JEE Exam  >  JEE Test  >  BITSAT Mock Tests Series & Past Year Papers 2026  >  BITSAT Practice Test - 9 - JEE MCQ

BITSAT Practice Test - 9 Free Online Test 2026


MCQ Practice Test & Solutions: BITSAT Practice Test - 9 (130 Questions)

You can prepare effectively for JEE BITSAT Mock Tests Series & Past Year Papers 2026 with this dedicated MCQ Practice Test (available with solutions) on the important topic of "BITSAT Practice Test - 9". These 130 questions have been designed by the experts with the latest curriculum of JEE 2026, to help you master the concept.

Test Highlights:

  • - Format: Multiple Choice Questions (MCQ)
  • - Duration: 180 minutes
  • - Number of Questions: 130

Sign up on EduRev for free to attempt this test and track your preparation progress.

BITSAT Practice Test - 9 - Question 1

Two speakers connected to the same source of fixed frequency are placed 2.0 m apart in a box. A sensitive microphone placed at a distance of 4.0 m from their midpoint along the perpendicular bisector shows maximum response. The box is slowly rotated until the speakers are in line with the microphone. The distance between the midpoint of the speakers and the microphone remains unchanged. Exactly five maximum responses are observed in the microphone in doing this. The wavelength of the sound wave is:

Detailed Solution: Question 1

Sound from S1 and S2 will interfere at the point on the circumference of the circle.

At A, path difference between two sounds is 0 m.
At B, path difference between two sounds is S1B−S2B=2 m.

From A to B, along the circumference, the path difference increases. Hence maxima and minima will be observed along the circumference. At B, 5th maxima is observed.
⇒ ΔxB = 2= 5λ
⇒ λ = 0.4 m

BITSAT Practice Test - 9 - Question 2

A raindrop falls near the surface of the Earth with almost uniform velocity because

Detailed Solution: Question 2

When raindrops fall from the sky, the air acts like a fluid which opposes the relative motion between the layers of air and water drops.

This causes viscosity. This force opposes gravity. The value of the viscous force acting on a spherical body in the air is given by Stoke's law,

F=6πηrv 
Where v is the relative velocity between the sphere and the fluid, r is the radius of the sphere, and η is the coefficient of viscosity.

From this formula, we can see that the force of viscosity is dependent on the speed with which the body travels.

Initially, the force due to viscosity is zero when the drop is at rest. As the speed starts increasing, the viscous force starts increasing. 

The viscous force increases till it reaches a point where the force balances the force due to the gravity,

Fv=mg
The water drop reaches equilibrium at this velocity after which it travels with a constant velocity. This velocity is also called the terminal velocity.

BITSAT Practice Test - 9 - Question 3

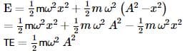
What is the correct expression for the total energy of a simple harmonic oscillator with displacement ?

Detailed Solution: Question 3

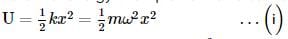
Potential energy of simple harmonic oscillator

where force constant, k=mω2

When PE is plotted against displacement x, we will obtain a parabola, where,

Now, kinetic energy of the simple harmonic oscillator,

This is also a parabola, if plot KE against displacement x.

Now, the total energy of the simple harmonic oscillator TE = PE + KE
[using Eqs. (i) and (ii)]

which is constant and does not depend on x.

Plotting under the above guidelines KE, PE and TE versus displacement x-graph as follows :

BITSAT Practice Test - 9 - Question 4

What determines the emf between the two metals placed in an electrolyte?

Detailed Solution: Question 4

The relative position of metals in the electro chemical series determines the emf between the two metals placed in an electrolyte.

BITSAT Practice Test - 9 - Question 5

The minimum energy required to eject an electron, from the metal surface is called

Detailed Solution: Question 5

Work function of a metal surface is defined as the minimum energy required to eject an electron from metal to a point immediately outside the solid in vacuum. The work function is not the bulk property of metal rather it's the surface phenomenon.

BITSAT Practice Test - 9 - Question 6

A physical quantity, associated with electrical conductivity, has the SI unit ohm-meter. Identify this physical quantity.

Detailed Solution: Question 6

SI unit of Specific resistance (ρ) is ohm-metre.

Numerically,the resistivity of a material is the resistance offered by a cube of the material with sides of unit length when a current flows through its opposite faces.

 we have, ρ=RA/l
∴ SI unit of ρ=ohm.metre2/metre=ohm-metre

BITSAT Practice Test - 9 - Question 7

Two spherical bodies of mass M and 5M and radii R and 2R respectively are released in free space with initial separation between their centres equal to 12R. If they attract each other due to gravitational force only, then the distance covered by the smaller body just before collision is–

Detailed Solution: Question 7

BITSAT Practice Test - 9 - Question 8

Think about Gravitational Force. Which of the following statement is correct regarding it?

Detailed Solution: Question 8

The gravitational force is independent of the intervening medium. In other words, the force between two masses remains the same whether they are in air, vacuum, water or separated by a brick wall.
Hence, (A) is an incorrect statement.
The gravitational force is a conservative force.
Hence, (B) is an incorrect statement.
The gravitational force obeys Newton's third law of motion. Thus, it forms action-reaction pair.
Hence, (C) is a correct statement.
The gravitational force is a central force. Hence, (D) is an incorrect statement.

BITSAT Practice Test - 9 - Question 9

Two masses of 8 kg and 4 kg are connected by a string as shown in figure over a frictionless pulley. The acceleration of the system is

Detailed Solution: Question 9

BITSAT Practice Test - 9 - Question 10

The diagram shows five isosceles right angled prisms. A light ray incident at 90o at the first face emerges at same angle with the normal from the last face. which of the following relations will hold regarding the refractive indices?

Detailed Solution: Question 10

BITSAT Practice Test - 9 - Question 11

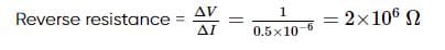
In a reverse biased diode when the applied voltage changes by 1 V, the current is found to change by 0.5 μA. The reverse bias resistance of the diode is

Detailed Solution: Question 11

BITSAT Practice Test - 9 - Question 12

In the given graph shown the variation of the potential energy U by the interaction between two particles, with the distance separating them, r.

The given plot shows the variation of u, the potential energy of interaction between two particles with the distance separating them r.
1. B and D are equilibrium points
2. C is a point of stable equilibrium
3. The force is interaction between the two particles is attractive between C and D and repulsive between D and E
4. The force of interaction between particles is repulsive between points E and F.
Which of the above statements are correct?

Detailed Solution: Question 12

BITSAT Practice Test - 9 - Question 13

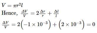
A material has Poisson's ratio 0.50. If a uniform rod of it suffers a longitudinal strain of 2x10−3, then the percentage change in volume is

Detailed Solution: Question 13

The Poisson Ratio is given by 

The minus sign shows that the radius decreases with an increase in the length.

Now, for a wire,

BITSAT Practice Test - 9 - Question 14

A satellite of mass m, initially at rest on the earth, is launched into a circular orbit at a height equal to the radius of the earth. The minimum energy required is

Detailed Solution: Question 14

We know

From energy conservation

BITSAT Practice Test - 9 - Question 15

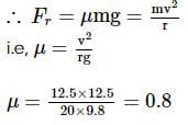
A car of mass 1500 kg is moving with a speed of 12.5 m/s on a circular path of a radius 20 m on a level road. What should be the coefficient of friction between the car and the road, so that the car does not slip?

Detailed Solution: Question 15

Given, The speed of the car =12.5 m/s,

The radius of the track r=20 m

The mass of the car m=1500 kg

The centripetal force provides friction to stop slipping.

BITSAT Practice Test - 9 - Question 16

The expression  up to correct significant figures is equal to

Detailed Solution: Question 16

In the expression, we have minimum three significant figures, hence answer should be up to three significant figures.

Rounding off the result 1.612979, we have

BITSAT Practice Test - 9 - Question 17

A block of mass m is lying on a another block of mass M, lying on a horizontal frictionless surface as shown in Figure. If the coefficient static friction between the two blocks is μs , the minimum horizontal force F that must be applied to block of mass m so that it moves over block of mass M is

Detailed Solution: Question 17

When block m is on the verge of moving on block M , acceleration of the upper block

BITSAT Practice Test - 9 - Question 18

A rope of length l and mas 'm' is connected to a chain of length 'l' and mass 2 M and hung vertically as shown in the figure. What is the change in gravitational potential energy if the system is inverted and hung from same point?

Detailed Solution: Question 18

BITSAT Practice Test - 9 - Question 19

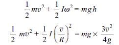
A small object of uniform density rolls up a curved surface with an initial velocity v. It reaches up to a maximum length  with respect to the initial position. The object is a

Detailed Solution: Question 19

From the proinciple of conservation of mechanical energy, we have

BITSAT Practice Test - 9 - Question 20

A body is projected vertically upwards from the surface of a planet of radius R, with a velocity equal to one-third of the escape velocity of the planet. The maximum height attained by the body is

Detailed Solution: Question 20

Let the maximum height reached is 'h'
Using conservation of energy

BITSAT Practice Test - 9 - Question 21

A piece of metal floats on mercury. The coefficients of volume expansion of the metal and mercury are γ1 and γrespectively. If the temperature of both mercury and metal are increased by an amount Δt, the fraction of the volume of the metal submerged in mercury changes by the factor.

Detailed Solution: Question 21

The fraction of the solid immersed in the liquid is given by:

 

where σ is the density of the solid, ρ is density of the liquid (upthrust = weight), Vi is volume immersed in the liquid and V is the total volume of the immersed body.

If the temperature increases, the fraction of the immersed solid becomes

Here,

Therefore, we have

BITSAT Practice Test - 9 - Question 22

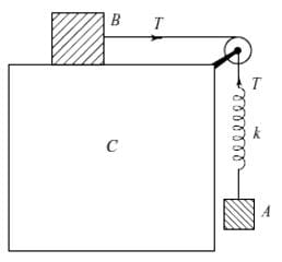
Two blocks A and B are connected to each other by a string and a spring of force constant k, as shown in the figure. The string passes over a frictionless pulley as shown. Block B slides over the horizontal top surface of a stationary block C and block A slides along the vertical side of C both with the same uniform speed. The coefficient of friction between the surfaces of the blocks B and C is μ

If the mass of block A is m, what is the mass of block B? .

Detailed Solution: Question 22

Since the blocks slide at the same uniform speed, no net force acts on them.
If M is the mass of block B, then the tension in the string is T = μ Mg.

Also T = mg. Equating the two, we get μ M = m or  
which is choice (2).

BITSAT Practice Test - 9 - Question 23

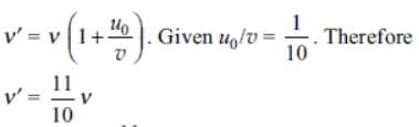
An observer moves towards a stationary source of sound with a velocity one-tenth the velocity of sound. The apparent increase in frequency is

Detailed Solution: Question 23

BITSAT Practice Test - 9 - Question 24

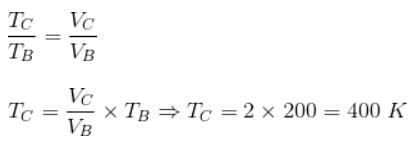
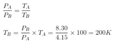
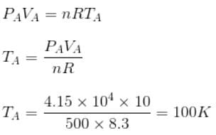
A sample of 2 kg of monatomic helium (assumed ideal) is taken through the process ABC and another sample of 2 kg of the same gas is taken through the process ADC as shown in the figure. (Molecular mass = 4 and R = 8.3 JK-1 mol-1)

The temperature of state C is

Detailed Solution: Question 24

Number of moles of helium = n
Mass of gas = 2 kg = 2000 g

Using ideal gas equation,

PV = nRT

For state A

For isochoric process A to B

For isobaric process B to C

BITSAT Practice Test - 9 - Question 25

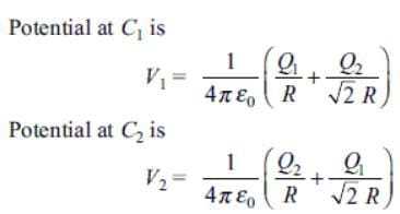
Two identical thin rings, each of radius R, are coaxially placed at a distance R apart. If Q1 and Q2 are the charges uniformly spread on the two rings, the work done in moving a charge q from the centre of one ring to the centre of the other is

Detailed Solution: Question 25

Refer to the figure.

BITSAT Practice Test - 9 - Question 26

If the internal resistance of the battery is negligible and the capacitance C = 0.5μF, then what is the steady state current in the 2Ω resistor shown in the figure below?

Detailed Solution: Question 26

The total resistance of the parallel combination of 2Ω and 3Ω resistors is R = 1.2Ω. This resistance is in series with the 2.8 resistor, giving a total effective resistance = 1.2 + 2.8 = 4.0Ω as in the steady state, no current flows through the capacitor C and hence no current passes through the 5Ω resistor.
Hence, current through the circuit = 6/4 = 1.5 A
Therefore, potential drop across AB = 1.5  1.2 = 1.8 V
Hence, current through the 2Ω resistor = 1.8/2 = 0.9 A, which is choice (3).

BITSAT Practice Test - 9 - Question 27

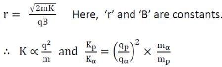
A proton of mass m and charge +e is moving in a circular orbit in a magnetic field with energy 1 MeV. What should be the energy of an α - particle (mass 4m and charge +2e) so that it revolves in a circular orbit of the same radius in the same magnetic field?

Detailed Solution: Question 27

BITSAT Practice Test - 9 - Question 28

When 100 V DC is applied across a solenoid, a current of 1 A flows in it. When 100 V AC is applied across the same coil, the current drops to 0.5 A. If the frequency of the AC source is 50 Hz, the resistance and inductance of the solenoid respectively are

Detailed Solution: Question 28

BITSAT Practice Test - 9 - Question 29

The angle of minimum deviation for a prism of refractive index 3/2 is equal to the angle of prism. The angle of prism is

Detailed Solution: Question 29

BITSAT Practice Test - 9 - Question 30

Directions: Study the following information carefully to answer the given Questions:

P^Q-P is the child of Q
P!Q-P is the parent of Q
P*Q - P is elder to Q
P#Q-P is younger to Q
P@Q-P is brother of Q
P&Q - P is wife of Q
P+Q-P is sister-in-law of Q

Q. If A!B^C+D&E@F^G!A, if B is the son of C, then how is A related to B?

Detailed Solution: Question 30

A ! B^C+D&E @F^G! A: A is parent of B, B is child of C, C is sister-in-law of D, D is wife of E, E is brother of F, F is child of G, G is parent of A. B is son of C.

View more questions
2 videos|18 docs|70 tests
Information about BITSAT Practice Test - 9 Page
In this test you can find the Exam questions for BITSAT Practice Test - 9 solved & explained in the simplest way possible. Besides giving Questions and answers for BITSAT Practice Test - 9, EduRev gives you an ample number of Online tests for practice
Download as PDF