You can prepare effectively for JEE BITSAT Mock Tests Series & Past Year Papers 2026 with this dedicated MCQ Practice Test (available with solutions) on the important topic of "BITSAT Practice Test - 7". These 130 questions have been designed by the experts with the latest curriculum of JEE 2026, to help you master the concept.
Test Highlights:
Sign up on EduRev for free to attempt this test and track your preparation progress.
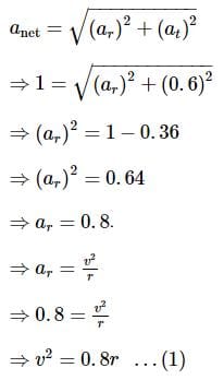
A particle begins to move with a tangential acceleration of constant magnitude 0.6ms-2 in a circular path. If it slips when its total acceleration becomes 1 ms−2, then the angle through which it would have turned before it started to slip is
Detailed Solution: Question 1
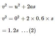
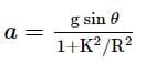
A solid sphere rolls down without slipping on an inclined plane at angle 60° over a distance of 10 m. The acceleration (in m s−2) is
Detailed Solution: Question 2
A cube has a side of length 1.2 x10-2m. Calculate its volume.
Detailed Solution: Question 3
If frictional force is neglected and girl bends her hand, then (initially girl is rotating on chair)

Detailed Solution: Question 4
Detailed Solution: Question 5
Detailed Solution: Question 6
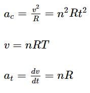
A particle of mass M is moving in a circle of fixed radius R in such a way that its centripetal acceleration at time t is given by n2Rt2, where n is a constant. The power delivered to the particle by the force acting on it, is :
Detailed Solution: Question 7
Detailed Solution: Question 8
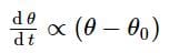
If a piece of metal is heated to temperature θ and then allowed to cool in a room which is at temperature θ0, the graph between the temperature T of the metal and time t will be closest to :
Detailed Solution: Question 9
In the situation shown in figure all the strings are light and inextensible and pulleys are light. There is no friction at any surface and all block are of cuboidal shape. A horizontal force of magnitude F is applied to right most free end of string in both cases of figure 1 and figure 2 as shown. At the instant shown, the tension in all strings are non zero. Let the magnitude of acceleration of large blocks (of mass M) in figure 1 and figure 2 are a1 and a2 respectively. Then :


Detailed Solution: Question 10
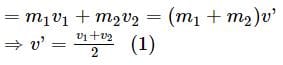
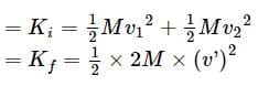
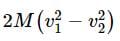
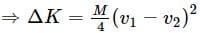
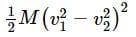
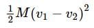
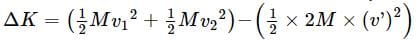
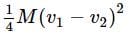
Two spherical bodies of the same mass M are moving with velocities v1 and v2 . These collide perfectly inelastically. What is the loss in kinetic energy
Detailed Solution: Question 11
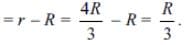
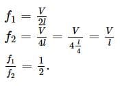
A pipe open at both the ends produce a note of fundamental frequency v1. When the pipe is kept with (3/4)th of its length in water, it produces a note of fundamental frequency v2. The ratio of v1/v2 is
Detailed Solution: Question 12
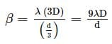
In Young's double-slit experiment, the distance between slits is d/3 and the distance between screen and slits is 3D, then fringe width is
Detailed Solution: Question 13
A beam of light of wavelength 400 nm and power 1.55 mW is directed at the cathode of a photoelectric cell. If only 10% of the incident photons effectively produce photoelectrons, then find current due to these electrons.
(given, hc=1240eV -nm, e= 1.6x10-19C
Detailed Solution: Question 14
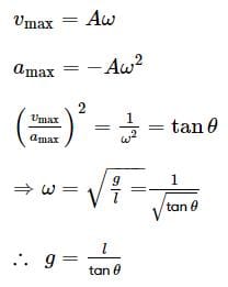
In an experiment, a boy plots a graph between (vmax)2 and (amax)2 for a simple pendulum for different values of (small) amplitudes, where vmax and amax is the maximum velocity and the maximum acceleration respectively. He found the graph to be a straight line with a negative slope, making an angle of 30° when the experiment was conducted on the earth surface. When the same experiment was conducted at a height h above the surface, the line was at an angle of 60°. The value of h is [radius of the earth = R]
Detailed Solution: Question 15
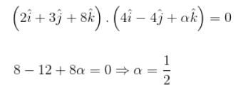
If a vector
is perpendicular to the vector
then the value of α is
Detailed Solution: Question 16
A horizontal force of 10 N is necessary to just hold a stationary block against a wall. The coefficient of friction between the block and the wall is 0.2. The weight of the block is

Detailed Solution: Question 17
Spheres A and B of equal radius and of masses 2 m and m, respectively, are moving towards each other and strike directly. The speeds of A and B before the collision are 3u and u, respectively. The collision is such that B experiences an impulse of 4mcu, where c is constant.
What is the coefficient of restitution?
Detailed Solution: Question 18
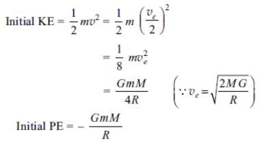
A body is projected vertically upward from the surface of the Earth with a velocity equal to half the escape velocity. If R is the radius of the Earth, then the maximum height attained by the body is
Detailed Solution: Question 19
If a wire having initial diameter of 2 mm produces the longitudinal strain of 0.1%, then the final diameter of wire is
(σ = 0.5)
Detailed Solution: Question 20
A point particle of mass 0.1 kg is executing SHM of amplitude 0.1 m. When the particle passes through the mean position, its KE is 8 x 10-3 J. What is the equation of motion of this particle if the initial phase of oscillation is 45o?
Detailed Solution: Question 21
A stone hangs from the free end of a sonometer wire whose vibrating length, when tuned to a tuning fork, is 40 cm. When the stone hangs wholly immersed in water, the resonant length is reduced to 30 cm. The relative density of the stone is
Detailed Solution: Question 22
The figure below shows the P - V diagram for a fixed mass of an ideal gas undergoing cyclic process ABCA. If the temperature at A is T, then what is the temperature at C?

Detailed Solution: Question 23
The potential at a point P, which is forming a corner of a square of side 93 mm with charges q1 = 33 nC, q2 = -51 nC and q3 = 47 nC located at the other three corners is nearly
Detailed Solution: Question 24
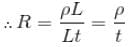
Consider a thin square sheet of side L and thickness t, made of a material of resistivity ρ. The resistance between two opposite faces shown by the shaded areas in the figure is

Detailed Solution: Question 25
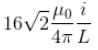
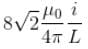
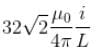
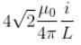
A square wire of each side L carries a current i. What is the magnetic field at the mid-point of the square?

Detailed Solution: Question 26
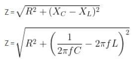
If a resistance of 100 Ω, an inductance of 0.5 H and a capacitance of 10 x 10−6 F are connected in series with a 50 Hz AC supply, then what will be the impedance?
Detailed Solution: Question 27
In a single-slit diffraction experiment, the width of the slit is made double its original width. The central maximum of the diffraction pattern will become
Detailed Solution: Question 28
Assuming human pupil to have a radius of 0.25 cm and a comfortable viewing distance of 25 cm, the minimum separation between two objects that human eye can resolve at 500 nm wavelength is
Detailed Solution: Question 29
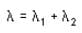
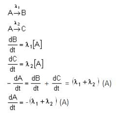
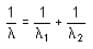
A radioactive nuclide can decay simultaneously by two different processes, which have individual decay constants and λ2, respectively. The effective decay constant of the nuclide is given by
Detailed Solution: Question 30
2 videos|18 docs|70 tests |