So, neither conclusion I nor II follows.

Test: Reasoning Ability - 1 - Question 8

Directions: In each of the following questions, relationship between different elements is shown in the statements followed by two conclusions. Find the conclusion which is definitely true.

Give answer:

a) If only conclusion I follows.

b) If only conclusion II follows.

c) If either conclusion I or II follows.

d) If neither conclusion I nor II follows.

e) If both conclusions I and II follow.

Statements:

F ≤ M ≤ K = R; B ≤ F > N = J

Conclusions:

I). J < M

II). R ≥ B

Detailed Solution: Question 8

I). J < M (J = N < F ≤ M) → True

II). R ≥ B (R = K ≥ M ≥ F ≥ B) → True

So, both I and II follow.

Test: Reasoning Ability - 1 - Question 9

Directions: tudy the following information carefully and answer the questions given below.

In a certain coding language,

‘Street light star’ is written as ‘wa qu ks’

‘Hero star award’ is written as ‘tv wa pk’

‘Light house scene’ is written as ‘jh bl qu’

If ‘evening scene’ is coded as ‘bl nu’, then how is ‘evening’ coded in the above language?

Detailed Solution: Question 9

Test: Reasoning Ability - 1 - Question 10

Directions: Study the following information carefully and answer the questions given below.

In a certain coding language,

‘Street light star’ is written as ‘wa qu ks’

‘Hero star award’ is written as ‘tv wa pk’

‘Light house scene’ is written as ‘jh bl qu’

What could be the possible code of ‘scene’ in the given coded language?

Detailed Solution: Question 10

Test: Reasoning Ability - 1 - Question 11

Directions: Study the following information carefully and answer the questions given below.

Arun walks 7m towards east and stops at point Q. From there, he turns 90° in anticlockwise direction and walks for 4m before stopping at S. Then he turns 135° in clockwise direction and walks for ‘x’ m before stopping at R which is exactly east of Q. From R, he walks 5m south and stops at V, from where he turns 90° in clockwise direction and walks 6m before he finally stops at Z, which is exactly south of S.

Q. What is the value of ‘x’?

Detailed Solution: Question 11

Arun’s path creates the following fixed geometric conditions:

  1. R is exactly east of Q → therefore R and Q have the same Y-coordinate.

  2. Z is exactly south of S → therefore Z and S have the same X-coordinate.

Let Q = (0, 0) for convenience.

Since Z lies south of S, their x-coordinates must match:

a − 6 = 0 ⇒ a = 6

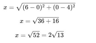
Now calculate the distance x=SR:

Test: Reasoning Ability - 1 - Question 12

Directions: Study the following information carefully and answer the questions given below.

Arun walks 7m towards east and stops at point Q. From there, he turns 90° in anticlockwise direction and walks for 4m before stopping at S. Then he turns 135° in clockwise direction and walks for ‘x’ m before stopping at R which is exactly east of Q. From R, he walks 5m south and stops at V, from where he turns 90° in clockwise direction and walks 6m before he finally stops at Z, which is exactly south of S.

Q. Which of the following points lie in a straight line?

Detailed Solution: Question 12

Test: Reasoning Ability - 1 - Question 13

Directions: Study the following information carefully and answer the questions given below.

Arun walks 7m towards east and stops at point Q. From there, he turns 90° in anticlockwise direction and walks for 4m before stopping at S. Then he turns 135° in clockwise direction and walks for ‘x’ m before stopping at R which is exactly east of Q. From R, he walks 5m south and stops at V, from where he turns 90° in clockwise direction and walks 6m before he finally stops at Z, which is exactly south of S.

Q. In which direction is the starting point of Arun with respect to Z?

Detailed Solution: Question 13

Test: Reasoning Ability - 1 - Question 14

How many digits are there in the number ˜85721943™ which occupy the same position when the digits are arranged in descending order ?

Detailed Solution: Question 14

85721943

98754321

Test: Reasoning Ability - 1 - Question 15

How many such pairs of letters are there in the word ˜SYLLABUS™, each of which has as many letters between them in the word, as they have in the English alphabet (both in forward and backward directions)?

Detailed Solution: Question 15

Test: Reasoning Ability - 1 - Question 16

Directions: Study the following information carefully and answer the questions given below.

There are seven members in three generations of a family. The family has two married couple. S is the grandson of B, who has only one son. B is the mother-in-law of P. A and L are siblings of S. L is the granddaughter of C. A is the son of P. H is one of the family members. H is married to P.

Q. How is L related to P?

Detailed Solution: Question 16

Test: Reasoning Ability - 1 - Question 17

Directions: Study the following information carefully and answer the questions given below.

There are seven members in three generations of a family. The family has two married couple. S is the grandson of B, who has only one son. B is the mother-in-law of P. A and L are siblings of S. L is the granddaughter of C. A is the son of P. H is one of the family members. H is married to P.

Q. If B has one daughter, K. Then, how is K related to A?

Detailed Solution: Question 17

Test: Reasoning Ability - 1 - Question 18

Directions: Study the following information carefully and answer the questions given below.

In a certain coding language,

‘very interesting is around’ is written as ‘mo tu pa ka’

‘biggest energy is succeed’ is written as ‘tu ne ga xl’

‘nature become very popular’ is written as ‘ki ta mo ab’

‘succeed is very interesting’ is written as ‘xl tu ka mo’

Q. What is the code for ‘very interesting’ in the above coding language?

Detailed Solution: Question 18

Test: Reasoning Ability - 1 - Question 19

Q. If ‘world become popular’ is coded as ‘ah ta ki’, then what will be the code for ‘nature’?

Detailed Solution: Question 19

Test: Reasoning Ability - 1 - Question 20

Directions: Study the following information carefully and answer the questions given below.

In a certain coding language,

‘very interesting is around’ is written as ‘mo tu pa ka’

‘biggest energy is succeed’ is written as ‘tu ne ga xl’

‘nature become very popular’ is written as ‘ki ta mo ab’

‘succeed is very interesting’ is written as ‘xl tu ka mo’

Q. Which of the following is the code for ‘energy’?

Detailed Solution: Question 20

120 docs|51 tests
Information about Test: Reasoning Ability - 1 Page
In this test you can find the Exam questions for Test: Reasoning Ability - 1 solved & explained in the simplest way possible. Besides giving Questions and answers for Test: Reasoning Ability - 1, EduRev gives you an ample number of Online tests for practice
Download as PDF