You can prepare effectively for JEE BITSAT Mock Tests Series & Past Year Papers 2026 with this dedicated MCQ Practice Test (available with solutions) on the important topic of "BITSAT Practice Test - 11". These 130 questions have been designed by the experts with the latest curriculum of JEE 2026, to help you master the concept.
Test Highlights:
Sign up on EduRev for free to attempt this test and track your preparation progress.
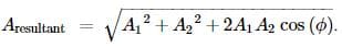
Two waves of equal amplitude A, and equal frequency travel in the same direction in a medium. The amplitude of the resultant wave is
Detailed Solution: Question 1
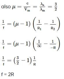
The image of an object, formed by a plano - convex lens at a distance of 8 m behind the lens, is real and is one-third the size of the object. The wavelength of light inside the lens is 2/3 times the wavelength in free space. The radius of the curved surface of the lens is
Detailed Solution: Question 2
A galvanometer of resistance 50 Ω is connected to a battery of 3 V, along with a resistance of 2950 Ω in series. A full-scale deflection of 30 divisions is obtained in the galvanometer. In order to reduce this deflection to 20 divisions, the resistance in series should be
Detailed Solution: Question 3
The graph between ratio of speed of electron in nth orbit to radius of nth orbit and n for Bohr’s hydrogen atom is
Detailed Solution: Question 4
An ammeter and a voltmeter of resistance R are connected in series to an electric cell of negligible internal resistance. Their readings are A and V, respectively. If another resistance R is connected in parallel with the voltmeter, then
Detailed Solution: Question 5
A vertical spring with force constant k is fixed on a table. A ball of mass m at a height h above the free upper end of the spring falls vertically on the spring and at some instant, it compresses the spring by a distance d. The net work done by all the forces up to that instant is
Detailed Solution: Question 6
A particle of mass m and charge q is incident on XZ plane with velocity v in a direction making angle θ with a uniform magnetic field applied along X -axis. The nature of motion performed by the particle is
Detailed Solution: Question 7
A transistor is used in the common emitter mode as an amplifier. Then -
A. The base-emitter junction is forward biased
B. The base-emitter junction is reverse biased
C. The input signal is connected in series with the voltage applied to bias the base emitter junction
D. The input signal is connected in series with the voltage applied to bias the base collector junction
Correct options are-
Detailed Solution: Question 8
A steel wire having a radius of 2.0 mm, carrying a load of 4 kg, is hanging from a ceiling. Given that g=3.1π m s−2, what will be the tensile stress that would be developed in the wire?
Detailed Solution: Question 9
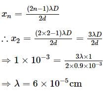
In a Young's experiment, two coherent sources are placed 0.90 mm apart and the fringes are observed one metre away. If it produces the second dark fringe at a distance of 1 mm from the central fringe, the wavelength of monochromatic light used would be
Detailed Solution: Question 10
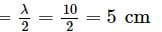
A 20 cm long string, having a mass of 1.0 g, is fixed at both the ends. The tension in the string is 0.5 N. the string is set into vibration using an external vibrator of frequency 100 Hz. Find the separation (in cm) between the successive nodes on the string
Detailed Solution: Question 11
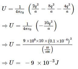
Three points charges +q, +2q and −4q where q = 0.1 μC, are placed at the vertices of an equilateral triangle of side 10 cm as shown in figure. The potential energy of the system is

Detailed Solution: Question 12
Detailed Solution: Question 13
To get an output 1 from the circuit shown in the figure, the input must be

Detailed Solution: Question 14
Detailed Solution: Question 15
Two cars A and B are traveling in the same direction with velocities v1 and v2 (v1 > v2), respectively. When the car A is at a distance d behind the car B, the driver of the car A applies the brakes, producing uniform retardation, a. There will be no collision, when
Detailed Solution: Question 16
Bullets of mass 0.03 kg each hit a plate at the rate of 200 bullets per second with a velocity of 50 ms-1 and reflect back with a velocity of 30 ms-1. The average force (in Newton) acting on the plate is
Detailed Solution: Question 17
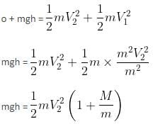
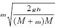
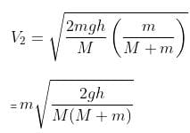
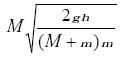
A block of mass m slides down a wedge of mass M as shown. The whole system is at rest, when the height of the block is h above the ground. The wedge surface is smooth and gradually flattens. There is no friction between wedge and ground.

If there is no friction anywhere, the speed of the wedge, as the block leaves the wedge, is
Detailed Solution: Question 18
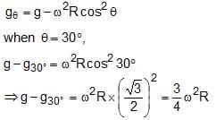
If Earth is supposed to be a sphere of radius 'R' and if 'g30°' is the value of acceleration due to gravity at a latitude of 30°, while 'g' is at the equator, the value of '(g - g30°)' is
Detailed Solution: Question 19
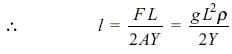
A thick uniform rubber rope of density 1.5 g cm-3 and Young's modulus 5 x106 Nm-2 has a length of 8 m. When hung from the ceiling of a room, the increase in length of the rope due to its own weight will be
Detailed Solution: Question 20
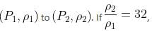
In forced oscillation of a particle, the amplitude is maximum for a frequency of the force while the energy is maximum for a frequency ω2 of the force. Then,
Detailed Solution: Question 21
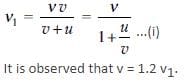
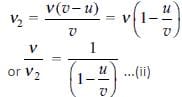
A train blowing its whistle moves with a constant velocity u away from an observer on the ground. The ratio of the actual frequency of the whistle to that measured by the observer is found to be 1.2. If the train is at rest and the observer moves away from it at the same velocity, then the ratio would be
Detailed Solution: Question 22
In a Carnot engine, efficiency is 40% at hot reservoir temperature T. For efficiency to be 50%, what shall be the temperature of the hot reservoir?
Detailed Solution: Question 23
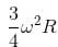
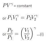
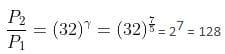
The pressure and density of a diatomic gas (y = 7/5) change adiabatically from
then what should be the value of 
Detailed Solution: Question 24
The figure shows five capacitors connected across a 12 V power supply. What is the charge on the 2μF capacitor?

Detailed Solution: Question 25
The figure below shows four cells E, F, G and H of emfs 2 V, 1 V, 3 V and 1 V and internal resistances 2Ω , 1Ω , 3Ω and 1Ω , respectively.

The potential difference between points B and D is
Detailed Solution: Question 26
A moving coil galvanometer consists of a coil of N turns and area A, suspended by a thin phosphor bronze strip in radial magnetic field B. The moment of inertia of the coil about the axis of rotation is l and C is the torsional constant of the phosphor bronze strip. When a current i is passed through the coil, it deflects through an angle θ (in radians).
When a charge Q is passed almost instantly through the coil, the angular speed ω acquired by the coil is
Detailed Solution: Question 27
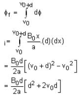
The magnetic field in a region is given by
. A square loop of side d is placed with its edges along the x and y-axis. The loop is moved with a constant velocity
. The emf induced in the loop is

Detailed Solution: Question 28
fossil bone has a C14: C12 ratio, which is [1/16] of that in a living animal bone. If the half-life of C14 is 5730 years, then the age of the fossil bone is
Detailed Solution: Question 29
If the potential energy of electron in a hydrogen atom is -Ke2/r, then its kinetic energy is
Detailed Solution: Question 30
2 videos|18 docs|70 tests |