You can prepare effectively for JEE BITSAT Mock Tests Series & Past Year Papers 2026 with this dedicated MCQ Practice Test (available with solutions) on the important topic of "BITSAT Logical Reasoning Test - 7". These 20 questions have been designed by the experts with the latest curriculum of JEE 2026, to help you master the concept.
Test Highlights:
Sign up on EduRev for free to attempt this test and track your preparation progress.
Which of the alternatives would be a meaningful order of the following words?
Detailed Solution: Question 1
A square sheet of paper is folded in a particular manner, first cut and then punched once and then unfolded. Find out the manner in which the paper was folded and punched from among the answer figures.

Detailed Solution: Question 2
In the given question, find out which of the answer figures (1), (2), (3) and (4) completes the figure matrix.

Detailed Solution: Question 3
Directions: There is some relationship between the two terms on the left of the sign (: :). The same relationship exists between the two terms on its right, of which one is missing. Find the missing term from the given alternatives.
4/5 : 125/64 : : 3/4 : ____
Detailed Solution: Question 4
Directions: The following question is based on letter series in which some of the letters are missing. The missing letters are given in the proper sequence in one of the alternatives among the four given under the question. Find out the correct alternative.
a_cb_ac_b_bc
Detailed Solution: Question 5
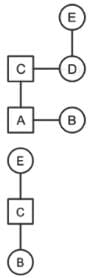
A and B are brother and sister, respectively. C is A's father, D is C's sister and E is D's mother. How is B related to E?
Detailed Solution: Question 6
Looking at a photograph a person said, “I have no brothers or sisters but that man's father is my father's son.” At whose photograph was the person looking at?
Detailed Solution: Question 7
If F is the brother of A, C is the daughter of A, K is the sister of F and J is the brother of C, then who is the uncle of J?
Detailed Solution: Question 8
X is the mother of A, B is the sister of A and D is the brother-in-law of B's father. How is D related to X?
Detailed Solution: Question 9
A is mother of B. B is son of C. C is brother of D. D is niece of E. How is C related to E?
Detailed Solution: Question 10
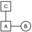
A is the mother of B and C. If D is the husband of C, what is A to D?
Detailed Solution: Question 11
A man said to a lady, "Your mother's husband's sister is my aunt". How is that lady related to that man?
Detailed Solution: Question 12
Introducing a man, a woman says, "He is the only son of my mother's mother." How is the man related to the woman?
Detailed Solution: Question 13
In the following question, there are four alternative answers out of which one is correct. Find out the correct answer:
A, B, C, D, E and F are members of a club. There are two married couples in the group. A is the brother of D's husband. C is the president of All India Working Women's Association. F is a sitarist and is a bachelor. B's wife is not a member of the Club. Four of them belong to the same family. B and F are colleagues in the same organisation.
How is F related to B?
Detailed Solution: Question 14
Directions: Read the given information carefully and answer the questions given below:
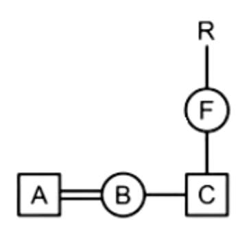
Vikram started from point R and walked straight 7 km west, then turned left and walked 2 km and again turned left and walked straight 4 km. In which direction is he from R?
Detailed Solution: Question 15
Directions: Read the given information carefully and answer the questions given below:
Vidya walks 14 m towards West, then turns to her right and walks 14 m and then turns to her left and walks 10 m. Again turning to her left, she walks 14 m.
What is the shortest distance (in m) between her starting point and the present position?
Detailed Solution: Question 16
Directions: Read the given information carefully and answer the questions given below:
Karim travels 30 m towards north from his home, turns left and walks 25 m, again turns left and walks 50 m, then turns right and walks 15 m to reach his school.
In which direction is the school from his home?
Detailed Solution: Question 17
Directions: Read the given information carefully and answer the questions given below:
Rishi started early in the morning on the road towards the Sun. After some time, he turned to his left. Again, after some time, he turned to his right. After moving some distance, he again turned to his right and began to move.
At this time in what direction was he moving?
Detailed Solution: Question 18
Directions: Read the given information carefully and answer the questions given below:
Raman walks 100 m from his house towards North. From there he goes 100 m towards west. Here is the house of shyam. From there they both goes to the market which is in the South-West direction from the Shyam's house.
If the market is in the west of Raman's house, then how far is the market from Raman's house?
Detailed Solution: Question 19
If P + Q means P is the son of Q
P – Q means P is the daughter of Q
P @ Q means P is the husband of Q
P $ Q means P is the wife of Q
P * Q means P is the brother of Q
P ! Q means P is the sister of Q
Then in
A @ B ! C + F – R
how is F related to B?
Detailed Solution: Question 20
2 videos|18 docs|70 tests |