You can prepare effectively for JEE BITSAT Mock Tests Series & Past Year Papers 2026 with this dedicated MCQ Practice Test (available with solutions) on the important topic of "BITSAT Mathematics Test - 1". These 40 questions have been designed by the experts with the latest curriculum of JEE 2026, to help you master the concept.
Test Highlights:
Sign up on EduRev for free to attempt this test and track your preparation progress.
If P(at2, 2at) be one end of a focal chord of the parabola y2 = 4ax, then the length of the chord is
Detailed Solution: Question 1
Two tangents are drawn from a point (-2, -1) to the curve y2 = 4x. If α is the angle between them, then |tanα| is equal to
Detailed Solution: Question 2
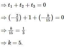
If 2x+3y=α, x−y=β and kx+15y=r are 3 concurrent normals of parabola y2=λx, then the value of k is
Detailed Solution: Question 3
If three parabolas touch all the lines x=0, y=0 and x+y=2, then the maximum area of the triangle formed by joining their foci is
Detailed Solution: Question 4
An equilateral triangle is inscribed in the parabola y2=4 ax, where one vertex is at the vertex of the parabola. Find the length of the side of the triangle.
Detailed Solution: Question 5
The length of the latus rectum and equation of the directrix of the parabola y2=−8x
Detailed Solution: Question 6
The mirror image of the directrix of the parabola y2=4(x+1) in the line mirror x+2y=3, is
Detailed Solution: Question 7
The shortest distance (in units) between the parabolas y2 = 4x and y2=2x−6 is
Detailed Solution: Question 8
The sum of 40 terms of an A.P. whose first term is 2 and common difference 4, will be
Detailed Solution: Question 9
99th term of the series 2 + 7 + 14 + 23 + 34 +_______ is
Detailed Solution: Question 10
If the sum of first n natural numbers is one-fifth of the sum of their squares, then n is
Detailed Solution: Question 11
If a polygon has 44 diagonals, then the number of its sides are
Detailed Solution: Question 12
If 7 points out of 12 are in same striaght line, then the number of triangles formed is
Detailed Solution: Question 13
Sum of coefficients in the expansion of (x + 2y + z)10 is
Detailed Solution: Question 14
Detailed Solution: Question 15
Detailed Solution: Question 16
The probability of getting heads in both trials when a balanced coin is tossed twice, will be
Detailed Solution: Question 17
A and B throw 2 dices. If A throws sum of 9, then B's chance of throwing higher sum number is
Detailed Solution: Question 18
Two cards are drawn at random from a pack to 52 cards. The probability of these two being aces is
Detailed Solution: Question 19
The curve described parametrically by x = t2 + 2t − 1, y = 3t + 5 represents
Detailed Solution: Question 20
There were two women participating in a chess tournament. Every participant played two games with the other participants. The number of games that the men played between themselves proved to exceed by 66 the number of games that the men played with the women. The number of participants is
Detailed Solution: Question 21
Out of 6 boys and 4 girls, a group of 7 is to be formed. In how many ways can this be done, if the group is to have a majority of boys?
Detailed Solution: Question 22
If all the words formed from the letters of the word "HORROR" are arranged in the opposite order as they are in a dictionary, then the rank of the word "HORROR" is
Detailed Solution: Question 23
In a football championship, there were played 153 matches. Every team played one match with each other. The number of teams participating in the championship is
Detailed Solution: Question 24
Find the maximum number of points of intersection of 8 circles.
Detailed Solution: Question 25
Four normal dice are rolled once. The number of possible outcomes in which at least one die shows up 2 is -
Detailed Solution: Question 26
How many 5 digit telephone numbers can be constructed using the digits 0 to 9, if each number starts with 67 and no digit appears more than once?
Detailed Solution: Question 27
The number of ways in which we can put letters of the word PERSON in the squares of the Fig so that no row remains empty is

Detailed Solution: Question 28
The orthocentre of the triangle with vertices (−2,−6), (−2,4) and (1,3) is
Detailed Solution: Question 29
Consider the given expression:

The negation of the above expression is
Detailed Solution: Question 30
2 videos|18 docs|70 tests |