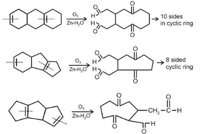
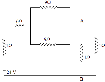
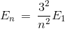
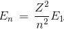
Important Questions for JEE Advanced Mock Test - 1 (Paper I)
Find all the important questions for JEE Advanced Mock Test - 1 (Paper I) at EduRev.Get fully prepared for JEE Advanced Mock Test - 1 (Paper I) with EduRev's comprehensive question bank and test resources. Our platform offers a diverse range of question papers covering various topics within the JEE Advanced Mock Test - 1 (Paper I) syllabus. Whether you need to review specific subjects or assess your overall readiness, EduRev has you covered. The questions are designed to challenge you and help you gain confidence in tackling the actual exam. Maximize your chances of success by utilizing EduRev's extensive collection of JEE Advanced Mock Test - 1 (Paper I) resources.
JEE Advanced Mock Test - 1 (Paper I) MCQs with Answers
Prepare for the JEE Advanced Mock Test - 1 (Paper I) within the JEE exam with comprehensive MCQs and answers at EduRev. Our platform offers a wide range of practice papers, question papers, and mock tests to familiarize you with the exam pattern and syllabus. Access the best books, study materials, and notes curated by toppers to enhance your preparation. Stay updated with the exam date and receive expert preparation tips and paper analysis. Visit EduRev's official website today and access a wealth of videos and coaching resources to excel in your exam.
Online Tests for JEE Advanced Mock Test - 1 (Paper I)
Practice with a wide array of question papers that follow the exam pattern and syllabus. Our platform offers a user-friendly interface, allowing you to track your progress and identify areas for improvement. Access detailed solutions and explanations for each test to enhance your understanding of concepts. With EduRev's Online Tests, you can build confidence, boost your performance, and ace JEE Advanced Mock Test - 1 (Paper I) with ease. Join thousands of successful students who have benefited from our trusted online resources.