You can boost your KVS PGT/TGT/PRT 2026 exam preparation with this KVS Librarian Tier 1 Mock Test - 5 (available with detailed solutions).. This mock test has been designed with the analysis of important topics, recent trends of the exam, and previous year questions of the last 3-years. All the questions have been designed to mirror the official pattern of KVS PGT/TGT/PRT 2026 exam, helping you build speed, accuracy as per the actual exam.
Mock Test Highlights:
Sign up on EduRev for free and get access to these mock tests, get your All India Rank, and identify your weak areas to improve your marks & rank in the actual exam.
Find the wrong term in the following series.
83, 87, 96, 114, 137
Detailed Solution: Question 1
Arrange the given words in the sequence in which they occur in the dictionary.
1. Filariasis
2. Filterable
3. Film
4. Filtration
Detailed Solution: Question 2
In the following question below are given some statements followed by some conclusions. Taking the given statements to be true even if they seem to be at variance from commonly known facts, read all the conclusions and then decide which of the given conclusion logically follows the given statement.
Statements:
I. All pens are chairs.
II. Some chairs are tables.
Conclusions:
I. Some pens are tables.
II. Some chairs are pens.
Detailed Solution: Question 3
Find the wrong term in the following series.
D, H, K, P, T, X
Detailed Solution: Question 4
Identify the diagram that best represents the relationship among the classes given below.
Q. Delhi, Goa, State
Detailed Solution: Question 5
P, Q and R have a partnership firm. P’s profit share is 2/3rd of the Q’s profit share and R’s share is 1/2 of the Q’s share. If total revenue is Rs. 43296 and total expense is Rs. 9899, then what will be the profit share of R?
Detailed Solution: Question 6
Direction: The bar chart given below shows the sales (in lacs) of 2 companies X and Y from year 2011 to 2015.

Q. What was the average sale (in lacs) of company Y from 2011 to 2015?
Detailed Solution: Question 7
Speeds of a boat along the current and against the current are 28 km/hr and 16 km/hr respectively. What is the speed (in km/hr) of the current?
Detailed Solution: Question 8
Ramesh can complete a work in 15 days and along with Geeta, he completes the same work in 6 days. If Geeta along with Rajan takes 9 days to complete the same work, time taken by Rajan alone to complete the same work is …….. days.
Detailed Solution: Question 9
Shopkeeper want to clear his stock so he put a board of 30% discount still it doesn’t affect the sales. So edit the board and put the sign of 30% + 30% discount. By this way, how much actual discount he is offering?
Detailed Solution: Question 10
Detailed Solution: Question 11
The ratio of spirit and water in the two vessels is 5 : 1 and 3 : 7 respectively. In what ratio the liquid of both the vessels should be mixed such that a new mixture containing half spirit and half water is obtained?
Detailed Solution: Question 12
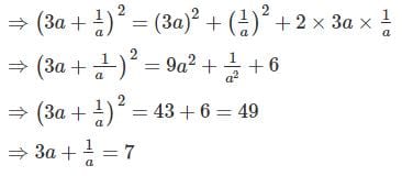
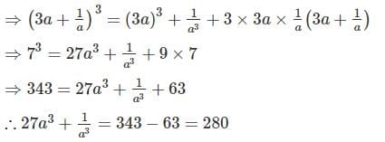
Detailed Solution: Question 13
Detailed Solution: Question 14
In MS-Word which key combination is used to make the selected character superscript?
Detailed Solution: Question 15
IMAP is a standard email protocol that stores email messages on a mail server and allows the end user to view and manipulate the messages. IMAP stands for?
Detailed Solution: Question 16
Which among the following is not an open source software?
Detailed Solution: Question 17
________ devices that enter information into the computer and communicate with it are called devices.
Detailed Solution: Question 18
Who is appointed as the Chief Minister of Sikkim?
Detailed Solution: Question 19
Who is/was the longest serving Prime Minister of Bangladesh?
Detailed Solution: Question 20
Which device is used to measure velocity and altitude of clouds?
Detailed Solution: Question 21
In December of 2018, ISRO launched satellite to improve internet access in India. What is the name of satellite?
Detailed Solution: Question 22
Which city has become the world’s southernmost city?
Detailed Solution: Question 23
Read each sentence to find out whether there is any grammatical error in it. The error, if any will be in one part of the sentence. If there is no error choose option 4 ‘No error’ as the answer.
Q. They also impart him (1)/ with priceless knowledge about (2)/ ethics and morals right from the beginning. (3)/ No error (4)
Detailed Solution: Question 24
In the following questions, some part of the sentence is underlined. Which of the options given below the sentence should replace the part underlined to make the sentence grammatically correct? If the sentence is correct as it is given then choose option 4 ‘No Replacement’ as the answer.
Q. After looking for the bag for about two hours she finally had to find it under the bed.
Detailed Solution: Question 25
In the following question, some part of the sentence may have errors. Find out which part of the sentence has an error and select the appropriate option. If a sentence is free from error, select ‘No Error’.
Q. Outside of Pune / nobody even know / him or his family.
Detailed Solution: Question 26
In the following question, some part of the sentence has errors and some have none. Find out which part of a sentence has an error and mark that part as your answer. If there is no error, then mark the answer as 'No error'.
Q. Even after hours of / calling the salesman he / never showed up.
Detailed Solution: Question 27
In the following question, some part of the sentence may have errors. Find out which part of the sentence has an error and select the appropriate option. If a sentence is free from error, select 'No Error'.
Q. The onset of the storm (1)/ seemed to unsettle and (2)/ worry the herd of sheep. (3)/ No error (4)
Detailed Solution: Question 28
निम्नलिखित में से किस वाक्य में व्याकरण दोष नहीं है?
Detailed Solution: Question 29
Detailed Solution: Question 30