CBSE Class 9  >  Class 9 Test  >  Mathematics (Maths)   >  Test: Laws of Exponents - Class 9 MCQ

Laws of Exponents - Class 9 Maths Free MCQ Test with solutions


MCQ Practice Test & Solutions: Test: Laws of Exponents (20 Questions)

You can prepare effectively for Class 9 Mathematics (Maths) Class 9 with this dedicated MCQ Practice Test (available with solutions) on the important topic of "Test: Laws of Exponents". These 20 questions have been designed by the experts with the latest curriculum of Class 9 2026, to help you master the concept.

Test Highlights:

  • - Format: Multiple Choice Questions (MCQ)
  • - Duration: 30 minutes
  • - Number of Questions: 20

Sign up on EduRev for free to attempt this test and track your preparation progress.

Test: Laws of Exponents - Question 1

Which of the following is the value of (4/5)-9 / (4/5)-9?

Detailed Solution: Question 1

(4/5)-9 ÷ (4/5)-9 simplifies as follows:
Using the division rule of exponents, subtract the exponents:
(4/5)-9 ÷ (4/5)-9 = (4/5)-9 - (-9) = (4/5)0
Any non-zero number raised to the power of 0 is 1:
(4/5)0 = 1
The answer is C: 1.

Test: Laws of Exponents - Question 2

 Find (64)-3/2

Detailed Solution: Question 2

(64)-3/2 = ( 8 )2 x - 3/2 =  (8)-3  

= 1 / (8)3 = 1/ 512 

So option B is correct answer . 

Test: Laws of Exponents - Question 3

3x-3 x  5x-4 = 45
What is the value of x?

Detailed Solution: Question 3

For finding the value of x, we first need to make RHS in the same format as LHS so that we can easily compare both.
first factorise 45 = 32 x 51
[3(x-3)] 5(x-4) = 45 = 32 (51)
On comparing both sides we get,
x-3 = 2 and x-4 = 1
By solving we get
=> x = 5
Hence, option A is the correct answer.

Test: Laws of Exponents - Question 4

Which of the following numbers is irrational?

Detailed Solution: Question 4

A number is irrational if it cannot be expressed as a ratio of two integers and its decimal expansion is non-terminating and non-repeating. 22/7 = 3.142857... repeats, so it is rational. 0.25 = 1/4 is rational. -6/5 = -1.2 is rational. √2 = 1.4142135... is non-terminating and non-repeating, so it is irrational.

Test: Laws of Exponents - Question 5

Simplified value of (25)1/3 x (5)1/3 is:

Detailed Solution: Question 5

(25)1/3=(52)1/3=(5)2/3
52/3x51/3=53/3  = 52/3+1/3   = 51   [ax a = a(m+n)  ]
so answer is 5

Test: Laws of Exponents - Question 6

163/2 is equal to ———-

Detailed Solution: Question 6

Interpret the exponent:

  • The fractional exponent 3/2 means:
    16(3/2) = (16(1/2))3
    Here, 16(1/2) is the square root of 16.

Calculate the square root:
16(1/2) = √16 = 4

Raise the result to the power of 3:
(16(1/2))3 = 43 = 64

Test: Laws of Exponents - Question 7

Simplify: (13(1/5)) / (13(1/3))

Detailed Solution: Question 7

Using the quotient rule for exponents, (am / an) = a(m - n):

131/5 / 131/3 = 13(1/5 - 1/3)
= 131/5 - 1/3
Taking LCM of 5 and 3, we get 15
Now for 1/5 - 1/3, we get 15 as denominator and (3 - 5) as numerator
= 13 3 - 5 / 15
= 13-2/15

Test: Laws of Exponents - Question 8

(16(3/2)) ÷ (16(1/2)) = ?

Detailed Solution: Question 8

Correct answer is D. 16.
= (16(3/2)) ÷ (16(1/2)) = ?
= (16)3/2  -  1/2
= (16)
= 16.

Test: Laws of Exponents - Question 9

What is 8-5/3 equal to?

Detailed Solution: Question 9

Recognize that 8 can be expressed as 23, as 2 x 2 x 2 = 8.
Rewrite 8-5/3 as (23)-5/3
Apply the power of a power rule, which states that (am)n = amn. In this case,
multiply the exponents: 3 x -5/3
Simplify the expression.
Let's go through the steps:
(23)-5/3
(2)-5
Now, 2-5 means taking the reciprocal of 25 (since a negative exponent indicates
reciprocal), so: 
2-5 = 1/  25
= 1/32  [ 2= 2x2x2x2x2 = 32 ]

Test: Laws of Exponents - Question 10

Which of the following is equal to (- 3/4)-3

Detailed Solution: Question 10

Step 1: Simplify ( -3/4 )⁻³
We apply the rule: a⁻ⁿ = 1 / aⁿ

So:
( -3/4 )⁻³ = 1 / ( -3/4 )³

First calculate ( -3/4 )³:
( -3/4 ) × ( -3/4 ) × ( -3/4 ) = (-3)³ / 4³ = -27 / 64

Now,
1 ÷ ( -27 / 64 ) = -64 / 27

Step 2: Check Each Option

  • Option a: ( -4/3 )³
    (-4)³ / 3³ = -64 / 27 (matches)

  • Option b: ( 3/4 )⁻³
    1 / ( 3/4 )³ = 4³ / 3³ = 64 / 27 (positive, not matching)

  • Option c: - ( 3/4 )³

    • ( 27 / 64 ) = -27 / 64 (different)

  • Option d: ( 4/3 )³
    64 / 27 (positive, not matching)

Final Answer:
a) ( -4/3 )³

Test: Laws of Exponents - Question 11

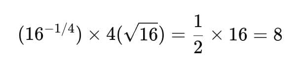
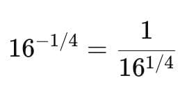
Simplified value of (16(-1/4) × 4(√16) is:

Detailed Solution: Question 11

First, evaluate 16−1/4:


Since,

Therefore,

 

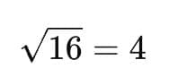
Now evaluate

Multiply the two results:

Test: Laws of Exponents - Question 12

Which of the following statement is true

Detailed Solution: Question 12

Explanation:
To find the value of x0, we need to understand the concept of exponentiation.
- When a number is raised to the power of 0, it always equals 1. This is true for any number except 0.
Therefore, the correct statement is:
x0 = 1
The other statements are incorrect:
- A: x0 = 1/x - This is not true. x0 is always equal to 1, not 1/x.
- B: x0 = x - This is not true. x0 is always equal to 1, not x.
- C: x0 = 0 - This is not true. x0 is always equal to 1, not 0.
Therefore, the correct answer is D: x0 = 1.

Test: Laws of Exponents - Question 13

The value of (20 × 70) / 50 is:

Detailed Solution: Question 13

Anything to the power 0 is always 1. 
The answer is 1 because of a0= 1.
So 1×1/1 = 1

Test: Laws of Exponents - Question 14

(256)3/4 = ?

Detailed Solution: Question 14

2563/4 = ?

The solution to 2563/4 is calculated as follows:

  • 256 can be rewritten as (44).
  • Applying the exponent rule, we express this as: (44)3/4.
  • This simplifies to: 4(4 * 3/4) = 43.
  • Calculating 43 gives us: 64.

Test: Laws of Exponents - Question 15

What is the value of (-1)-1?

Detailed Solution: Question 15

To find the value of (-1)-1, we use the property of exponents that states a-n = 1/(an). Applying this property:

  • (-1)-1 = 1/((-1)1)

Since (-1)1 is -1, this becomes:

  • 1 / (-1) = -1

Therefore, the value of (-1)-1 is -1.

Test: Laws of Exponents - Question 16

811/2 is equal to ——

Detailed Solution: Question 16

811/2 can be expressed as:

  • 81 can be rewritten as (9)2.
  • Thus, 811/2 becomes (9)2 x 1/2.
  • This simplifies to (9)1, which equals 9.

The final answer is 9.

Test: Laws of Exponents - Question 17

The value of 491/2 is equal to———

Detailed Solution: Question 17

To find the value of 491/2, we recognise that taking a number to the power of 1/2 is equivalent to finding its square root. Thus, we can express this as:

  • 491/2 = √49
  • √49 = 7

Test: Laws of Exponents - Question 18

125-1/3 × 25-1/2 = ?

Detailed Solution: Question 18

 ( 5 ) 3 x -1/3   x  ( 5 ) 2  x -1/2 

  ( 5 ) -1  x   ( 5 )  -1

   1 / 25 

Test: Laws of Exponents - Question 19

 (am)is equal to

Detailed Solution: Question 19

- The expression  (am)n involves exponentiation rules.
- The rule for powers of a power is (am)n = amn
- This means you multiply the exponents when raising a power to another power.

Test: Laws of Exponents - Question 20

3. Very small numbers can be expressed in standard form using __________ exponents.

Detailed Solution: Question 20

- Very small numbers in standard form are expressed using negative exponents.
- Standard form is a way of writing numbers as a product of a number between 1 and 10, and a power of 10.
- For small numbers, the power of 10 is negative, indicating division by a power of 10.
- Example: 0.001 is written as 10-3
- Negative exponents simplify representing very small values efficiently.

40 videos|468 docs|55 tests
Information about Test: Laws of Exponents Page
In this test you can find the Exam questions for Test: Laws of Exponents solved & explained in the simplest way possible. Besides giving Questions and answers for Test: Laws of Exponents, EduRev gives you an ample number of Online tests for practice
40 videos|468 docs|55 tests
Download as PDF