You can boost your CAT 2026 exam preparation with this SNAP Mock Test - 4 (New Pattern) (available with detailed solutions).. This mock test has been designed with the analysis of important topics, recent trends of the exam, and previous year questions of the last 3-years. All the questions have been designed to mirror the official pattern of CAT 2026 exam, helping you build speed, accuracy as per the actual exam.
Mock Test Highlights:
Sign up on EduRev for free and get access to these mock tests, get your All India Rank, and identify your weak areas to improve your marks & rank in the actual exam.
Directions: Rearrange the following five sentences (A), (B), (C), (D) and (E) in the proper sequence to form a meaningful paragraph and then answer the question.
A. But many of the currently-used triggers, like antibiotics, can have negative side effects or are unsafe for prolonged use.
B. In recent years, scientists have worked to refine how cell therapies — which have shown promise in treating diseases like cancer — are controlled.
C. In search of a better trigger, lead author Jianli Yin and her colleagues looked for a compound that was natural, nontoxic and perhaps even beneficial to health.
D. These therapies often rely on a chemical compound to trigger cells to secrete a specific therapeutic substance.
E. In addition to its laundry list of purported health benefits, green tea contains a molecule called protocatechuic acid, or PCA.
Which of the following is the FIRST sentence of the sequence?
Detailed Solution: Question 1
Directions: Select the appropriate conjunction from the given choices to fill in the blank.
_______ you speak the truth, you will be dismissed.
Detailed Solution: Question 2
Directions: Select the appropriate conjunction from the given choices to fill in the blank.
_______ you have not obeyed me, I will not make anymore suggestions.
Detailed Solution: Question 3
Directions: Select the word which is the synonym of the given word/ underlined word.
Precocious
Detailed Solution: Question 4
Detailed Solution: Question 5
Directions: Choose the alternative that best describes the meaning of the underlined idiom/phrase.
I find her very annoying as she has the awful habit of poking her nose into my affairs.
Detailed Solution: Question 6
Directions: Choose the appropriate word from the given options and fill in the blank.
The incidence has brought the ___________ within the ruling party into sharper focus.
Detailed Solution: Question 7
Directions: Fill in the blank with a suitable idiom/phrase.
The monetary help arrived too late. He was already on his ______________.
Detailed Solution: Question 8
Choose the option that best replaces the phrase in underline without changing the meaning of the sentence below:
The kids had a whale of a time at the swimming pool.
Detailed Solution: Question 9
Select the option that is closest in meaning to the word given below:
Sardonic
Detailed Solution: Question 10
Identify the figure of speech.
Fear gripped the students waiting for their exam results.
Detailed Solution: Question 11
In the sentence identify the segment which contains the grammatical error.
Q. She behaves in a such a cordial manner that everyone admires her
Detailed Solution: Question 12
A sentence is given in direct speech. Choose the option that represents the same sentence in indirect speech:
Balu said to his students ‘Try to achieve what you dream’.
Detailed Solution: Question 13
Choose the option which gives the meaning of the below-given mania/phobia.
Nomophobia
Detailed Solution: Question 14
Identify the source of the phrase given below.
"De Facto"
Detailed Solution: Question 15
What will come in place of the question mark (?) in the following number series?
10, 65, 626, 7777, ?
Detailed Solution: Question 16
Directions: Select the term which will replace the question mark (?) in the given alphanumeric series.
G4T, ?, M20P, P43N, S90L
Detailed Solution: Question 17
Directions: Read the following information carefully and answer the question that follows.
Eleven books are written by different authors, named, O, D, Z, A, l, E, J, K, B, L and P. Their books are kept on different shelves. The bottom shelf is numbered 1 and the top one is numbered 11. The book written by B is kept on the third shelf. Two books are kept between the books written by O and A. There are as many books between the books written by O and A as those between the books written by P and K. The books written by O and P are on the top and the bottom shelf, respectively. The book written by L is on the seventh shelf. The book written by P is not kept above A. The book written by E is in the middle. The book written by J is kept between the books written by E and K. The book written by I is not kept on the shelf that is numbered above 8.
Which author's book is kept on the tenth shelf?
Detailed Solution: Question 18
Directions: Read the following information carefully and answer the question that follows.
Eleven books are written by different authors, named, O, D, Z, A, l, E, J, K, B, L and P. Their books are kept on different shelves. The bottom shelf is numbered 1 and the top one is numbered 11. The book written by B is kept on the third shelf. Two books are kept between the books written by O and A. There are as many books between the books written by O and A as those between the books written by P and K. The books written by O and P are on the top and the bottom shelf, respectively. The book written by L is on the seventh shelf. The book written by P is not kept above A. The book written by E is in the middle. The book written by J is kept between the books written by E and K. The book written by I is not kept on the shelf that is numbered above 8.
Which of the following combinations is/are true?
Detailed Solution: Question 19
Directions: Read the following information carefully and answer the question that follows.
Eleven books are written by different authors, named, O, D, Z, A, l, E, J, K, B, L and P. Their books are kept on different shelves. The bottom shelf is numbered 1 and the top one is numbered 11. The book written by B is kept on the third shelf. Two books are kept between the books written by O and A. There are as many books between the books written by O and A as those between the books written by P and K. The books written by O and P are on the top and the bottom shelf, respectively. The book written by L is on the seventh shelf. The book written by P is not kept above A. The book written by E is in the middle. The book written by J is kept between the books written by E and K. The book written by I is not kept on the shelf that is numbered above 8.
How many books are kept between the books written by A and K?
Detailed Solution: Question 20
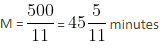
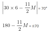
If the current time is 6:20, then after how much time will the hands of the clock make the same angle as they do at present?
Detailed Solution: Question 21
Directions: Read the information and answer the question given below.
A + B means A is the daughter of B, A × B means A is the son of B and A - B means A is the wife of B.
If P × Q - S, then which of the following is true?
Detailed Solution: Question 22
Directions: A machine rearranges a given input line step-by-step as per the illustration given below.
Input: 24 juice 4 manager 32 28 can tar 16 state 8 12 people 20 location ball
Step 1: ball 32 24 juice 4 manager 28 can tar 16 state 8 12 people 20 location
Step 2: ball can 32 28 24 juice 4 manager tar 16 state 8 12 people 20 location
Step 3: ball can juice 32 28 24 20 4 manager tar 16 state 8 12 people location
Step 4: ball can juice location 32 28 24 20 16 4 manager tar state 8 12 people
Step 5: ball can juice location manager 32 28 24 20 16 12 4 tar state 8 people
Step 6: ball can juice location manager people 32 28 24 20 16 12 8 4 tar state
Step 7: ball can juice location manager people state 32 28 24 20 16 12 8 4 tar
Step 8: ball can juice location manager people state tar 32 28 24 20 16 12 8 4
Step 8 is the last step of the rearrangement.
As per the rules followed in the above steps, answer the given question based on the following input:
Input: kites 30 optimistic 5 glacier watch 40 25 umbrella 20 rest 10 15 nature 35 desk
Q. Which of the following will be step 6?
Detailed Solution: Question 23
Directions: Read the following information and answer the question given below.
(i) A, B, C, D, E, F and G are seven members standing in a row (not necessarily in the same order) facing north.
(ii) C and B have as many members between them as G and C have between them.
(iii) D, who is 3rd from the extreme left, is 3rd to the left of E.
(iv) A and D are immediate neighbours and F and C are immediate neighbours.
Which of the following statements is true?
Detailed Solution: Question 24
A woman and her grandson have the same birthday. For six consecutive birthdays, her age is an integral multiple of his age. How old is the grandmother at the sixth of these birthdays?
Detailed Solution: Question 25
Directions: In the problem below, a question is given followed by two arguments numbered I and II. You have to decide which of the given arguments is/are 'strong'.
Q. Should persons convicted of criminal offenses in the past be allowed to contest elections in India?
Arguments:
I. No, such persons cannot serve the people and the country.
II. Yes, it is a democracy and people should be allowed to decide whom to vote for.
Detailed Solution: Question 26
Directions: In the following question, a statement is followed by two conclusions I and II. You have to take the given statement to be true even if it seems to be at variance with commonly known facts, and then decide which of the given conclusions logically follows from the statement, disregarding commonly known facts.
Statement: The Western culture is spoiling the Indian youth. With high teenage pregnancy rates and high marital dissatisfaction resulting in increasing number of divorces, the influence is deleterious on the vulnerable society of India exposed to the West through movies and other forms of social media.
Conclusions:
I. The West ought not let its culture cast its evil effect on the Indian culture in general and youth in particular.
II. Western influence through movies and social media is the only deleterious effect on Indian culture and youth.
Detailed Solution: Question 27
Directions: Find the missing term (?) out of the options given below after studying the relationship among the other given figures.

Detailed Solution: Question 28
In the question below a statement is followed by two assumptions numbered I and II. An assumption is something supposed or taken in for granted. You have to consider the statement and the following assumptions and then decide which of the assumptions is implicit in the statement.
Statement: A fund promises to double the investor's money in one year.
Assumption:
I. People are looking to grow their wealth.
II. The fund is a scam.
Detailed Solution: Question 29
Statements: The most expensive city in India to live is Mumbai.
Conclusions:
I. It is cheaper to live in Delhi when compared to Mumbai.
II. Indore is the cheapest city to live.
Detailed Solution: Question 30
5 docs|24 tests |